Suppr超能文献

可伸展颈部:一种在视频透视增强现实环境中虚拟伸展/收缩颈部的手势输入方法。

Extensible Neck: A Gesture Input Method to Extend/Contract Neck Virtually in Video See-through AR Environment.

机构信息

Graduate School of Engineering, Kobe University, 1-1 Rokkodaicho, Nada, Kobe 657-8501, Japan.

出版信息

Sensors (Basel). 2022 May 7;22(9):3559. doi: 10.3390/s22093559.

Abstract

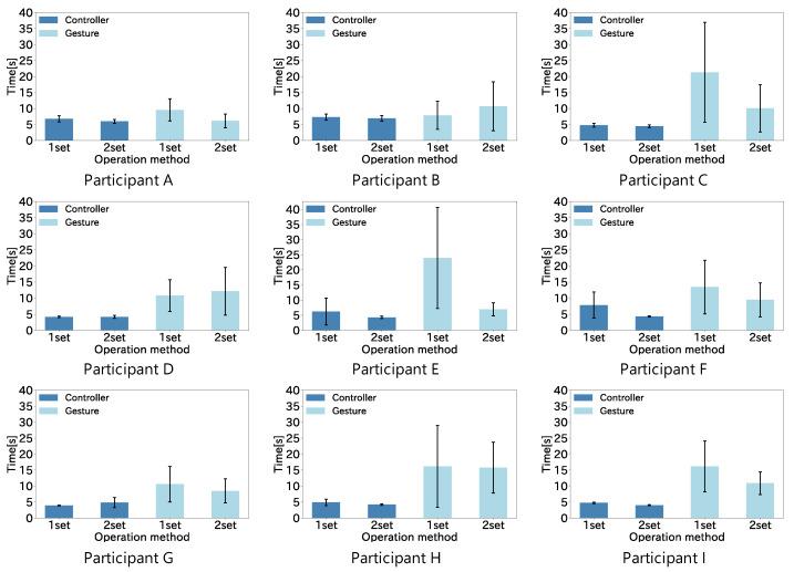
With the popularization of head-mounted displays (HMDs), many systems for human augmentation have been developed. This will increase the opportunities to use such systems in daily life. Therefore, the user interfaces for these systems must be designed to be intuitive and highly responsive. This paper proposes an intuitive input method that uses natural gestures as input cues for systems for human augmentation. We investigated the appropriate gestures for a system that expands the movements of the user's viewpoint by extending and contracting the neck in a video see-through AR environment. We conducted an experiment to investigate natural gestures by observing the motions when a person wants to extend his/her neck. Furthermore, we determined the operation method for extending/contracting the neck and holding the position through additional experiments. Based on this investigation, we implemented a prototype of the proposed system in a VR environment. Note that we employed a VR environment since we could test our method in various situations, although our target environment is AR. We compared the operability of the proposed method and the handheld controller using our prototype. The results confirmed that the participants felt more immersed using our method, although the positioning speed using controller input was faster than that of our method.

摘要

随着头戴式显示器(HMD)的普及,许多人类增强系统已经被开发出来。这将增加在日常生活中使用这些系统的机会。因此,这些系统的用户界面必须设计得直观且反应灵敏。本文提出了一种直观的输入方法,该方法使用自然手势作为输入提示,用于人类增强系统。我们研究了在视频透视 AR 环境中通过扩展和收缩颈部来扩展用户视点运动的系统的适当手势。我们通过观察人们想要伸展颈部时的动作来进行自然手势的实验研究。此外,我们通过额外的实验确定了扩展/收缩颈部和保持位置的操作方法。在此基础上,我们在 VR 环境中实现了所提出系统的原型。请注意,虽然我们的目标环境是 AR,但由于我们可以在各种情况下测试我们的方法,因此我们采用了 VR 环境。我们使用原型比较了所提出方法和手持控制器的可操作性。结果证实,尽管使用控制器输入的定位速度比我们的方法快,但参与者使用我们的方法感觉更身临其境。

https://cdn.ncbi.nlm.nih.gov/pmc/blobs/389d/9100610/b55dce808325/sensors-22-03559-g0A1.jpg

文献AI研究员

20分钟写一篇综述,助力文献阅读效率提升50倍。

立即体验

用中文搜PubMed

大模型驱动的PubMed中文搜索引擎

马上搜索

文档翻译

学术文献翻译模型,支持多种主流文档格式。

立即体验