Wu Xiru, Zhang Yuchong, Ai Qingming, Wang Yaonan
School of Electronic Engineering and Automation, Guilin University of Electronic Technology, Guilin 541004, China.
School of Electrical and Information Engineering, Hunan University, Changsha 410114, China.
Entropy (Basel). 2022 May 21;24(5):733. doi: 10.3390/e24050733.
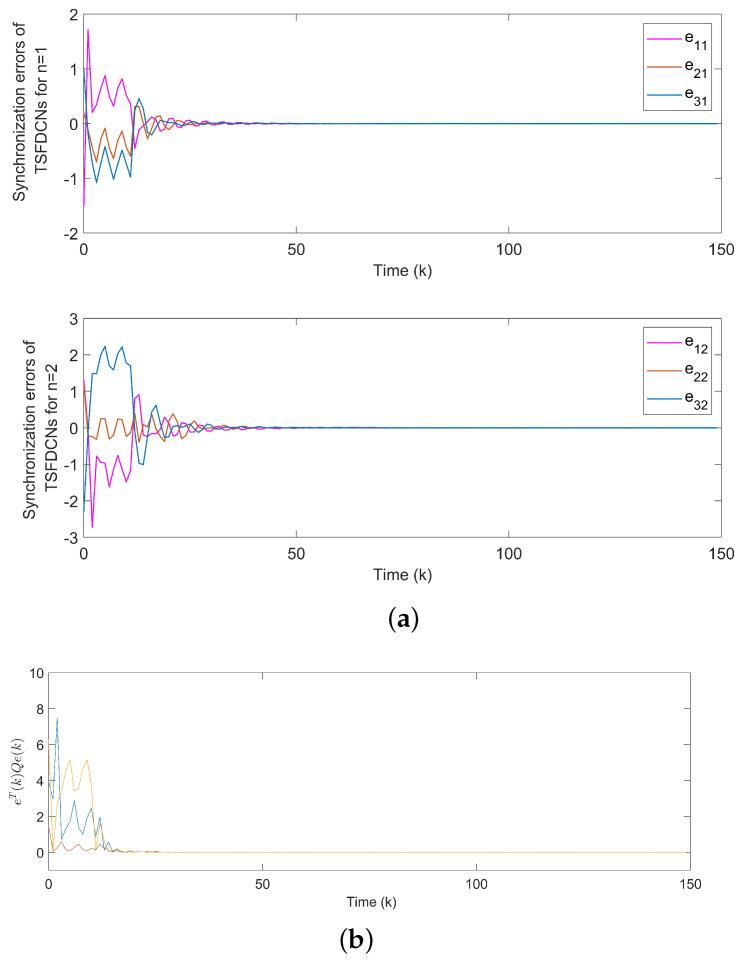
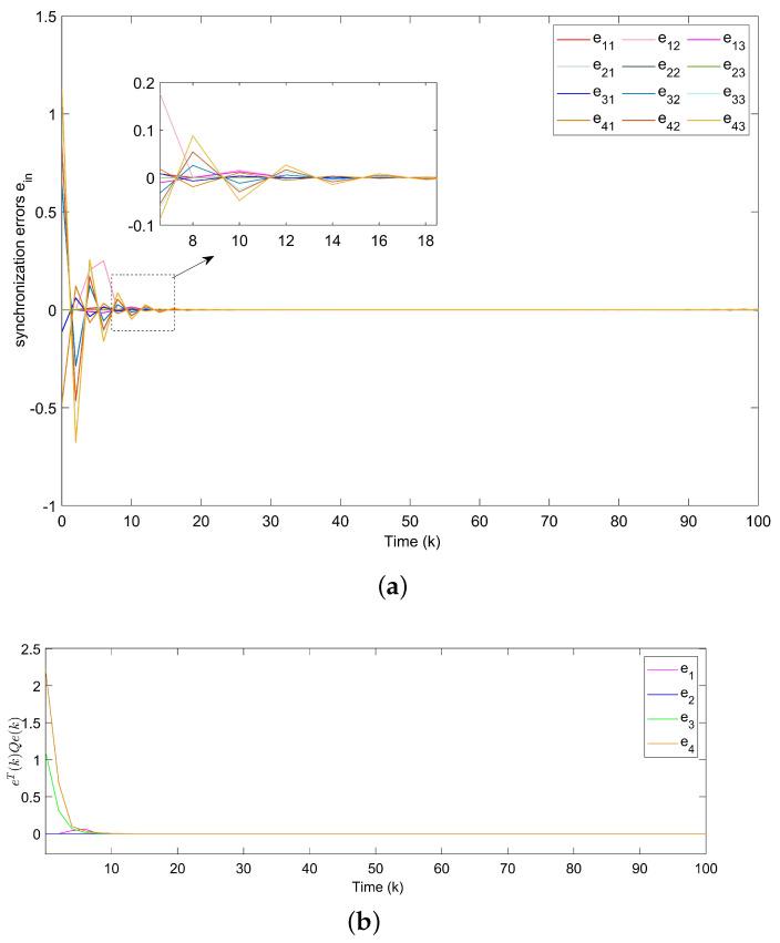
This paper is concerned with the adaptive event-triggered finite-time pinning synchronization control problem for T-S fuzzy discrete complex networks (TSFDCNs) with time-varying delays. In order to accurately describe discrete dynamical behaviors, we build a general model of discrete complex networks via T-S fuzzy rules, which extends a continuous-time model in existing results. Based on an adaptive threshold and measurement errors, a discrete adaptive event-triggered approach (AETA) is introduced to govern signal transmission. With the hope of improving the resource utilization and reducing the update frequency, an event-based fuzzy pinning feedback control strategy is designed to control a small fraction of network nodes. Furthermore, by new Lyapunov-Krasovskii functionals and the finite-time analysis method, sufficient criteria are provided to guarantee the finite-time bounded stability of the closed-loop error system. Under an optimization condition and linear matrix inequality (LMI) constraints, the desired controller parameters with respect to minimum finite time are derived. Finally, several numerical examples are conducted to show the effectiveness of obtained theoretical results. For the same system, the average triggering rate of AETA is significantly lower than existing event-triggered mechanisms and the convergence rate of synchronization errors is also superior to other control strategies.
本文研究了具有时变延迟的T-S模糊离散复杂网络(TSFDCNs)的自适应事件触发有限时间牵制同步控制问题。为了准确描述离散动力学行为,我们通过T-S模糊规则建立了离散复杂网络的通用模型,该模型扩展了现有结果中的连续时间模型。基于自适应阈值和测量误差,引入了一种离散自适应事件触发方法(AETA)来管理信号传输。为了提高资源利用率并降低更新频率,设计了一种基于事件的模糊牵制反馈控制策略来控制一小部分网络节点。此外,通过新的Lyapunov-Krasovskii泛函和有限时间分析方法,提供了充分的准则来保证闭环误差系统的有限时间有界稳定性。在优化条件和线性矩阵不等式(LMI)约束下,推导了关于最小有限时间的期望控制器参数。最后,进行了几个数值例子来验证所获理论结果的有效性。对于同一系统,AETA的平均触发率明显低于现有事件触发机制,同步误差的收敛速度也优于其他控制策略。