• 文献检索
  • 文档翻译
  • 深度研究
  • 学术资讯
  • Suppr Zotero 插件Zotero 插件
  • 邀请有礼
  • 套餐&价格
  • 历史记录
应用&插件
Suppr Zotero 插件Zotero 插件浏览器插件Mac 客户端Windows 客户端微信小程序
定价
高级版会员购买积分包购买API积分包
服务
文献检索文档翻译深度研究API 文档MCP 服务
关于我们
关于 Suppr公司介绍联系我们用户协议隐私条款
关注我们

Suppr 超能文献

核心技术专利:CN118964589B侵权必究
粤ICP备2023148730 号-1Suppr @ 2026

文献检索

告别复杂PubMed语法,用中文像聊天一样搜索,搜遍4000万医学文献。AI智能推荐,让科研检索更轻松。

立即免费搜索

文件翻译

保留排版,准确专业,支持PDF/Word/PPT等文件格式,支持 12+语言互译。

免费翻译文档

深度研究

AI帮你快速写综述,25分钟生成高质量综述,智能提取关键信息,辅助科研写作。

立即免费体验

低温焙烧铜物种改性活性炭对提高砷化氢吸附作用的研究

Investigation of the Role of Copper Species-Modified Active Carbon by Low-Temperature Roasting on the Improvement of Arsine Adsorption.

作者信息

Chen Xiaoyu, Feng Xuan, Xie Yibing, Wang Langlang, Chen Lu, Wang Xueqian, Ma Yixing, Ning Ping, Pu Yu

机构信息

Zhejiang Nanhua Anti-corrosion Equipment Co., LTD., Hangzhou 311255, China.

Faculty of Environmental Science and Engineering, Kunming University of Science and Technology, No. 727, Jingming South Road, Chenggong New District, Kunming 650500, China.

出版信息

ACS Omega. 2022 May 11;7(20):17358-17368. doi: 10.1021/acsomega.2c01355. eCollection 2022 May 24.

DOI:10.1021/acsomega.2c01355
PMID:35647465
原文链接:https://pmc.ncbi.nlm.nih.gov/articles/PMC9134391/
Abstract

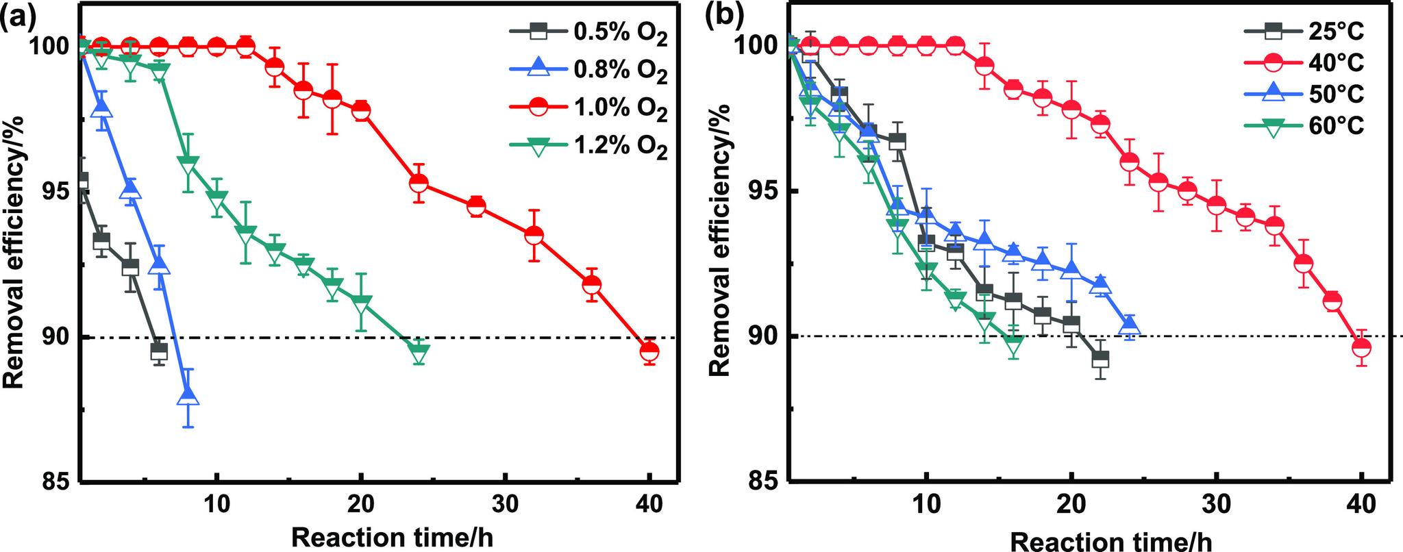
Traditional adsorbents undershot the expectations for arsine (AsH) removal under low-temperature operation conditions in the industry. In this study, the copper (Cu) precursor was used to modify activated carbon and yield novel adsorbents by low-temperature roasting for high-efficiency removal of AsH. The best conditions were determined as impregnation with 2 mol/L Cu(NO) adsorbent and roasting at 180 °C. At a reaction temperature of 40 °C and an oxygen content of 1%, the AsH removal efficiency reached over 90% and lasted for 40 h and the best capacity of 369.6 mg/g was obtained with the Cu/Ac adsorbent. The characterization results showed the decomposition of Cu(NO) during the low-temperature roasting process to form surface functional groups. The formation of the important intermediate Cu(NO)(OH) in the decomposition of Cu(NO) into CuO plays a role in the good regeneration performance of the Cu/Ac adsorbent using water washing and the gas regeneration method. The results of in situ diffuse reflectance infrared Fourier transform spectroscopy combined with X-ray photoelectron spectroscopy demonstrated that the interaction of trace oxygen with Lewis (L) acid sites increased chemisorbed oxygen by 17.34%, significantly promoting the spontaneity of AsH oxidation reaction. These results provide a friendly economic method with industrial processes practical for AsH removal.

摘要

传统吸附剂在工业低温运行条件下对砷化氢(AsH)的去除效果未达预期。在本研究中,采用铜(Cu)前驱体对活性炭进行改性,并通过低温焙烧制备新型吸附剂以高效去除AsH。确定最佳条件为用2 mol/L Cu(NO₃)₂浸渍吸附剂并在180 °C下焙烧。在反应温度为40 °C且氧气含量为1%时,Cu/Ac吸附剂对AsH的去除效率达到90%以上并持续40 h,且获得了369.6 mg/g的最佳吸附容量。表征结果表明,Cu(NO₃)₂在低温焙烧过程中分解形成表面官能团。Cu(NO₃)₂分解为CuO过程中重要中间体Cu₂(OH)₃NO₃的形成,对Cu/Ac吸附剂采用水洗和气体再生法具有良好的再生性能起到了作用。原位漫反射红外傅里叶变换光谱结合X射线光电子能谱的结果表明,痕量氧与路易斯(L)酸位点的相互作用使化学吸附氧增加了17.34%,显著促进了AsH氧化反应的自发性。这些结果提供了一种对工业过程友好且经济实用的AsH去除方法。

https://cdn.ncbi.nlm.nih.gov/pmc/blobs/e084/9134391/3cf38abdbecf/ao2c01355_0011.jpg
https://cdn.ncbi.nlm.nih.gov/pmc/blobs/e084/9134391/b9cab87bb346/ao2c01355_0002.jpg
https://cdn.ncbi.nlm.nih.gov/pmc/blobs/e084/9134391/daeabb028259/ao2c01355_0003.jpg
https://cdn.ncbi.nlm.nih.gov/pmc/blobs/e084/9134391/0b22b6eee801/ao2c01355_0004.jpg
https://cdn.ncbi.nlm.nih.gov/pmc/blobs/e084/9134391/80287888d896/ao2c01355_0005.jpg
https://cdn.ncbi.nlm.nih.gov/pmc/blobs/e084/9134391/877fa52281ad/ao2c01355_0006.jpg
https://cdn.ncbi.nlm.nih.gov/pmc/blobs/e084/9134391/d05da309a824/ao2c01355_0007.jpg
https://cdn.ncbi.nlm.nih.gov/pmc/blobs/e084/9134391/bbf326fcfec6/ao2c01355_0008.jpg
https://cdn.ncbi.nlm.nih.gov/pmc/blobs/e084/9134391/709c34ce26b8/ao2c01355_0009.jpg
https://cdn.ncbi.nlm.nih.gov/pmc/blobs/e084/9134391/2174b0692290/ao2c01355_0010.jpg
https://cdn.ncbi.nlm.nih.gov/pmc/blobs/e084/9134391/3cf38abdbecf/ao2c01355_0011.jpg
https://cdn.ncbi.nlm.nih.gov/pmc/blobs/e084/9134391/b9cab87bb346/ao2c01355_0002.jpg
https://cdn.ncbi.nlm.nih.gov/pmc/blobs/e084/9134391/daeabb028259/ao2c01355_0003.jpg
https://cdn.ncbi.nlm.nih.gov/pmc/blobs/e084/9134391/0b22b6eee801/ao2c01355_0004.jpg
https://cdn.ncbi.nlm.nih.gov/pmc/blobs/e084/9134391/80287888d896/ao2c01355_0005.jpg
https://cdn.ncbi.nlm.nih.gov/pmc/blobs/e084/9134391/877fa52281ad/ao2c01355_0006.jpg
https://cdn.ncbi.nlm.nih.gov/pmc/blobs/e084/9134391/d05da309a824/ao2c01355_0007.jpg
https://cdn.ncbi.nlm.nih.gov/pmc/blobs/e084/9134391/bbf326fcfec6/ao2c01355_0008.jpg
https://cdn.ncbi.nlm.nih.gov/pmc/blobs/e084/9134391/709c34ce26b8/ao2c01355_0009.jpg
https://cdn.ncbi.nlm.nih.gov/pmc/blobs/e084/9134391/2174b0692290/ao2c01355_0010.jpg
https://cdn.ncbi.nlm.nih.gov/pmc/blobs/e084/9134391/3cf38abdbecf/ao2c01355_0011.jpg

相似文献

1
Investigation of the Role of Copper Species-Modified Active Carbon by Low-Temperature Roasting on the Improvement of Arsine Adsorption.低温焙烧铜物种改性活性炭对提高砷化氢吸附作用的研究
ACS Omega. 2022 May 11;7(20):17358-17368. doi: 10.1021/acsomega.2c01355. eCollection 2022 May 24.
2
Catalytic oxidation mechanism of AsH over CuO@SiO core-shell catalysts via experimental and theoretical studies.基于实验和理论研究的CuO@SiO核壳催化剂上AsH的催化氧化机理
J Hazard Mater. 2023 Feb 5;443(Pt B):130318. doi: 10.1016/j.jhazmat.2022.130318. Epub 2022 Nov 2.
3
CuO-modified activated carbon for the improvement of toluene removal in air.氧化铜改性活性炭在空气中去除甲苯的应用。
J Environ Sci (China). 2020 Feb;88:122-132. doi: 10.1016/j.jes.2019.07.001. Epub 2019 Jul 10.
4
Defect-Confinement Strategy for Constructing CuO Clusters on Carbon Nanotubes for Catalytic Oxidation of AsH at Room Temperature.缺陷限域策略构建氧化铜纳米簇负载碳纳米管室温催化氧化 AsH3。
Environ Sci Technol. 2024 Jan 9;58(1):859-870. doi: 10.1021/acs.est.3c06741. Epub 2023 Dec 7.
5
Cu/TiO adsorbents modified by air plasma for adsorption-oxidation of HS.空气等离子体改性 Cu/TiO 吸附剂用于 HS 的吸附-氧化。
J Environ Sci (China). 2025 Feb;148:476-488. doi: 10.1016/j.jes.2023.09.023. Epub 2023 Sep 25.
6
Simultaneous catalytic oxidation of elemental mercury and arsine over CeO(111) surface: a density functional theory study.CeO(111)表面上元素汞和砷化氢的同步催化氧化:密度泛函理论研究
J Mol Model. 2022 May 18;28(6):156. doi: 10.1007/s00894-022-05153-4.
7
Adsorption/desorption of low concentration of carbonyl sulfide by impregnated activated carbon under micro-oxygen conditions.在微氧条件下浸渍活性炭对低浓度羰基硫的吸附/解吸。
J Hazard Mater. 2012 Aug 30;229-230:128-36. doi: 10.1016/j.jhazmat.2012.05.084. Epub 2012 Jun 2.
8
Cu(II) Ion Adsorption by Aniline Grafted Chitosan and Its Responsive Fluorescence Properties.苯胺接枝壳聚糖对Cu(II)离子的吸附及其响应荧光性能
Molecules. 2020 Feb 26;25(5):1052. doi: 10.3390/molecules25051052.
9
Structural/surface characterization of transition metal element-doped H-ZSM-5 adsorbent for CHSH removal: identification of active adsorption sites and deactivation mechanism.过渡金属元素掺杂 H-ZSM-5 吸附剂去除 CHSH 的结构/表面特性:活性吸附位的鉴定和失活动力学。
Environ Sci Pollut Res Int. 2024 Apr;31(16):24398-24411. doi: 10.1007/s11356-024-32518-4. Epub 2024 Mar 5.
10
Influence of cerium doping on Cu-Ni/activated carbon low-temperature CO-SCR denitration catalysts.铈掺杂对Cu-Ni/活性炭低温CO-SCR脱硝催化剂的影响
RSC Adv. 2021 May 21;11(30):18458-18467. doi: 10.1039/d1ra02352g. eCollection 2021 May 19.

引用本文的文献

1
Use of copper-functionalized cotton waste in combined chemical and biological processes for production of valuable chemical compounds.在化学和生物联合工艺中使用铜功能化棉废料生产有价值的化合物。
RSC Adv. 2023 Nov 28;13(49):34681-34692. doi: 10.1039/d3ra06071c. eCollection 2023 Nov 22.

本文引用的文献

1
New insights into the deactivation mechanism of VO-WO/TiO catalyst during selective catalytic reduction of NO with NH: synergies between arsenic and potassium species.钒钨/二氧化钛催化剂在氨选择性催化还原一氧化氮过程中的失活机制新见解:砷与钾物种之间的协同作用
RSC Adv. 2019 Nov 19;9(65):37724-37732. doi: 10.1039/c9ra07545c.
2
The investigation of activated carbon by KCO activation: Micropores- and macropores-dominated structure.KCO 活化法对活性炭的研究:微孔和大孔占主导地位的结构。
Chemosphere. 2022 Jul;299:134365. doi: 10.1016/j.chemosphere.2022.134365. Epub 2022 Mar 21.
3
Arsenic removal from copper slag matrix by high temperature sulfide-reduction-volatilization.
高温硫化-还原-挥发去除铜渣基质中的砷。
J Hazard Mater. 2021 Aug 5;415:125642. doi: 10.1016/j.jhazmat.2021.125642. Epub 2021 Mar 17.
4
Metal(loid)s (As, Hg, Se, Pb and Cd) in paddy soil: Bioavailability and potential risk to human health.土壤中的金属(砷、汞、硒、铅和镉):生物可利用性及对人类健康的潜在风险。
Sci Total Environ. 2020 Jan 10;699:134330. doi: 10.1016/j.scitotenv.2019.134330. Epub 2019 Sep 7.
5
Regeneration of Commercial SCR Catalysts: Probing the Existing Forms of Arsenic Oxide.商用 SCR 催化剂的再生:探究氧化砷的现有形态。
Environ Sci Technol. 2015 Aug 18;49(16):9971-8. doi: 10.1021/acs.est.5b02257. Epub 2015 Jul 30.
6
Insight into deactivation of commercial SCR catalyst by arsenic: an experiment and DFT study.砷对商业 SCR 催化剂失活作用的研究:实验和密度泛函理论研究。
Environ Sci Technol. 2014 Dec 2;48(23):13895-900. doi: 10.1021/es503486w.
7
Mechanism of N2O formation during the low-temperature selective catalytic reduction of NO with NH3 over Mn-Fe spinel.在 Mn-Fe 尖晶石低温选择性催化还原 NO 与 NH3 过程中 N2O 形成的机理。
Environ Sci Technol. 2014 Sep 2;48(17):10354-62. doi: 10.1021/es502585s. Epub 2014 Aug 15.
8
Arsine toxicity treated with red blood cell and plasma exchanges.采用红细胞和血浆置换治疗砷化氢中毒。
Transfusion. 2006 Sep;46(9):1576-9. doi: 10.1111/j.1537-2995.2006.00931.x.
9
Ozonation of activated carbons: Effect on the adsorption of selected phenolic compounds from aqueous solutions.活性炭的臭氧化:对从水溶液中吸附选定酚类化合物的影响。
J Colloid Interface Sci. 2005 Mar 15;283(2):503-12. doi: 10.1016/j.jcis.2004.09.014.