Suppr超能文献

自闭症谱系障碍中人类内源性逆转录病毒、TRIM28 和 SETDB1 的表达增强。

Enhanced Expression of Human Endogenous Retroviruses, TRIM28 and SETDB1 in Autism Spectrum Disorder.

机构信息

Department of Public Health and Pediatric Sciences, University of Turin, Piazza Polonia 94, 10126 Turin, Italy.

Division of Child and Adolescent Neuropsychiatry, Department of Public Health and Pediatric Sciences, University of Turin, Piazza Polonia 94, 10126 Turin, Italy.

出版信息

Int J Mol Sci. 2022 May 25;23(11):5964. doi: 10.3390/ijms23115964.

Abstract

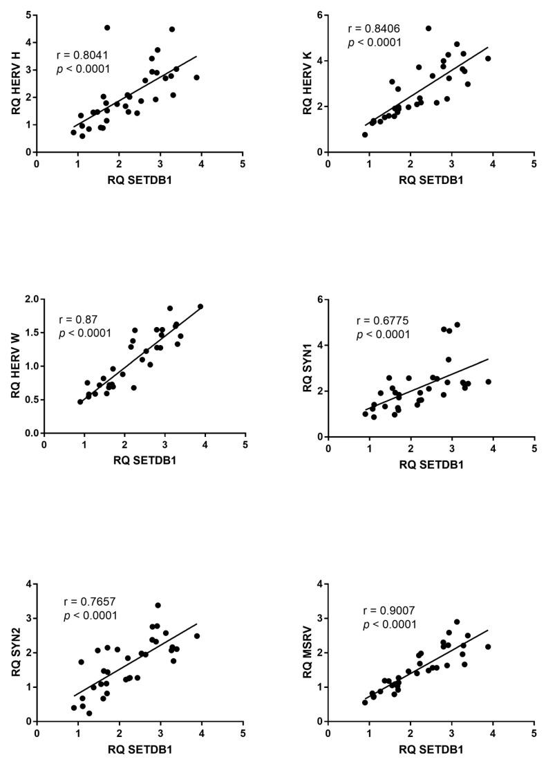
Human endogenous retroviruses (HERVs) are relics of ancestral infections and represent 8% of the human genome. They are no longer infectious, but their activation has been associated with several disorders, including neuropsychiatric conditions. Enhanced expression of HERV-K and HERV-H envelope genes has been found in the blood of autism spectrum disorder (ASD) patients, but no information is available on syncytin 1 (SYN1), SYN2, and multiple sclerosis-associated retrovirus (MSRV), which are thought to be implicated in brain development and immune responses. HERV activation is regulated by TRIM28 and SETDB1, which are part of the epigenetic mechanisms that organize the chromatin architecture in response to external stimuli and are involved in neural cell differentiation and brain inflammation. We assessed, through a PCR realtime Taqman amplification assay, the transcription levels of genes of HERV-H, -K, and -W families, of genes of SYN1, SYN2, and MSRV, as well as of TRIM28 and SETDB1 in the blood of 33 ASD children (28 males, median 3.8 years, 25-75% interquartile range 3.0-6.0 y) and healthy controls (HC). Significantly higher expressions of TRIM28 and SETDB1, as well as of all the HERV genes tested, except for HERV-W-, were found in ASD, as compared with HC. Positive correlations were observed between the mRNA levels of TRIM28 or SETDB1 and every HERV gene in ASD patients, but not in HC. Overexpression of TRIM28/SETDB1 and several HERVs in children with ASD and the positive correlations between their transcriptional levels suggest that these may be main players in pathogenetic mechanisms leading to ASD.

摘要

人类内源性逆转录病毒(HERV)是祖先感染的遗迹,占人类基因组的 8%。它们不再具有感染性,但它们的激活与多种疾病有关,包括神经精神疾病。自闭症谱系障碍(ASD)患者的血液中发现 HERV-K 和 HERV-H 包膜基因的表达增强,但尚无关于 Syncytin 1(SYN1)、SYN2 和多发性硬化症相关逆转录病毒(MSRV)的信息,这些基因被认为与大脑发育和免疫反应有关。HERV 的激活受 TRIM28 和 SETDB1 调节,它们是表观遗传机制的一部分,这些机制组织染色质结构以响应外部刺激,并参与神经细胞分化和大脑炎症。我们通过实时 PCR Taqman 扩增检测评估了 33 名 ASD 儿童(28 名男性,中位数 3.8 岁,25-75% 四分位距 3.0-6.0 y)和健康对照(HC)血液中 HERV-H、-K 和 -W 家族基因、SYN1、SYN2 和 MSRV 基因以及 TRIM28 和 SETDB1 的转录水平。与 HC 相比,ASD 中发现 TRIM28 和 SETDB1 以及所有测试的 HERV 基因的表达均显著升高,除了 HERV-W-。在 ASD 患者中,TRIM28 或 SETDB1 与每个 HERV 基因的 mRNA 水平之间观察到正相关,但在 HC 中没有观察到。ASD 儿童中 TRIM28/SETDB1 和多个 HERV 的过度表达及其转录水平之间的正相关提示它们可能是导致 ASD 的发病机制的主要参与者。

https://cdn.ncbi.nlm.nih.gov/pmc/blobs/1d5c/9180946/3d6daded826e/ijms-23-05964-g001.jpg

文献AI研究员

20分钟写一篇综述,助力文献阅读效率提升50倍。

立即体验

用中文搜PubMed

大模型驱动的PubMed中文搜索引擎

马上搜索

文档翻译

学术文献翻译模型,支持多种主流文档格式。

立即体验