Suppr超能文献

基于增材制造的设计以及使用实验和有限元方法对基于表面的晶格结构屈曲特性的研究。

Design for Additive Manufacturing and Investigation of Surface-Based Lattice Structures for Buckling Properties Using Experimental and Finite Element Methods.

作者信息

Shah Gul Jamil, Nazir Aamer, Lin Shang-Chih, Jeng Jeng-Ywan

机构信息

Department of Mechanical Engineering, National Taiwan University of Science and Technology, No. 43, Section 4, Keelung Road, Taipei 106, Taiwan.

High Speed 3D Printing Research Center, National Taiwan University of Science and Technology, No. 43, Section 4, Keelung Road, Taipei 106, Taiwan.

出版信息

Materials (Basel). 2022 Jun 6;15(11):4037. doi: 10.3390/ma15114037.

Abstract

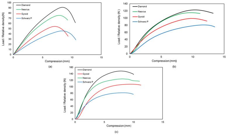
Additive Manufacturing (AM) is rapidly evolving due to its unlimited design freedom to fabricate complex and intricate light-weight geometries with the use of lattice structure that have potential applications including construction, aerospace and biomedical applications, where mechanical properties are the prime focus. Buckling instability in lattice structures is one of the main failure mechanisms that can lead to major failure in structural applications that are subjected to compressive loads, but it has yet to be fully explored. This study aims to investigate the effect of surface-based lattice structure topologies and structured column height on the critical buckling load of lattice structured columns. Four different triply periodic minimal surface (TPMS) lattice topologies were selected and three design configurations (unit cells in , , axis), i.e., 2 × 2 × 4, 2 × 2 × 8 and 2 × 2 × 16 column, for each structure were designed followed by printing using HP MultiJet fusion. Uni-axial compression testing was performed to study the variation in critical buckling load due to change in unit cell topology and column height. The results revealed that the structured column possessing Diamond structures shows the highest critical buckling load followed by Neovius and Gyroid structures, whereas the Schwarz-P unit cell showed least resistance to buckling among the unit cells analyzed in this study. In addition to that, the Diamond design showed a uniform decrease in critical buckling load with a column height maximum of 5193 N, which makes it better for applications in which the column's height is relatively higher while the Schwarz-P design showed advantages for low height column maximum of 2271 N. Overall, the variations of unit cell morphologies greatly affect the critical buckling load and permits the researchers to select different lattice structures for various applications as per load/stiffness requirement with different height and dimensions. Experimental results were validated by finite element analysis (FEA), which showed same patterns of buckling while the numerical values of critical buckling load show the variation to be up to 10%.

摘要

增材制造(AM)正在迅速发展,这是因为它具有无限的设计自由度,能够利用晶格结构制造复杂且精细的轻质几何形状,这些晶格结构在建筑、航空航天和生物医学等潜在应用领域具有重要意义,在这些领域中机械性能是首要关注点。晶格结构中的屈曲失稳是主要的失效机制之一,可能导致承受压缩载荷的结构应用出现重大故障,但尚未得到充分研究。本研究旨在探讨基于表面的晶格结构拓扑和结构柱高度对晶格结构柱临界屈曲载荷的影响。选择了四种不同的三重周期极小曲面(TPMS)晶格拓扑,并为每种结构设计了三种设计配置(沿x、y、z轴的单位晶胞),即2×2×4、2×2×8和2×2×16柱,随后使用惠普多喷射熔融技术进行打印。进行单轴压缩试验以研究由于单位晶胞拓扑和柱高度变化而导致的临界屈曲载荷的变化。结果表明,具有菱形结构的结构柱显示出最高的临界屈曲载荷,其次是尼奥维斯和螺旋结构,而在本研究分析的单位晶胞中,施瓦茨 - P单位晶胞对屈曲的抵抗力最小。此外,菱形设计的临界屈曲载荷随着柱高度的增加而均匀下降,最大柱高度为5193 N,这使其更适合柱高度相对较高的应用,而施瓦茨 - P设计在低高度柱(最大2271 N)方面具有优势。总体而言,单位晶胞形态的变化极大地影响临界屈曲载荷,并允许研究人员根据不同的高度和尺寸的载荷/刚度要求为各种应用选择不同的晶格结构。实验结果通过有限元分析(FEA)进行了验证,有限元分析显示出相同的屈曲模式,而临界屈曲载荷的数值变化高达10%。

https://cdn.ncbi.nlm.nih.gov/pmc/blobs/7d10/9182221/c15f85c60086/materials-15-04037-g001.jpg

文献检索

告别复杂PubMed语法,用中文像聊天一样搜索,搜遍4000万医学文献。AI智能推荐,让科研检索更轻松。

立即免费搜索

文件翻译

保留排版,准确专业,支持PDF/Word/PPT等文件格式,支持 12+语言互译。

免费翻译文档

深度研究

AI帮你快速写综述,25分钟生成高质量综述,智能提取关键信息,辅助科研写作。

立即免费体验