Albrecht Ken, Taguchi Maki, Tsukamoto Takamasa, Moriai Tatsuya, Yoshida Nozomi, Yamamoto Kimihisa
Laboratory for Chemistry and Life Science (CLS), Institute of Innovative Research (IIR), Tokyo Institute of Technology Yokohama 226-8503 Japan
JST-ERATO, Yamamoto Atom Hybrid Project, Institute of Innovative Research (IIR), Tokyo Institute of Technology 4259 Nagatsuta, Midori-ku Yokohama 226-8503 Japan.
Chem Sci. 2022 Mar 18;13(20):5813-5817. doi: 10.1039/d1sc05661a. eCollection 2022 May 25.
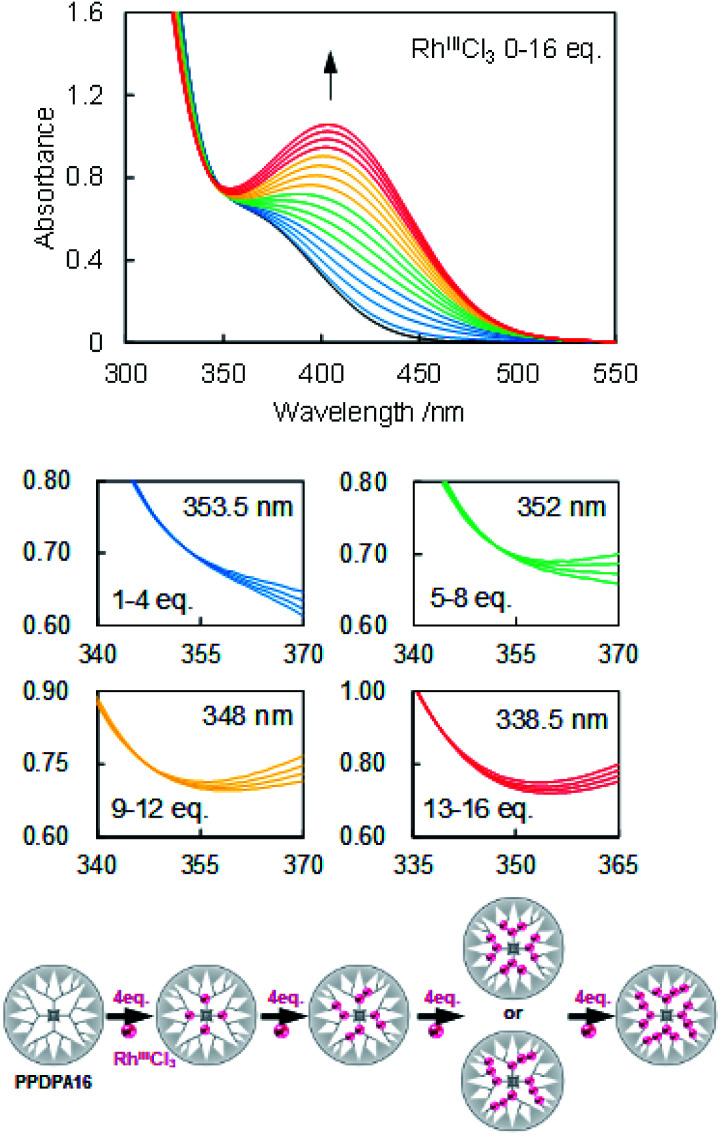
Synthesizing metal clusters with a specific number of atoms on a preparative scale for studying advanced properties is still a challenge. The dendrimer templated method is powerful for synthesizing size or atomicity controlled nanoparticles. However, not all atomicity is accessible with conventional dendrimers. A new tailor-made phenylazomethine dendrimer (DPA) with a limited number of coordination sites ( = 16) and a non-coordinating large poly-phenylene shell was designed to tackle this problem. The asymmetric dendron and adamantane core four substituted dendrimer (PPDPA16) were successfully synthesized. The coordination behavior confirmed the accumulation of 16 metal Lewis acids (RhCl, RuCl, and SnBr) to PPDPA16. After the reduction of the complex, low valent metal nanoparticles with controlled size were obtained. The tailor-made dendrimer is a promising approach to synthesize a variety of metal clusters with desired atomicity.
在制备规模上合成具有特定原子数的金属簇以研究其先进性能仍然是一项挑战。树枝状大分子模板法在合成尺寸或原子数可控的纳米颗粒方面很强大。然而,并非所有原子数都能用传统树枝状大分子实现。为解决这一问题,设计了一种具有有限配位点(= 16)和非配位大聚苯撑壳的新型定制苯甲亚胺树枝状大分子(DPA)。成功合成了不对称树枝状单元和金刚烷核四取代树枝状大分子(PPDPA16)。配位行为证实了16个金属路易斯酸(RhCl、RuCl和SnBr)在PPDPA16上的积累。络合物还原后,获得了尺寸可控的低价金属纳米颗粒。这种定制的树枝状大分子是合成具有所需原子数的各种金属簇的一种有前途的方法。