• 文献检索
  • 文档翻译
  • 深度研究
  • 学术资讯
  • Suppr Zotero 插件Zotero 插件
  • 邀请有礼
  • 套餐&价格
  • 历史记录
应用&插件
Suppr Zotero 插件Zotero 插件浏览器插件Mac 客户端Windows 客户端微信小程序
定价
高级版会员购买积分包购买API积分包
服务
文献检索文档翻译深度研究API 文档MCP 服务
关于我们
关于 Suppr公司介绍联系我们用户协议隐私条款
关注我们

Suppr 超能文献

核心技术专利:CN118964589B侵权必究
粤ICP备2023148730 号-1Suppr @ 2026

文献检索

告别复杂PubMed语法,用中文像聊天一样搜索,搜遍4000万医学文献。AI智能推荐,让科研检索更轻松。

立即免费搜索

文件翻译

保留排版,准确专业,支持PDF/Word/PPT等文件格式,支持 12+语言互译。

免费翻译文档

深度研究

AI帮你快速写综述,25分钟生成高质量综述,智能提取关键信息,辅助科研写作。

立即免费体验

单核细胞趋化蛋白-1 对银屑病关节炎患者舒张功能障碍发展的预测价值。

Predictive Value of Monocyte Chemoattractant Protein-1 in the Development of Diastolic Dysfunction in Patients with Psoriatic Arthritis.

机构信息

Department of Cardiology, Hospital for Medical Rehabilitation of Hearth and Lung Diseases and Rheumatism "Thalassotherapia-Opatija", M. Tita 188, 51420 Opatija, Croatia.

Department of Rheumatology, Hospital for Medical Rehabilitation of Hearth and Lung Diseases and Rheumatism "Thalassotherapia-Opatija", M. Tita 188, 51420 Opatija, Croatia.

出版信息

Dis Markers. 2022 Jun 3;2022:4433313. doi: 10.1155/2022/4433313. eCollection 2022.

DOI:10.1155/2022/4433313
PMID:35692875
原文链接:https://pmc.ncbi.nlm.nih.gov/articles/PMC9187441/
Abstract

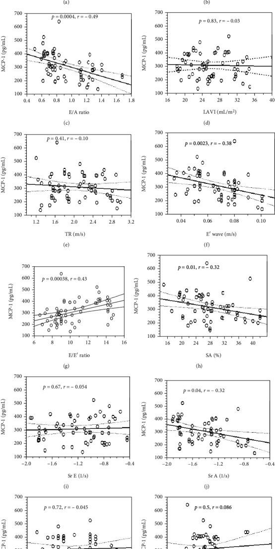
We aimed to evaluate the diagnostic accuracy of the proinflammatory monocyte chemotactic protein-1 (MCP-1) in the diagnosis of asymptomatic diastolic dysfunction (DD) in patients with psoriatic arthritis (PsA). The disease activity in psoriatic arthritis (DAPSA) was determined using clinical and laboratory parameters, and echocardiography was performed to estimate DD. Serum MCP-1 concentrations were elevated in PsA patients with DD diagnosed with ultrasound (median (25 percentile, 75 percentile): 366.6 pg/mL (283, 407.1 pg/mL) vs. 277.5 pg/mL (223.5, 319.1 pg/mL) in controls; < 0.0017). PsA patients with serum MCP-1 concentration higher than the cut-off value of 347.6 pg/mL had a 7.74-fold higher chance of developing DD than PsA patients with lower serum MCP-1 concentrations (controls), with a specificity of 86.36% and sensitivity of 55%, as verified using ultrasound. The group with MCP-1 concentrations above the cut-off value also showed a higher late peak diastolic mitral inflow velocity, A-wave value ( = 0.000005), E/E' ratio ( = 0.00005), and a lower E/A ratio ( = 0.000002), peak systolic left atrial reservoir strain, SA value ( = 0.0066), early peak diastolic displacement of the mitral septal annulus, E' wave value ( = 0.003), than controls. Systolic blood pressure ( = 0.01), LDL cholesterol concentration ( = 0.012), glucose concentration ( = 0.011), and DAPSA ( = 0.0000) increased in the PsA group with higher MCP-1 concentrations, although there were no differences in comorbidities and therapy between the groups compared. Thus, the serum MCP-1 concentration was a significant and independent prognostic indicator for asymptomatic DD in PsA patients (area under the curve = 0.730, = 0.001). The DAPSA score in PsA patients might indicate the need for echocardiography and adjustment of anti-inflammatory treatment in terms of DD prevention.

摘要

我们旨在评估促炎性单核细胞趋化蛋白-1(MCP-1)在诊断患有银屑病关节炎(PsA)的无症状舒张功能障碍(DD)中的诊断准确性。采用临床和实验室参数确定银屑病关节炎的疾病活动度(DAPSA),并进行超声心动图检查以评估 DD。患有超声诊断 DD 的 PsA 患者的血清 MCP-1 浓度升高(中位数(25 百分位数,75 百分位数):366.6 pg/mL(283,407.1 pg/mL)与对照组相比 277.5 pg/mL(223.5,319.1 pg/mL); < 0.0017)。血清 MCP-1 浓度高于 347.6 pg/mL 截断值的 PsA 患者发生 DD 的可能性是血清 MCP-1 浓度较低的 PsA 患者的 7.74 倍(对照组),特异性为 86.36%,灵敏度为 55%,通过超声检查得到验证。MCP-1 浓度高于截断值的组还显示出更高的二尖瓣舒张晚期峰值血流速度、A 波值( = 0.000005)、E/E' 比值( = 0.00005)和更低的 E/A 比值( = 0.000002),左心房储备应变的峰值收缩期,SA 值( = 0.0066),二尖瓣间隔瓣环的舒张早期峰值位移,E'波值( = 0.003),与对照组相比。MCP-1 浓度较高的 PsA 组的收缩压( = 0.01)、LDL 胆固醇浓度( = 0.012)、血糖浓度( = 0.011)和 DAPSA( = 0.0000)升高,但两组间的合并症和治疗无差异。因此,血清 MCP-1 浓度是 PsA 患者无症状 DD 的重要且独立的预后指标(曲线下面积 = 0.730, = 0.001)。DAPSA 评分可能表明需要进行超声心动图检查,并根据 DD 预防调整抗炎治疗。

https://cdn.ncbi.nlm.nih.gov/pmc/blobs/8b7f/9187441/cc3a0a279745/DM2022-4433313.003.jpg
https://cdn.ncbi.nlm.nih.gov/pmc/blobs/8b7f/9187441/f69d27f2a457/DM2022-4433313.001.jpg
https://cdn.ncbi.nlm.nih.gov/pmc/blobs/8b7f/9187441/4ca827587f18/DM2022-4433313.002.jpg
https://cdn.ncbi.nlm.nih.gov/pmc/blobs/8b7f/9187441/cc3a0a279745/DM2022-4433313.003.jpg
https://cdn.ncbi.nlm.nih.gov/pmc/blobs/8b7f/9187441/f69d27f2a457/DM2022-4433313.001.jpg
https://cdn.ncbi.nlm.nih.gov/pmc/blobs/8b7f/9187441/4ca827587f18/DM2022-4433313.002.jpg
https://cdn.ncbi.nlm.nih.gov/pmc/blobs/8b7f/9187441/cc3a0a279745/DM2022-4433313.003.jpg

相似文献

1
Predictive Value of Monocyte Chemoattractant Protein-1 in the Development of Diastolic Dysfunction in Patients with Psoriatic Arthritis.单核细胞趋化蛋白-1 对银屑病关节炎患者舒张功能障碍发展的预测价值。
Dis Markers. 2022 Jun 3;2022:4433313. doi: 10.1155/2022/4433313. eCollection 2022.
2
Determination of left ventricular filling pressure by new echocardiographic methods in patients with coronary artery disease.采用新的超声心动图方法测定冠心病患者的左心室充盈压
Int J Cardiovasc Imaging. 2008 Feb;24(2):141-7. doi: 10.1007/s10554-007-9238-4. Epub 2007 Jun 1.
3
Association of inflammatory biomarkers and disease activity with subclinical myocardial dysfunction in psoriatic arthritis.炎症生物标志物与疾病活动与银屑病关节炎患者亚临床心肌功能障碍的相关性。
Sci Rep. 2023 Jun 26;13(1):10371. doi: 10.1038/s41598-023-37412-6.
4
Applicability of published guidelines for assessment of left ventricular diastolic function in adults to children with restrictive cardiomyopathy: an observational study.已发表的成人左心室舒张功能评估指南对限制型心肌病患儿的适用性:一项观察性研究。
Pediatr Cardiol. 2015 Feb;36(2):386-92. doi: 10.1007/s00246-014-1018-z. Epub 2014 Sep 6.
5
Tissue Doppler imaging adds incremental value in predicting exercise capacity in patients with congestive heart failure.组织多普勒成像在预测充血性心力衰竭患者的运动能力方面具有额外价值。
Heart Vessels. 2007 Jul;22(4):237-44. doi: 10.1007/s00380-006-0961-x. Epub 2007 Jul 20.
6
High prevalence of subclinical left ventricular dysfunction in patients with psoriatic arthritis.银屑病关节炎患者存在亚临床左心室功能障碍的高患病率。
J Rheumatol. 2011 Jul;38(7):1363-70. doi: 10.3899/jrheum.101136. Epub 2011 Apr 1.
7
Triphasic mitral inflow velocity with mid-diastolic flow: the presence of mid-diastolic mitral annular velocity indicates advanced diastolic dysfunction.伴有舒张中期血流的三相二尖瓣流入速度:舒张中期二尖瓣环速度的存在表明舒张功能障碍进展。
Eur J Echocardiogr. 2006 Jan;7(1):16-21. doi: 10.1016/j.euje.2005.03.007.
8
Mitral early-diastolic inflow peak velocity (E)-to-left atrial strain ratio as a novel index for predicting elevated left ventricular filling pressures in patients with preserved left ventricular ejection fraction.二尖瓣舒张早期血流峰值速度(E)与左心房应变比值作为预测左心室射血分数保留的心力衰竭患者左心房充盈压升高的新指标。
Cardiovasc Ultrasound. 2021 Apr 24;19(1):17. doi: 10.1186/s12947-021-00248-z.
9
Left atrial strain - an early marker of left ventricular diastolic dysfunction in patients with hypertension and paroxysmal atrial fibrillation.左心房应变——高血压合并阵发性心房颤动患者左心室舒张功能障碍的早期标志物。
Cardiovasc Ultrasound. 2018 Oct 31;16(1):29. doi: 10.1186/s12947-018-0147-6.
10
Airflow obstruction and left ventricular filling pressure in suspected chronic obstructive pulmonary disease.疑似慢性阻塞性肺疾病患者的气流阻塞与左心室充盈压。
Respir Physiol Neurobiol. 2014 Feb 1;192:85-9. doi: 10.1016/j.resp.2013.12.008. Epub 2013 Dec 19.

本文引用的文献

1
IL-17 upregulates MCP-1 expression via Act1 / TRAF6 / TAK1 in experimental autoimmune myocarditis.在实验性自身免疫性心肌炎中,白细胞介素-17通过Act1 / TRAF6 / TAK1上调单核细胞趋化蛋白-1的表达。
Cytokine. 2022 Apr;152:155823. doi: 10.1016/j.cyto.2022.155823. Epub 2022 Feb 17.
2
Inflammation in Human Heart Failure: Major Mediators and Therapeutic Targets.人类心力衰竭中的炎症:主要介质与治疗靶点
Front Physiol. 2021 Oct 11;12:746494. doi: 10.3389/fphys.2021.746494. eCollection 2021.
3
Prevalence and Extent of Subclinical Atherosclerosis and Associated Cardiovascular Risk Factors in Adult Patients With Psoriatic Arthritis: A Systematic Review.
银屑病关节炎成年患者亚临床动脉粥样硬化的患病率、程度及相关心血管危险因素:一项系统评价
Cureus. 2021 Aug 3;13(8):e16853. doi: 10.7759/cureus.16853. eCollection 2021 Aug.
4
2021 ESC Guidelines for the diagnosis and treatment of acute and chronic heart failure.2021年欧洲心脏病学会急性和慢性心力衰竭诊断与治疗指南。
Eur Heart J. 2021 Sep 21;42(36):3599-3726. doi: 10.1093/eurheartj/ehab368.
5
The Molecular Pathophysiology of Psoriatic Arthritis-The Complex Interplay Between Genetic Predisposition, Epigenetics Factors, and the Microbiome.银屑病关节炎的分子病理生理学——遗传易感性、表观遗传因素与微生物群之间的复杂相互作用
Front Mol Biosci. 2021 Apr 1;8:662047. doi: 10.3389/fmolb.2021.662047. eCollection 2021.
6
The Macrophage-Osteoclast Axis in Osteoimmunity and Osteo-Related Diseases.巨噬细胞-破骨细胞轴在骨免疫和骨相关疾病中的作用
Front Immunol. 2021 Mar 31;12:664871. doi: 10.3389/fimmu.2021.664871. eCollection 2021.
7
Psoriatic arthritis and the association with cardiometabolic disease: a narrative review.银屑病关节炎及其与心脏代谢疾病的关联:一篇叙述性综述。
Ther Adv Musculoskelet Dis. 2021 Mar 2;13:1759720X21998279. doi: 10.1177/1759720X21998279. eCollection 2021.
8
Oxidative Stress and Lipid Mediators Modulate Immune Cell Functions in Autoimmune Diseases.氧化应激和脂质介质调节自身免疫性疾病中的免疫细胞功能。
Int J Mol Sci. 2021 Jan 13;22(2):723. doi: 10.3390/ijms22020723.
9
Feasibility, repeatability, and reproducibility of contemporary diastolic parameters and classification.当代舒张期参数及其分类的可行性、可重复性和可再现性。
Int J Cardiovasc Imaging. 2021 Mar;37(3):931-944. doi: 10.1007/s10554-020-02069-z. Epub 2021 Jan 4.
10
Cardiomyopathy and echocardiographic abnormalities in Indian patients with psoriasis: Results of a pilot study.印度银屑病患者的心肌病和超声心动图异常:一项初步研究的结果。
Int J Clin Pract. 2021 Mar;75(3):e13756. doi: 10.1111/ijcp.13756. Epub 2020 Nov 9.