Suppr超能文献

基于半自动标注和深度学习的小麦小穗自动检测与计数

Automatic Detection and Counting of Wheat Spikelet Using Semi-Automatic Labeling and Deep Learning.

作者信息

Qiu Ruicheng, He Yong, Zhang Man

机构信息

College of Biosystem Engineering and Food Science, Zhejiang University, Hangzhou, China.

Key Laboratory of Spectroscopy Sensing, Ministry of Agriculture and Rural Affairs, Zhejiang University, Hangzhou, China.

出版信息

Front Plant Sci. 2022 May 30;13:872555. doi: 10.3389/fpls.2022.872555. eCollection 2022.

Abstract

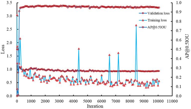
The number of wheat spikelets is an important phenotypic trait and can be used to assess the grain yield of the wheat crop. However, manual counting of spikelets is time-consuming and labor-intensive. To develop a cost-effective and highly efficient phenotyping system for counting the number of spikelets under laboratory conditions, methods based on imaging processing techniques and deep learning were proposed to accurately detect and count spikelets from color images of wheat spikes captured at the grain filling stage. An unsupervised learning-based method was first developed to automatically detect and label spikelets from spike color images and build the datasets for the model training. Based on the constructed datasets, a deep convolutional neural network model was retrained using transfer learning to detect the spikelets. Testing results showed that the root mean squared errors, relative root mean squared errors, and the coefficients of determination between the automatic and manual counted spikelets for four wheat lines were 0.62, 0.58, 0.54, and 0.77; 3.96, 3.73, 3.34, and 4.94%; and 0.73, 0.78, 0.84, and 0.67, respectively. We demonstrated that the proposed methods can effectively estimate the number of wheat spikelets, which improves the counting efficiency of wheat spikelets and contributes to the analysis of the developmental characteristics of wheat spikes.

摘要

小麦小穗数是一项重要的表型性状,可用于评估小麦作物的籽粒产量。然而,人工计数小穗既耗时又费力。为了开发一种在实验室条件下计数小穗数的经济高效的表型分析系统,提出了基于图像处理技术和深度学习的方法,以从灌浆期采集的小麦穗彩色图像中准确检测和计数小穗。首先开发了一种基于无监督学习的方法,用于从穗彩色图像中自动检测和标记小穗,并构建用于模型训练的数据集。基于构建的数据集,使用迁移学习对深度卷积神经网络模型进行重新训练以检测小穗。测试结果表明,四个小麦品系自动计数和人工计数小穗之间的均方根误差、相对均方根误差和决定系数分别为0.62、0.58、0.54和0.77;3.96%、3.73%、3.34%和4.94%;以及0.73、0.78、0.84和0.67。我们证明了所提出的方法可以有效地估计小麦小穗数,提高了小麦小穗的计数效率,并有助于分析小麦穗的发育特征。

https://cdn.ncbi.nlm.nih.gov/pmc/blobs/43e1/9189412/353fc82fdd7f/fpls-13-872555-g0001.jpg

文献检索

告别复杂PubMed语法,用中文像聊天一样搜索,搜遍4000万医学文献。AI智能推荐,让科研检索更轻松。

立即免费搜索

文件翻译

保留排版,准确专业,支持PDF/Word/PPT等文件格式,支持 12+语言互译。

免费翻译文档

深度研究

AI帮你快速写综述,25分钟生成高质量综述,智能提取关键信息,辅助科研写作。

立即免费体验