• 文献检索
  • 文档翻译
  • 深度研究
  • 学术资讯
  • Suppr Zotero 插件Zotero 插件
  • 邀请有礼
  • 套餐&价格
  • 历史记录
应用&插件
Suppr Zotero 插件Zotero 插件浏览器插件Mac 客户端Windows 客户端微信小程序
定价
高级版会员购买积分包购买API积分包
服务
文献检索文档翻译深度研究API 文档MCP 服务
关于我们
关于 Suppr公司介绍联系我们用户协议隐私条款
关注我们

Suppr 超能文献

核心技术专利:CN118964589B侵权必究
粤ICP备2023148730 号-1Suppr @ 2026

文献检索

告别复杂PubMed语法,用中文像聊天一样搜索,搜遍4000万医学文献。AI智能推荐,让科研检索更轻松。

立即免费搜索

文件翻译

保留排版,准确专业,支持PDF/Word/PPT等文件格式,支持 12+语言互译。

免费翻译文档

深度研究

AI帮你快速写综述,25分钟生成高质量综述,智能提取关键信息,辅助科研写作。

立即免费体验

可切除胰腺癌中门静脉循环肿瘤细胞的预后意义

Prognostic Implications of Portal Venous Circulating Tumor Cells in Resectable Pancreatic Cancer.

作者信息

Choi Young Hoon, Hong Tae Ho, Yoon Seung Bae, Lee In Seok, Lee Myung Ah, Choi Ho Joong, Choi Moon Hyung, Jung Eun Sun

机构信息

Department of Internal Medicine, College of Medicine, The Catholic University of Korea, Seoul 06591, Korea.

Department of Surgery, College of Medicine, The Catholic University of Korea, Seoul 06591, Korea.

出版信息

Biomedicines. 2022 May 31;10(6):1289. doi: 10.3390/biomedicines10061289.

DOI:10.3390/biomedicines10061289
PMID:35740311
原文链接:https://pmc.ncbi.nlm.nih.gov/articles/PMC9219704/
Abstract

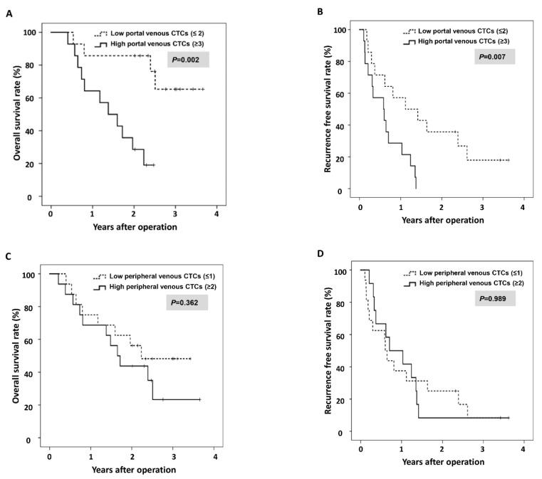
Circulating tumor cells (CTCs) are a promising prognostic biomarker for cancers. However, the paucity of CTCs in peripheral blood in early-stage cancer is a major challenge. Our study aimed to investigate whether portal venous CTCs can be a biomarker for early recurrence and poor prognosis in pancreatic cancer. Patients who underwent upfront curative surgery for resectable pancreatic cancer were consecutively enrolled in this prospective study. Intraoperatively, 7.5 mL of portal and peripheral blood was collected, and CTC detection and identification were performed using immunofluorescence staining. Peripheral blood CTC sampling was performed in 33 patients, of which portal vein CTC sampling was performed in 28. The median portal venous CTCs (2.5, interquartile ranges (IQR) 1−7.75) were significantly higher than the median peripheral venous CTCs (1, IQR 0−2, p < 0.001). Higher stage and regional lymph node metastasis were related with a larger number of CTCs (≥3) in portal venous blood. Patients with low portal venous CTCs (≤2) showed better overall (p = 0.002) and recurrence-free (p = 0.007) survival than those with high portal venous CTCs (≥3). If validated, portal CTCs can be used as a prognostic biomarker in patients with resectable pancreatic cancer.

摘要

循环肿瘤细胞(CTCs)是一种很有前景的癌症预后生物标志物。然而,早期癌症外周血中CTCs数量稀少是一个重大挑战。我们的研究旨在调查门静脉CTCs是否可作为胰腺癌早期复发和预后不良的生物标志物。接受可切除胰腺癌 upfront 根治性手术的患者连续纳入本前瞻性研究。术中采集7.5 mL门静脉血和外周血,采用免疫荧光染色进行CTCs检测和鉴定。33例患者进行了外周血CTCs采样,其中28例进行了门静脉CTCs采样。门静脉CTCs中位数(2.5,四分位数间距(IQR)1 - 7.75)显著高于外周静脉CTCs中位数(1,IQR 0 - 2,p < 0.001)。更高的分期和区域淋巴结转移与门静脉血中更多数量的CTCs(≥3)相关。门静脉CTCs数量低(≤2)的患者比门静脉CTCs数量高(≥3)的患者总体生存率(p = 0.002)和无复发生存率(p = 0.007)更好。如果得到验证,门静脉CTCs可作为可切除胰腺癌患者的预后生物标志物。

https://cdn.ncbi.nlm.nih.gov/pmc/blobs/1778/9219704/8c18305387d2/biomedicines-10-01289-g004.jpg
https://cdn.ncbi.nlm.nih.gov/pmc/blobs/1778/9219704/5a26237b4a5b/biomedicines-10-01289-g001.jpg
https://cdn.ncbi.nlm.nih.gov/pmc/blobs/1778/9219704/83d925fbace1/biomedicines-10-01289-g002.jpg
https://cdn.ncbi.nlm.nih.gov/pmc/blobs/1778/9219704/7454adb1dc01/biomedicines-10-01289-g003.jpg
https://cdn.ncbi.nlm.nih.gov/pmc/blobs/1778/9219704/8c18305387d2/biomedicines-10-01289-g004.jpg
https://cdn.ncbi.nlm.nih.gov/pmc/blobs/1778/9219704/5a26237b4a5b/biomedicines-10-01289-g001.jpg
https://cdn.ncbi.nlm.nih.gov/pmc/blobs/1778/9219704/83d925fbace1/biomedicines-10-01289-g002.jpg
https://cdn.ncbi.nlm.nih.gov/pmc/blobs/1778/9219704/7454adb1dc01/biomedicines-10-01289-g003.jpg
https://cdn.ncbi.nlm.nih.gov/pmc/blobs/1778/9219704/8c18305387d2/biomedicines-10-01289-g004.jpg

相似文献

1
Prognostic Implications of Portal Venous Circulating Tumor Cells in Resectable Pancreatic Cancer.可切除胰腺癌中门静脉循环肿瘤细胞的预后意义
Biomedicines. 2022 May 31;10(6):1289. doi: 10.3390/biomedicines10061289.
2
Detection of Circulating Tumor Cells in Resectable Pancreatic Ductal Adenocarcinoma: A Prospective Evaluation as a Prognostic Marker.可切除胰腺导管腺癌中循环肿瘤细胞的检测:作为预后标志物的前瞻性评估
Front Oncol. 2021 Feb 18;10:616440. doi: 10.3389/fonc.2020.616440. eCollection 2020.
3
Clinical implications and perspectives of portal venous circulating tumor cells in pancreatic cancer.胰腺癌门静脉循环肿瘤细胞的临床意义及前景
World J Gastrointest Oncol. 2023 Apr 15;15(4):632-643. doi: 10.4251/wjgo.v15.i4.632.
4
Acquisition of Portal Venous Circulating Tumor Cells From Patients With Pancreaticobiliary Cancers by Endoscopic Ultrasound.经内镜超声从胰胆管癌患者中获取门静脉循环肿瘤细胞。
Gastroenterology. 2015 Dec;149(7):1794-1803.e4. doi: 10.1053/j.gastro.2015.08.050. Epub 2015 Sep 2.
5
Portal vein-circulating tumor cells predict liver metastases in patients with resectable pancreatic cancer.门静脉循环肿瘤细胞可预测可切除胰腺癌患者的肝转移。
Tumour Biol. 2015 Feb;36(2):991-6. doi: 10.1007/s13277-014-2716-0. Epub 2014 Oct 16.
6
Portal Venous Circulating Tumor Cells Undergoing Epithelial-Mesenchymal Transition Exhibit Distinct Clinical Significance in Pancreatic Ductal Adenocarcinoma.经历上皮-间质转化的门静脉循环肿瘤细胞在胰腺导管腺癌中具有独特的临床意义。
Front Oncol. 2021 Oct 28;11:757307. doi: 10.3389/fonc.2021.757307. eCollection 2021.
7
Endoscopic ultrasound acquired portal venous circulating tumor cells predict progression free survival and overall survival in patients with pancreaticobiliary cancers.内镜超声获取的门静脉循环肿瘤细胞可预测胰胆管癌患者的无进展生存期和总生存期。
Pancreatology. 2020 Dec;20(8):1747-1754. doi: 10.1016/j.pan.2020.10.039. Epub 2020 Oct 11.
8
Endoscopic Ultrasound-Guided Acquisition of Portal Venous Circulating Tumor Cells as a Potential Diagnostic and Prognostic Tool for Pancreatic Cancer.内镜超声引导下获取门静脉循环肿瘤细胞作为胰腺癌潜在的诊断和预后工具
Cancer Manag Res. 2021 Oct 5;13:7649-7661. doi: 10.2147/CMAR.S330473. eCollection 2021.
9
A High Circulating Tumor Cell Count in Portal Vein Predicts Liver Metastasis From Periampullary or Pancreatic Cancer: A High Portal Venous CTC Count Predicts Liver Metastases.门静脉中循环肿瘤细胞计数高预示壶腹周围癌或胰腺癌肝转移:门静脉循环肿瘤细胞计数高预示肝转移。
Medicine (Baltimore). 2016 Apr;95(16):e3407. doi: 10.1097/MD.0000000000003407.
10
Detection of CTCs in portal vein was associated with intrahepatic metastases and prognosis in patients with advanced pancreatic cancer.门静脉中循环肿瘤细胞的检测与晚期胰腺癌患者的肝内转移及预后相关。
J Cancer. 2018 May 22;9(11):2038-2045. doi: 10.7150/jca.23989. eCollection 2018.

引用本文的文献

1
Redefining cancer care: harnessing circulating tumor cells' potential for improved diagnosis and prognosis.重新定义癌症护理:利用循环肿瘤细胞在改善诊断和预后方面的潜力。
Cancer Cell Int. 2025 Jul 17;25(1):267. doi: 10.1186/s12935-025-03883-y.
2
Digoxin promotes anoikis of circulating cancer cells by targeting Na/K-ATPase α3-isoform.地高辛通过靶向钠/钾-ATP酶α3亚型促进循环癌细胞的失巢凋亡。
Cell Death Dis. 2025 May 11;16(1):373. doi: 10.1038/s41419-025-07703-z.
3
Portal venous circulating tumor cells as a biomarker for relapse prediction in resected pancreatic cancer.

本文引用的文献

1
Cancer statistics, 2022.癌症统计数据,2022 年。
CA Cancer J Clin. 2022 Jan;72(1):7-33. doi: 10.3322/caac.21708. Epub 2022 Jan 12.
2
Circulating tumor cells: biology and clinical significance.循环肿瘤细胞:生物学和临床意义。
Signal Transduct Target Ther. 2021 Nov 22;6(1):404. doi: 10.1038/s41392-021-00817-8.
3
Portal Venous Circulating Tumor Cells Undergoing Epithelial-Mesenchymal Transition Exhibit Distinct Clinical Significance in Pancreatic Ductal Adenocarcinoma.经历上皮-间质转化的门静脉循环肿瘤细胞在胰腺导管腺癌中具有独特的临床意义。
门静脉循环肿瘤细胞作为切除胰腺癌复发预测的生物标志物。
Cell Mol Life Sci. 2025 Apr 10;82(1):155. doi: 10.1007/s00018-025-05669-x.
4
Clinical Implications of Circulating Tumor Cells in Patients with Esophageal Squamous Cell Carcinoma: Cancer-Draining Blood Versus Peripheral Blood.食管鳞状细胞癌患者循环肿瘤细胞的临床意义:引流癌组织血液与外周血的比较
Cancers (Basel). 2024 Aug 22;16(16):2921. doi: 10.3390/cancers16162921.
5
Liquid biopsy techniques and lung cancer: diagnosis, monitoring and evaluation.液体活检技术与肺癌:诊断、监测与评估。
J Exp Clin Cancer Res. 2024 Apr 1;43(1):96. doi: 10.1186/s13046-024-03026-7.
6
Cancer-related cells and oncosomes in the liquid biopsy of pancreatic cancer patients undergoing surgery.接受手术的胰腺癌患者液体活检中的癌症相关细胞和肿瘤小体。
NPJ Precis Oncol. 2024 Feb 15;8(1):36. doi: 10.1038/s41698-024-00521-0.
7
Clinical implications and perspectives of portal venous circulating tumor cells in pancreatic cancer.胰腺癌门静脉循环肿瘤细胞的临床意义及前景
World J Gastrointest Oncol. 2023 Apr 15;15(4):632-643. doi: 10.4251/wjgo.v15.i4.632.
8
Successful resection of port site recurrence of pancreatic ductal adenocarcinoma after laparoscopic distal pancreatectomy.腹腔镜远端胰腺切除术后胰腺导管腺癌切口复发的成功切除
Surg Case Rep. 2023 Mar 3;9(1):35. doi: 10.1186/s40792-023-01607-w.
9
Circulating Tumor Cells as a Predictive Biomarker in Resectable Lung Cancer: A Systematic Review and Meta-Analysis.循环肿瘤细胞作为可切除肺癌的预测生物标志物:一项系统评价和荟萃分析。
Cancers (Basel). 2022 Dec 12;14(24):6112. doi: 10.3390/cancers14246112.
Front Oncol. 2021 Oct 28;11:757307. doi: 10.3389/fonc.2021.757307. eCollection 2021.
4
Endoscopic Ultrasound-Guided Acquisition of Portal Venous Circulating Tumor Cells as a Potential Diagnostic and Prognostic Tool for Pancreatic Cancer.内镜超声引导下获取门静脉循环肿瘤细胞作为胰腺癌潜在的诊断和预后工具
Cancer Manag Res. 2021 Oct 5;13:7649-7661. doi: 10.2147/CMAR.S330473. eCollection 2021.
5
Detection of Circulating Tumor Cells in Resectable Pancreatic Ductal Adenocarcinoma: A Prospective Evaluation as a Prognostic Marker.可切除胰腺导管腺癌中循环肿瘤细胞的检测:作为预后标志物的前瞻性评估
Front Oncol. 2021 Feb 18;10:616440. doi: 10.3389/fonc.2020.616440. eCollection 2020.
6
A Review of Circulating Tumour Cell Enrichment Technologies.循环肿瘤细胞富集技术综述
Cancers (Basel). 2021 Feb 26;13(5):970. doi: 10.3390/cancers13050970.
7
Efficacy of Perioperative Chemotherapy for Resectable Pancreatic Adenocarcinoma: A Phase 2 Randomized Clinical Trial.可切除胰腺腺癌围手术期化疗的疗效:一项 2 期随机临床试验。
JAMA Oncol. 2021 Mar 1;7(3):421-427. doi: 10.1001/jamaoncol.2020.7328.
8
Analysis of the serial circulating tumor cell count during neoadjuvant chemotherapy in breast cancer patients.分析乳腺癌患者新辅助化疗期间循环肿瘤细胞计数的变化。
Sci Rep. 2020 Oct 15;10(1):17466. doi: 10.1038/s41598-020-74577-w.
9
Preoperative Chemoradiotherapy Versus Immediate Surgery for Resectable and Borderline Resectable Pancreatic Cancer: Results of the Dutch Randomized Phase III PREOPANC Trial.可切除及临界可切除胰腺癌的术前放化疗与直接手术对比:荷兰随机III期PREOPANC试验结果
J Clin Oncol. 2020 Jun 1;38(16):1763-1773. doi: 10.1200/JCO.19.02274. Epub 2020 Feb 27.
10
EUS-Guided Portal Venous Sampling of Circulating Tumor Cells.超声内镜引导下门静脉循环肿瘤细胞采样
Curr Gastroenterol Rep. 2019 Dec 7;21(12):68. doi: 10.1007/s11894-019-0733-2.