Suppr超能文献

新西兰斯图尔特岛黄眼企鹅/怀霍繁殖时特定地点的一致觅食行为

Consistent Site-Specific Foraging Behaviours of Yellow-eyed Penguins/Hoiho Breeding on Stewart Island, New Zealand.

作者信息

Elley Thor, Mattern Thomas, Ellenberg Ursula, Young Melanie J, Hickcox Rachel P, van Heezik Yolanda, Seddon Philip J

机构信息

Department of Zoology, University of Otago, Dunedin 9016, New Zealand.

Global Penguin Society, Puerto Madryn 9120, Argentina.

出版信息

Biology (Basel). 2022 May 31;11(6):844. doi: 10.3390/biology11060844.

Abstract

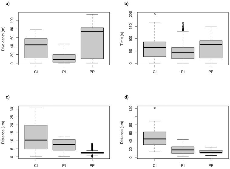
The endangered yellow-eyed penguin/hoiho () predominantly forages benthically within its mainland range and shows high foraging site fidelity. Identifying consistencies in foraging locations can allow effective conservation, especially when managing bycatch risk. This study investigated the at-sea distribution of penguins breeding on Stewart Island to explore site-specific foraging strategies and inform fisheries management. During the 2020/21 season, 19 adult breeding yellow-eyed penguins from Port Pegasus, Paterson Inlet, and Codfish Island were fitted with GPS-TDR dive loggers to track their movements and diving behaviours. A total of 25,696 dives were recorded across 91 foraging trips. Birds from Port Pegasus reached significantly greater depths, spent longer at the seafloor, and performed longer dives. They also had the smallest foraging distribution, with most activity concentrated inshore. Compared to Port Pegasus, foraging radii and trip lengths were twice as large for Paterson Inlet and four times larger at Codfish Island. Despite differences in available foraging habitat, considerable individual and intra-site consistency for preferred foraging locations was observed. Localised behaviour and inter-site differences in dive metrics suggest significant plasticity in foraging ecology across their mainland range; however, individual behaviour and preferred foraging locations were extremely predictable. Thus, risk of mortality from fisheries can be quantified and managed accordingly.

摘要

濒危的黄眼企鹅(/hoiho)在其大陆分布范围内主要在海底觅食,并表现出较高的觅食地点忠诚度。确定觅食地点的一致性有助于进行有效的保护,尤其是在管理兼捕风险时。本研究调查了在斯图尔特岛繁殖的企鹅的海上分布情况,以探索特定地点的觅食策略,并为渔业管理提供信息。在2020/21季节,为来自飞马港、帕特森湾和鳕鱼岛的19只成年繁殖黄眼企鹅佩戴了GPS-TDR潜水记录器,以追踪它们的活动和潜水行为。在91次觅食行程中总共记录了25696次潜水。来自飞马港的企鹅潜水深度明显更深,在海底停留的时间更长,潜水时间也更长。它们的觅食分布范围也最小,大多数活动集中在近岸区域。与飞马港相比,帕特森湾的觅食半径和行程长度是其两倍,鳕鱼岛则是其四倍。尽管可用的觅食栖息地存在差异,但在首选觅食地点观察到了相当大的个体和地点内一致性。潜水指标的局部行为和地点间差异表明,它们在整个大陆分布范围内的觅食生态具有显著的可塑性;然而,个体行为和首选觅食地点是非常可预测的。因此,可以相应地量化和管理渔业造成的死亡风险。

https://cdn.ncbi.nlm.nih.gov/pmc/blobs/a9ca/9220341/f7d79583a95f/biology-11-00844-g001.jpg

文献AI研究员

20分钟写一篇综述,助力文献阅读效率提升50倍。

立即体验

用中文搜PubMed

大模型驱动的PubMed中文搜索引擎

马上搜索

文档翻译

学术文献翻译模型,支持多种主流文档格式。

立即体验