Suppr超能文献

如何影响糖化产物水平的老年患者及其合并症和治疗。

How Diabetes and Other Comorbidities of Elderly Patients and Their Treatment Influence Levels of Glycation Products.

机构信息

Department of Medical Biochemistry, Wroclaw Medical University, 50-368 Wroclaw, Poland.

Clinical Department of Geriatrics, Wroclaw Medical University, 50-369 Wroclaw, Poland.

出版信息

Int J Environ Res Public Health. 2022 Jun 20;19(12):7524. doi: 10.3390/ijerph19127524.

Abstract

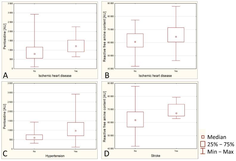
Medical care for geriatric patients is a great challenge, mainly due to various overlapping deficits relevant to numerous coexisting diseases, of which the most common are diabetes mellitus and atherosclerosis. In the case of diabetes, the glycation process is intensified, which accelerates atherosclerosis development and diabetic complications. Our goal was to investigate the relationship between the classical biochemical parameters of diabetes and atherosclerosis, as well as parameters which may indicate a nephropathy, and the parameters strictly related to glycation, taking into account the pharmacological treatment of patients. Methods: We analyzed the patients' serum concentrations of fluorescent glycation product-pentosidine, concentrations of soluble receptors for advanced glycation products (sRAGE), lipoprotein receptor-1 (LOX-1), galectin 3 (GAL3), scavenger receptor class A (SR-A), and scavenger receptor class B (SR-BI), as well as the level of lipid peroxidation and free amine content. Among the identified correlations, the most interesting are the following: sRAGE with triglycerides (r = 0.47, = 0.009), sRAGE with SR-BI (r = 0.47, = 0.013), SR-BI with LOX-1 (r = 0.31, = 0.013), and SR-BI with HDL (r = -0.30, = 0.02). It has been shown that pentosidine and reactive free amine contents are significantly higher in elderly patients with ischemic heart disease. Pentosidine is also significantly higher in patients with arterial hypertension. Malondialdehyde turned out to be higher in patients with diabetes mellitus type 2 that was not treated with insulin or metformin than in those treated with both medications ( = 0.052). GAL3 was found to be lower both in persons without diabetes and in diabetics treated with metformin ( = 0.005). LOX-1 was higher in diabetic patients not treated with metformin or insulin, and lowest in diabetics treated with both insulin and metformin, with the effect of metformin reducing LOX-1 levels ( = 0.039). Our results were the basis for a discussion about the diagnostic value in the clinical practice of LOX-1 and GAL3 in geriatric patients with diabetes and also provide grounds for inferring the therapeutic benefits of insulin and metformin treatment.

摘要

老年患者的医疗护理是一项巨大的挑战,主要是由于与多种并存疾病相关的各种重叠缺陷所致,其中最常见的是糖尿病和动脉粥样硬化。在糖尿病的情况下,糖化过程加剧,加速了动脉粥样硬化的发展和糖尿病并发症的发生。我们的目标是研究糖尿病和动脉粥样硬化的经典生化参数之间的关系,以及可能表明肾病的参数与严格与糖化相关的参数,同时考虑到患者的药物治疗。

方法

我们分析了患者血清中荧光糖化产物戊糖啶、晚期糖基化产物可溶性受体(sRAGE)、脂蛋白受体-1(LOX-1)、半乳糖凝集素 3(GAL3)、清道夫受体 A 类(SR-A)和清道夫受体 B 类(SR-BI)的浓度,以及脂质过氧化和游离胺含量。在确定的相关性中,最有趣的是以下相关性:sRAGE 与甘油三酯(r = 0.47, = 0.009),sRAGE 与 SR-BI(r = 0.47, = 0.013),SR-BI 与 LOX-1(r = 0.31, = 0.013)和 SR-BI 与 HDL(r = -0.30, = 0.02)。研究表明,缺血性心脏病老年患者的戊糖啶和反应性游离胺含量显著更高。动脉高血压患者的戊糖啶含量也明显更高。丙二醛在未接受胰岛素或二甲双胍治疗的 2 型糖尿病患者中明显升高,而在同时接受两种药物治疗的患者中则较低( = 0.052)。在未患糖尿病的患者和接受二甲双胍治疗的糖尿病患者中,GAL3 较低( = 0.005)。未接受二甲双胍或胰岛素治疗的糖尿病患者 LOX-1 较高,同时接受胰岛素和二甲双胍治疗的糖尿病患者 LOX-1 最低,二甲双胍降低 LOX-1 水平( = 0.039)。我们的结果为讨论 LOX-1 和 GAL3 在老年糖尿病患者中的临床实践中的诊断价值提供了依据,并为推断胰岛素和二甲双胍治疗的治疗益处提供了依据。

https://cdn.ncbi.nlm.nih.gov/pmc/blobs/c82d/9223786/5111ba845263/ijerph-19-07524-g001.jpg

文献AI研究员

20分钟写一篇综述,助力文献阅读效率提升50倍。

立即体验

用中文搜PubMed

大模型驱动的PubMed中文搜索引擎

马上搜索

文档翻译

学术文献翻译模型,支持多种主流文档格式。

立即体验