Suppr超能文献

用于提高密集WLAN中下行链路空间复用的干扰感知两级差分传输

Interference-Aware Two-Level Differentiated Transmission for Improving Downlink Spatial Reuse in Dense WLANs.

作者信息

Kwon Lam, Park Eun-Chan

机构信息

Department of Information and Communication Engineering, Dongguk University, Seoul 04620, Korea.

出版信息

Sensors (Basel). 2022 Jun 11;22(12):4429. doi: 10.3390/s22124429.

Abstract

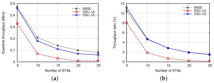
In this study, we address the problem of downlink throughput degradation in dense wireless local area networks (WLANs) based on the IEEE 802.11ax standard. We demonstrate that this problem essentially results from the asymmetric characteristic of carrier sense multiple access between downlink and uplink transmissions in infrastructure WLANs, and it is exacerbated by a dynamic sensitivity control algorithm that aims to improve spatial reuse (SR) in IEEE 802.11ax. To solve this problem, we propose the mechanism consisting of the (DCA) and (SPC) schemes. The proposed mechanism introduces a new measure called a spatial reusability indicator, which roughly estimates the signal-to-interference ratio from the received signal strength of beacon frames. Based on this measure, stations (STAs) are classified into the following two categories: (SR-STAs) and (NSR-STAs). Because SR-STAs are more robust to interference than NSR-STAs, the DCA scheme prioritizes transmissions to SR-STAs over those to NSR-STAs by using differentiated carrier sensing thresholds. Moreover, the SPC scheme selectively increases the transmission power to NSR-STAs to compensate for transmission failure due to interference. By combining the SPC and DCA schemes, the proposed mechanism effectively differentiates the downlink transmissions to SR-STAs and NSR-STAs in terms of channel access and transmission power, and it can boost the possibility of successful SR. The proposed mechanism can be easily implemented in IEEE 802.11ax without any complex calculation or significant signaling overhead. Moreover, we provide a practical guideline to determine appropriate parameter values for use in the proposed mechanism. The extensive simulation results obtained in this study confirm that the proposed mechanism increases the downlink throughput by more than several times without decreasing the overall throughput, compared to the existing mechanisms, and it maintains fairness between SR-STAs and NSR-STAs in terms of the ratio of successful transmission.

摘要

在本研究中,我们解决了基于IEEE 802.11ax标准的密集无线局域网(WLAN)中下行链路吞吐量下降的问题。我们证明,该问题主要源于基础设施WLAN中下行链路和上行链路传输之间载波侦听多路访问的不对称特性,并且旨在提高IEEE 802.11ax中空间复用(SR)的动态灵敏度控制算法会加剧这一问题。为了解决这个问题,我们提出了一种由动态信道接入(DCA)和选择性功率控制(SPC)方案组成的机制。所提出的机制引入了一种称为空间可复用性指标的新度量,该指标根据信标帧的接收信号强度大致估计信号与干扰比。基于此度量,站点(STA)被分为以下两类:空间可复用站点(SR-STA)和非空间可复用站点(NSR-STA)。由于SR-STA比NSR-STA对干扰更具鲁棒性,DCA方案通过使用不同的载波侦听阈值,优先向SR-STA传输数据,而不是向NSR-STA传输。此外,SPC方案选择性地增加向NSR-STA的传输功率,以补偿由于干扰导致的传输失败。通过结合SPC和DCA方案,所提出的机制在信道接入和传输功率方面有效地区分了向SR-STA和NSR-STA的下行链路传输,并且可以提高成功进行空间复用的可能性。所提出的机制可以在IEEE 802.11ax中轻松实现,无需任何复杂计算或大量信令开销。此外,我们提供了一个实用指南,以确定在所提出的机制中使用的适当参数值。与现有机制相比,本研究中获得广泛的仿真结果证实,所提出的机制在不降低整体吞吐量的情况下将下行链路吞吐量提高了数倍以上,并且在成功传输比率方面保持了SR-STA和NSR-STA之间的公平性。

https://cdn.ncbi.nlm.nih.gov/pmc/blobs/ea39/9231171/947d517b319c/sensors-22-04429-g001.jpg

文献检索

告别复杂PubMed语法,用中文像聊天一样搜索,搜遍4000万医学文献。AI智能推荐,让科研检索更轻松。

立即免费搜索

文件翻译

保留排版,准确专业,支持PDF/Word/PPT等文件格式,支持 12+语言互译。

免费翻译文档

深度研究

AI帮你快速写综述,25分钟生成高质量综述,智能提取关键信息,辅助科研写作。

立即免费体验