• 文献检索
  • 文档翻译
  • 深度研究
  • 学术资讯
  • Suppr Zotero 插件Zotero 插件
  • 邀请有礼
  • 套餐&价格
  • 历史记录
应用&插件
Suppr Zotero 插件Zotero 插件浏览器插件Mac 客户端Windows 客户端微信小程序
定价
高级版会员购买积分包购买API积分包
服务
文献检索文档翻译深度研究API 文档MCP 服务
关于我们
关于 Suppr公司介绍联系我们用户协议隐私条款
关注我们

Suppr 超能文献

核心技术专利:CN118964589B侵权必究
粤ICP备2023148730 号-1Suppr @ 2026

文献检索

告别复杂PubMed语法,用中文像聊天一样搜索,搜遍4000万医学文献。AI智能推荐,让科研检索更轻松。

立即免费搜索

文件翻译

保留排版,准确专业,支持PDF/Word/PPT等文件格式,支持 12+语言互译。

免费翻译文档

深度研究

AI帮你快速写综述,25分钟生成高质量综述,智能提取关键信息,辅助科研写作。

立即免费体验

非对比增强 MRI 影像组学联合临床生物标志物在肝纤维化分层中的应用价值。

Usefulness of Noncontrast MRI-Based Radiomics Combined Clinic Biomarkers in Stratification of Liver Fibrosis.

机构信息

Department of Radiology, The Second Affiliated Hospital of Anhui Medical University, 678 Furong Road, Hefei 230601, Anhui, China.

GE Healthcare China, Pudong New Town, No. 1, Huatuo Road, Shanghai 210000, China.

出版信息

Can J Gastroenterol Hepatol. 2022 Jun 21;2022:2249447. doi: 10.1155/2022/2249447. eCollection 2022.

DOI:10.1155/2022/2249447
PMID:35775068
原文链接:https://pmc.ncbi.nlm.nih.gov/articles/PMC9239804/
Abstract

PURPOSE

To develop and validate a radiomic nomogram based on texture features from out-of-phase T1W images and clinical biomarkers in prediction of liver fibrosis.

MATERIALS AND METHODS

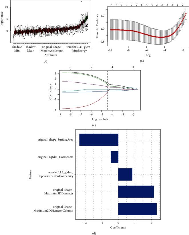
Patients clinically diagnosed with chronic liver fibrosis who underwent liver biopsy and noncontrast MRI were enrolled. All patients were assigned to the nonsignificant fibrosis group with fibrosis stage <2 and the significant fibrosis group with stage ≥2. Texture parameters were extracted from out-of-phase T1-weighted (T1W) images and calculated using the Artificial Intelligent Kit (AK). Boruta and LASSO regressions were used for feature selection and a multivariable logistic regression was used for construction of a combinational model integrating radiomics and clinical biomarkers. The performance of the models was assessed by using the receiver operator curve (ROC) and decision curve.

RESULTS

ROC analysis of the radiomics model that included the most discriminative features showed AUCs of the training and test groups were 0.80 and 0.78. A combinational model integrating RADscore and fibrosis 4 index was established. ROC analysis of the training and test groups showed good to excellent performance with AUC of 0.93 and 0.86. Decision curves showed the combinational model added more net benefit than radiomic and clinical models alone.

CONCLUSIONS

The study presents a combinational model that incorporates RADscore and clinical biomarkers, which is promising in classification of liver fibrosis.

摘要

目的

基于反相位 T1W 图像的纹理特征和临床生物标志物,开发并验证一种列线图模型,用于预测肝纤维化。

材料与方法

本研究纳入了经临床诊断为慢性肝纤维化并接受肝活检和非对比 MRI 检查的患者。所有患者被分为纤维化分期<2 期的无显著纤维化组和纤维化分期≥2 期的显著纤维化组。从反相位 T1 加权(T1W)图像中提取纹理参数,并使用人工智能工具包(AK)进行计算。Boruta 和 LASSO 回归用于特征选择,多变量逻辑回归用于构建整合放射组学和临床生物标志物的组合模型。使用受试者工作特征曲线(ROC)和决策曲线评估模型的性能。

结果

包含最具鉴别力特征的放射组学模型的 ROC 分析显示,训练组和测试组的 AUC 分别为 0.80 和 0.78。建立了一个整合 RADscore 和纤维化 4 指数的组合模型。训练组和测试组的 ROC 分析显示出良好到优异的性能,AUC 分别为 0.93 和 0.86。决策曲线显示,与单独的放射组学和临床模型相比,组合模型增加了更多的净收益。

结论

本研究提出了一种整合 RADscore 和临床生物标志物的组合模型,有望用于肝纤维化的分类。

https://cdn.ncbi.nlm.nih.gov/pmc/blobs/1af3/9239804/b83f3292a1e8/CJGH2022-2249447.005.jpg
https://cdn.ncbi.nlm.nih.gov/pmc/blobs/1af3/9239804/65cf44a4d417/CJGH2022-2249447.001.jpg
https://cdn.ncbi.nlm.nih.gov/pmc/blobs/1af3/9239804/c003c8ed9a77/CJGH2022-2249447.002.jpg
https://cdn.ncbi.nlm.nih.gov/pmc/blobs/1af3/9239804/7128c6640164/CJGH2022-2249447.003.jpg
https://cdn.ncbi.nlm.nih.gov/pmc/blobs/1af3/9239804/0531025a26a1/CJGH2022-2249447.004.jpg
https://cdn.ncbi.nlm.nih.gov/pmc/blobs/1af3/9239804/b83f3292a1e8/CJGH2022-2249447.005.jpg
https://cdn.ncbi.nlm.nih.gov/pmc/blobs/1af3/9239804/65cf44a4d417/CJGH2022-2249447.001.jpg
https://cdn.ncbi.nlm.nih.gov/pmc/blobs/1af3/9239804/c003c8ed9a77/CJGH2022-2249447.002.jpg
https://cdn.ncbi.nlm.nih.gov/pmc/blobs/1af3/9239804/7128c6640164/CJGH2022-2249447.003.jpg
https://cdn.ncbi.nlm.nih.gov/pmc/blobs/1af3/9239804/0531025a26a1/CJGH2022-2249447.004.jpg
https://cdn.ncbi.nlm.nih.gov/pmc/blobs/1af3/9239804/b83f3292a1e8/CJGH2022-2249447.005.jpg

相似文献

1
Usefulness of Noncontrast MRI-Based Radiomics Combined Clinic Biomarkers in Stratification of Liver Fibrosis.非对比增强 MRI 影像组学联合临床生物标志物在肝纤维化分层中的应用价值。
Can J Gastroenterol Hepatol. 2022 Jun 21;2022:2249447. doi: 10.1155/2022/2249447. eCollection 2022.
2
Use of Texture Analysis on Noncontrast MRI in Classification of Early Stage of Liver Fibrosis.纹理分析在非对比 MRI 早期肝纤维化分类中的应用。
Can J Gastroenterol Hepatol. 2021 Mar 18;2021:6677821. doi: 10.1155/2021/6677821. eCollection 2021.
3
Radiomics nomograms based on R2* mapping and clinical biomarkers for staging of liver fibrosis in patients with chronic hepatitis B: a single-center retrospective study.基于 R2* 映射和临床生物标志物的放射组学列线图用于慢性乙型肝炎患者肝纤维化分期的单中心回顾性研究。
Eur Radiol. 2023 Mar;33(3):1653-1667. doi: 10.1007/s00330-022-09137-z. Epub 2022 Sep 23.
4
Development of an MRI-Based Radiomics-Clinical Model to Diagnose Liver Fibrosis Secondary to Pancreaticobiliary Maljunction in Children.基于 MRI 的放射组学-临床模型的建立,用于诊断儿童胰胆管合流异常相关肝纤维化。
J Magn Reson Imaging. 2023 Aug;58(2):605-617. doi: 10.1002/jmri.28586. Epub 2022 Dec 30.
5
[Prediction of platinum-based chemotherapy sensitivity for epithelial ovarian cancer by multi-sequence MRI-based radiomic nomogram].基于多序列MRI的影像组学列线图预测上皮性卵巢癌铂类化疗敏感性
Zhonghua Yi Xue Za Zhi. 2022 Jan 18;102(3):201-208. doi: 10.3760/cma.j.cn112137-20210816-01844.
6
Radiomics model based on preoperative gadoxetic acid-enhanced MRI for predicting liver failure.基于术前钆塞酸增强 MRI 的放射组学模型预测肝衰竭。
World J Gastroenterol. 2020 Mar 21;26(11):1208-1220. doi: 10.3748/wjg.v26.i11.1208.
7
Performance of a generative adversarial network using ultrasound images to stage liver fibrosis and predict cirrhosis based on a deep-learning radiomics nomogram.基于深度学习放射组学列线图的使用超声图像分期肝纤维化和预测肝硬化的生成对抗网络的性能。
Clin Radiol. 2022 Oct;77(10):e723-e731. doi: 10.1016/j.crad.2022.06.003. Epub 2022 Jul 8.
8
A Combination Model of Radiomics Features and Clinical Biomarkers as a Nomogram to Differentiate Nonadvanced From Advanced Liver Fibrosis: A Retrospective Study.基于放射组学特征与临床生物标志物的联合模型构建列线图以鉴别非进展性与进展性肝纤维化:一项回顾性研究。
Acad Radiol. 2021 Nov;28 Suppl 1:S45-S54. doi: 10.1016/j.acra.2020.08.029. Epub 2021 May 19.
9
A radiomics-based biomarker for cytokeratin 19 status of hepatocellular carcinoma with gadoxetic acid-enhanced MRI.基于影像组学的钆塞酸增强 MRI 肝细胞癌细胞角蛋白 19 状态的生物标志物
Eur Radiol. 2020 May;30(5):3004-3014. doi: 10.1007/s00330-019-06585-y. Epub 2020 Jan 30.
10
A Radiomics nomogram for predicting bone metastasis in newly diagnosed prostate cancer patients.用于预测初诊前列腺癌患者骨转移的放射组学列线图
Eur J Radiol. 2020 Jul;128:109020. doi: 10.1016/j.ejrad.2020.109020. Epub 2020 Apr 19.

引用本文的文献

1
Role of radiomics in staging liver fibrosis: a meta-analysis.基于放射组学的肝纤维化分期:荟萃分析。
BMC Med Imaging. 2024 Apr 12;24(1):87. doi: 10.1186/s12880-024-01272-x.

本文引用的文献

1
Liver biopsy in the real world-reporting, expert concordance and correlation with a pragmatic clinical diagnosis.真实世界中的肝活检——报告、专家一致性与实用临床诊断的相关性。
Aliment Pharmacol Ther. 2021 Dec;54(11-12):1472-1480. doi: 10.1111/apt.16674. Epub 2021 Oct 25.
2
A Combination Model of Radiomics Features and Clinical Biomarkers as a Nomogram to Differentiate Nonadvanced From Advanced Liver Fibrosis: A Retrospective Study.基于放射组学特征与临床生物标志物的联合模型构建列线图以鉴别非进展性与进展性肝纤维化:一项回顾性研究。
Acad Radiol. 2021 Nov;28 Suppl 1:S45-S54. doi: 10.1016/j.acra.2020.08.029. Epub 2021 May 19.
3
Use of Texture Analysis on Noncontrast MRI in Classification of Early Stage of Liver Fibrosis.
纹理分析在非对比 MRI 早期肝纤维化分类中的应用。
Can J Gastroenterol Hepatol. 2021 Mar 18;2021:6677821. doi: 10.1155/2021/6677821. eCollection 2021.
4
Three-dimensional CT texture analysis of anatomic liver segments can differentiate between low-grade and high-grade fibrosis.三维 CT 纹理分析解剖肝段可区分低级别和高级别纤维化。
BMC Med Imaging. 2020 Sep 21;20(1):108. doi: 10.1186/s12880-020-00508-w.
5
Diagnostic accuracy of texture analysis and machine learning for quantification of liver fibrosis in MRI: correlation with MR elastography and histopathology.纹理分析和机器学习在 MRI 定量诊断肝纤维化中的准确性:与磁共振弹性成像和组织病理学的相关性。
Eur Radiol. 2020 Aug;30(8):4675-4685. doi: 10.1007/s00330-020-06831-8. Epub 2020 Apr 8.
6
Comparing point shear wave elastography (ElastPQ) and transient elastography for diagnosis of fibrosis stage in non-alcoholic fatty liver disease.比较点剪切波弹性成像(ElastPQ)和瞬时弹性成像在非酒精性脂肪性肝病纤维化分期诊断中的应用。
J Gastroenterol Hepatol. 2020 Jan;35(1):135-141. doi: 10.1111/jgh.14782. Epub 2019 Jul 29.
7
Machine Learning Prediction of Liver Stiffness Using Clinical and T2-Weighted MRI Radiomic Data.利用临床和 T2 加权 MRI 放射组学数据进行肝硬度的机器学习预测。
AJR Am J Roentgenol. 2019 Sep;213(3):592-601. doi: 10.2214/AJR.19.21082. Epub 2019 May 23.
8
Value of Texture Analysis on Gadoxetic Acid-enhanced MR for Detecting Liver Fibrosis in a Rat Model.钆塞酸增强磁共振成像纹理分析在大鼠肝纤维化模型中检测肝纤维化的价值
Chin Med Sci J. 2019 Mar 30;34(1):24-32. doi: 10.24920/003562.
9
Diagnostic value of MR-based texture analysis for the assessment of hepatic fibrosis in patients with nonalcoholic fatty liver disease (NAFLD).基于磁共振的纹理分析对非酒精性脂肪性肝病(NAFLD)患者肝纤维化评估的诊断价值。
Abdom Radiol (NY). 2019 May;44(5):1816-1824. doi: 10.1007/s00261-019-01931-6.
10
Radiomics Analysis of Gadoxetic Acid-enhanced MRI for Staging Liver Fibrosis.钆塞酸增强 MRI 影像学组学分析用于肝纤维化分期。
Radiology. 2019 Feb;290(2):380-387. doi: 10.1148/radiol.2018181197. Epub 2018 Dec 4.