• 文献检索
  • 文档翻译
  • 深度研究
  • 学术资讯
  • Suppr Zotero 插件Zotero 插件
  • 邀请有礼
  • 套餐&价格
  • 历史记录
应用&插件
Suppr Zotero 插件Zotero 插件浏览器插件Mac 客户端Windows 客户端微信小程序
定价
高级版会员购买积分包购买API积分包
服务
文献检索文档翻译深度研究API 文档MCP 服务
关于我们
关于 Suppr公司介绍联系我们用户协议隐私条款
关注我们

Suppr 超能文献

核心技术专利:CN118964589B侵权必究
粤ICP备2023148730 号-1Suppr @ 2026

文献检索

告别复杂PubMed语法,用中文像聊天一样搜索,搜遍4000万医学文献。AI智能推荐,让科研检索更轻松。

立即免费搜索

文件翻译

保留排版,准确专业,支持PDF/Word/PPT等文件格式,支持 12+语言互译。

免费翻译文档

深度研究

AI帮你快速写综述,25分钟生成高质量综述,智能提取关键信息,辅助科研写作。

立即免费体验

工业生产方式对新鲜真空包装羊腿微生物及品质特性的影响

Impact of Industrial Practices on the Microbial and Quality Attributes of Fresh Vacuum-Packed Lamb Joints.

作者信息

de Alba María, Burgess Catherine M, Pollard Katie, Perussello Camila, Frías-Celayeta Jesús M, Walsh Des, Carroll Joan, Crofton Emily, Griffin Carol, Botinestean Cristina, Duffy Geraldine

机构信息

Food Safety Department, Teagasc Food Research Centre, Ashtown, D15 KN3K Dublin, Ireland.

Environmental Sustainability and Health Institute, Technological University Dublin, City Campus, D07 H6K8 Dublin, Ireland.

出版信息

Foods. 2022 Jun 23;11(13):1850. doi: 10.3390/foods11131850.

DOI:10.3390/foods11131850
PMID:35804666
原文链接:https://pmc.ncbi.nlm.nih.gov/articles/PMC9266051/
Abstract

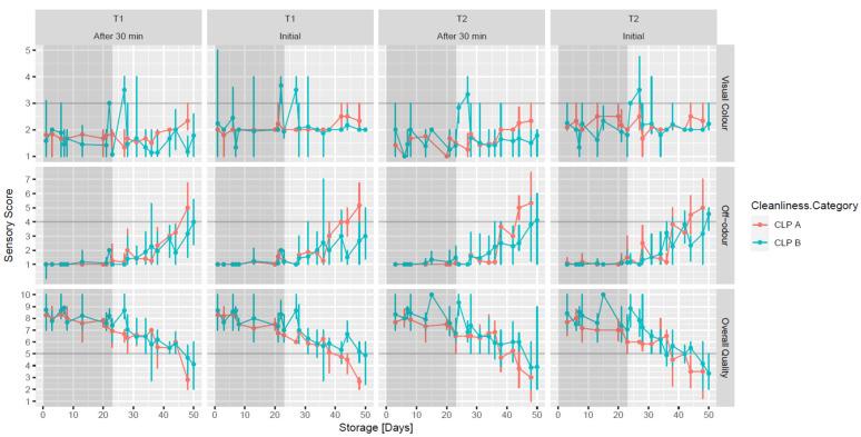
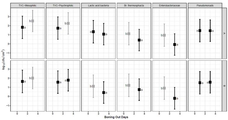
The impact of different industrial practices at lamb export abattoirs in Ireland on the microbial and quality attributes of fresh vacuum-packed (VP) lamb leg joints, including Clean Livestock Policy (CLP), fleece clipping, carcass chilling times and vacuum pack storage, at typical chill and retail display temperatures was investigated. Five separate slaughter batches of lamb (ranging in size from 38 to 60 lambs) were followed at two lamb export plants over a two-year period, accounting for seasonal variation. In general, fleece clipping resulted in significantly lower microbial contamination on the fleece than the use of CLP alone. Lamb from carcasses chilled for 24 h had significantly lower psychrophilic total viable counts and and pseudomonad counts than carcasses chilled for 72 h. Following vacuum-packed (VP) storage of meat from these carcasses at 1.7 ± 1.6 °C for 23 days in the meat plant followed by retail display at 3.9 ± 1.7 °C (up to day 50), the dominant microorganisms were lactic acid bacteria, , Enterobacteriaceae and pseudomonads, and all had reached maximum population density by storage day 34. Aligned with this, after day 34, the quality of the raw meat samples also continued to deteriorate, with off-odours and colour changes developing. While the mean values for cooked meat eating quality attributes did not change significantly over the VP storage period, high variability in many attributes, including off-flavours and off-odours, were noted for lamb meat from all storage times, highlighting inconsistences in lamb quality within and between slaughter batches.

摘要

研究了爱尔兰羔羊出口屠宰场不同工业操作对新鲜真空包装(VP)羊腿关节微生物和质量属性的影响,包括清洁牲畜政策(CLP)、剪毛、胴体冷却时间和真空包装储存,以及在典型的冷却和零售展示温度下的情况。在两年时间里,对两家羔羊出口工厂的五个单独屠宰批次的羔羊(数量从38只到60只不等)进行跟踪,以考虑季节变化。总体而言,与仅使用CLP相比,剪毛导致羊毛上的微生物污染显著降低。胴体冷却24小时的羔羊的嗜冷总活菌数和假单胞菌数显著低于冷却72小时的胴体。这些胴体的肉在肉类加工厂于1.7±1.6°C真空包装储存23天,随后在3.9±1.7°C零售展示(直至第50天),优势微生物为乳酸菌、肠杆菌科和假单胞菌,到储存第34天所有微生物均达到最大种群密度。与此一致的是,在第34天之后,生肉样品的质量也继续恶化,出现异味和颜色变化。虽然在真空包装储存期间熟肉食用质量属性的平均值没有显著变化,但在所有储存时间的羊肉中,包括异味和怪味在内的许多属性都存在很大变异性,突出了屠宰批次内和批次间羊肉质量的不一致性。

https://cdn.ncbi.nlm.nih.gov/pmc/blobs/222a/9266051/371860bccc8f/foods-11-01850-g004.jpg
https://cdn.ncbi.nlm.nih.gov/pmc/blobs/222a/9266051/bf226ccf6222/foods-11-01850-g001.jpg
https://cdn.ncbi.nlm.nih.gov/pmc/blobs/222a/9266051/835840c3b1d5/foods-11-01850-g002.jpg
https://cdn.ncbi.nlm.nih.gov/pmc/blobs/222a/9266051/2c196e437714/foods-11-01850-g003.jpg
https://cdn.ncbi.nlm.nih.gov/pmc/blobs/222a/9266051/371860bccc8f/foods-11-01850-g004.jpg
https://cdn.ncbi.nlm.nih.gov/pmc/blobs/222a/9266051/bf226ccf6222/foods-11-01850-g001.jpg
https://cdn.ncbi.nlm.nih.gov/pmc/blobs/222a/9266051/835840c3b1d5/foods-11-01850-g002.jpg
https://cdn.ncbi.nlm.nih.gov/pmc/blobs/222a/9266051/2c196e437714/foods-11-01850-g003.jpg
https://cdn.ncbi.nlm.nih.gov/pmc/blobs/222a/9266051/371860bccc8f/foods-11-01850-g004.jpg

相似文献

1
Impact of Industrial Practices on the Microbial and Quality Attributes of Fresh Vacuum-Packed Lamb Joints.工业生产方式对新鲜真空包装羊腿微生物及品质特性的影响
Foods. 2022 Jun 23;11(13):1850. doi: 10.3390/foods11131850.
2
Microbial spoilage mechanisms of vacuum-packed lamb meat: A review.真空包装羊肉的微生物腐败机制:综述
Int J Food Microbiol. 2023 Feb 16;387:110056. doi: 10.1016/j.ijfoodmicro.2022.110056. Epub 2022 Dec 9.
3
Factors affecting microbial spoilage and shelf-life of chilled vacuum-packed lamb transported to distant markets: a review.影响运往遥远市场的冷藏真空包装羊肉微生物腐败和保质期的因素:综述
Meat Sci. 2014 Sep;98(1):71-80. doi: 10.1016/j.meatsci.2014.05.002. Epub 2014 May 10.
4
Assessment of the risk of botulism from chilled, vacuum/modified atmosphere packed fresh beef, lamb and pork held at 3 °C-8 °C.冷藏真空/改良气氛包装新鲜牛肉、羊肉和猪肉在 3°C-8°C 下的肉毒杆菌风险评估。
Food Microbiol. 2020 Oct;91:103544. doi: 10.1016/j.fm.2020.103544. Epub 2020 May 18.
5
The impact of lamb cleanliness and line speed on the effectiveness of steam vacuum and carcass wash as decontamination methods after slaughter.宰后使用蒸汽真空和胴体清洗作为去污方法时,羊肉清洁度和生产线速度对其效果的影响。
Meat Sci. 2021 Jan;171:108276. doi: 10.1016/j.meatsci.2020.108276. Epub 2020 Aug 14.
6
Effect of forage and retail packaging types on meat quality of long-term chilled lamb loins.饲料和零售包装类型对长期冷藏羊里脊肉品质的影响。
J Anim Sci. 2013 Dec;91(12):5998-6007. doi: 10.2527/jas.2013-6780. Epub 2013 Oct 1.
7
Effects of shearing and fleece cleanliness on microbiological contamination of lamb carcasses.剪毛和羊毛清洁度对羔羊胴体微生物污染的影响。
Int J Food Microbiol. 2011 Nov 1;150(2-3):178-83. doi: 10.1016/j.ijfoodmicro.2011.07.038. Epub 2011 Aug 4.
8
Influence of different gas compositions on the short-term storage stability of mother-packaged retail-ready lamb packs.不同气体成分对母包装即食羊肉包装短期储存稳定性的影响。
Meat Sci. 2005 Jan;69(1):27-33. doi: 10.1016/j.meatsci.2004.06.003.
9
Detection of psychrophilic and psychrotolerant Clostridium spp. in chilled fresh vacuum-packed meat using different PCR methods.使用不同的聚合酶链式反应(PCR)方法检测冷藏新鲜真空包装肉中的嗜冷和耐冷梭菌属细菌。
FEMS Microbiol Lett. 2016 Jan;363(1):fnv218. doi: 10.1093/femsle/fnv218. Epub 2015 Nov 11.
10
Sources of psychrophilic and psychrotolerant clostridia causing spoilage of vacuum-packed chilled meats, as determined by PCR amplification procedure.通过 PCR 扩增程序确定导致真空包装冷藏肉腐败的嗜冷和耐冷梭菌的来源。
J Appl Microbiol. 2009 Jul;107(1):178-86. doi: 10.1111/j.1365-2672.2009.04193.x. Epub 2009 Mar 3.

引用本文的文献

1
Repeated Cycles of Freeze-Thaw Storage Influence the Dynamics of Bacterial Communities and the Prevalence of Pathogens in Mutton.反复冻融储存循环影响羊肉中细菌群落动态及病原菌的流行情况。
Curr Microbiol. 2025 Aug 6;82(9):439. doi: 10.1007/s00284-025-04323-w.
2
Insight into the Quality Development and Microbial Dynamics of Meat and Meat Products.肉类及肉类制品质量发展与微生物动态研究洞察
Foods. 2023 Apr 25;12(9):1782. doi: 10.3390/foods12091782.

本文引用的文献

1
The Predominance of Psychrotrophic Pseudomonads on Aerobically Stored Chilled Red Meat.嗜冷假单胞菌在冷藏红肉有氧储存过程中的优势地位
Compr Rev Food Sci Food Saf. 2019 Sep;18(5):1622-1635. doi: 10.1111/1541-4337.12483. Epub 2019 Aug 13.
2
Effect of cooking on the nutritive quality, sensory properties and safety of lamb meat: Current challenges and future prospects.烹饪对羊肉营养价值、感官特性和安全性的影响:当前挑战和未来展望。
Meat Sci. 2020 Sep;167:108172. doi: 10.1016/j.meatsci.2020.108172. Epub 2020 Apr 29.
3
CIELAB color paths during meat shelf life.
肉品货架期的 CIELAB 颜色路径。
Meat Sci. 2019 Nov;157:107889. doi: 10.1016/j.meatsci.2019.107889. Epub 2019 Jul 11.
4
Strain-Level Diversity Analysis of Pseudomonas fragi after Pangenome Reconstruction Shows Distinctive Spoilage-Associated Metabolic Traits Clearly Selected by Different Storage Conditions.经泛基因组重建后弗氏柠檬酸杆菌菌株水平多样性分析表明,不同贮藏条件下明显选择了具有独特腐败相关代谢特征的菌株。
Appl Environ Microbiol. 2018 Dec 13;85(1). doi: 10.1128/AEM.02212-18. Print 2019 Jan 1.
5
Genomic and metabolic characterization of spoilage-associated Pseudomonas species.腐败相关假单胞菌的基因组和代谢特征研究。
Int J Food Microbiol. 2018 Mar 2;268:61-72. doi: 10.1016/j.ijfoodmicro.2018.01.005. Epub 2018 Jan 5.
6
Culture-dependent and culture-independent assessment of spoilage community growth on VP lamb meat from packaging to past end of shelf-life.从包装到保质期结束后,对VP羔羊肉上腐败菌群生长进行基于培养和非培养的评估。
Food Microbiol. 2017 Dec;68:71-80. doi: 10.1016/j.fm.2017.06.015. Epub 2017 Jun 24.
7
Characterization of volatile metabolites associated with confinement odour during the shelf-life of vacuum packed lamb meat under different storage conditions.研究不同贮藏条件下真空包装羊肉货架期内与禁闭气味相关的挥发性代谢产物的特征。
Meat Sci. 2016 Mar;113:80-91. doi: 10.1016/j.meatsci.2015.11.017. Epub 2015 Nov 28.
8
Factors affecting microbial spoilage and shelf-life of chilled vacuum-packed lamb transported to distant markets: a review.影响运往遥远市场的冷藏真空包装羊肉微生物腐败和保质期的因素:综述
Meat Sci. 2014 Sep;98(1):71-80. doi: 10.1016/j.meatsci.2014.05.002. Epub 2014 May 10.
9
The spoilage characteristics of Brochothrix thermosphacta and two psychrotolerant Enterobacteriacae in vacuum packed lamb and the comparison between high and low pH cuts.真空包装羊肉中产冷希瓦氏菌和两种嗜冷肠杆菌的腐败特性及其在高 pH 值和低 pH 值部位的比较。
Meat Sci. 2014 May;97(1):83-92. doi: 10.1016/j.meatsci.2014.01.006. Epub 2014 Jan 22.
10
Microbial growth, communities and sensory characteristics of vacuum and modified atmosphere packaged lamb shoulders.真空包装和改良气氛包装羊肩肉的微生物生长、群落和感官特性。
Food Microbiol. 2013 Dec;36(2):305-15. doi: 10.1016/j.fm.2013.06.016. Epub 2013 Jul 5.