• 文献检索
  • 文档翻译
  • 深度研究
  • 学术资讯
  • Suppr Zotero 插件Zotero 插件
  • 邀请有礼
  • 套餐&价格
  • 历史记录
应用&插件
Suppr Zotero 插件Zotero 插件浏览器插件Mac 客户端Windows 客户端微信小程序
定价
高级版会员购买积分包购买API积分包
服务
文献检索文档翻译深度研究API 文档MCP 服务
关于我们
关于 Suppr公司介绍联系我们用户协议隐私条款
关注我们

Suppr 超能文献

核心技术专利:CN118964589B侵权必究
粤ICP备2023148730 号-1Suppr @ 2026

文献检索

告别复杂PubMed语法,用中文像聊天一样搜索,搜遍4000万医学文献。AI智能推荐,让科研检索更轻松。

立即免费搜索

文件翻译

保留排版,准确专业,支持PDF/Word/PPT等文件格式,支持 12+语言互译。

免费翻译文档

深度研究

AI帮你快速写综述,25分钟生成高质量综述,智能提取关键信息,辅助科研写作。

立即免费体验

基于三阶段 Wiener 过程的高速铣削刀具剩余寿命预测模型。

Three-Stage Wiener-Process-Based Model for Remaining Useful Life Prediction of a Cutting Tool in High-Speed Milling.

机构信息

College of Mechanical and Electrical Engineering, Nanjing University of Aeronautics and Astronautics, Nanjing 210016, China.

出版信息

Sensors (Basel). 2022 Jun 24;22(13):4763. doi: 10.3390/s22134763.

DOI:10.3390/s22134763
PMID:35808259
原文链接:https://pmc.ncbi.nlm.nih.gov/articles/PMC9268909/
Abstract

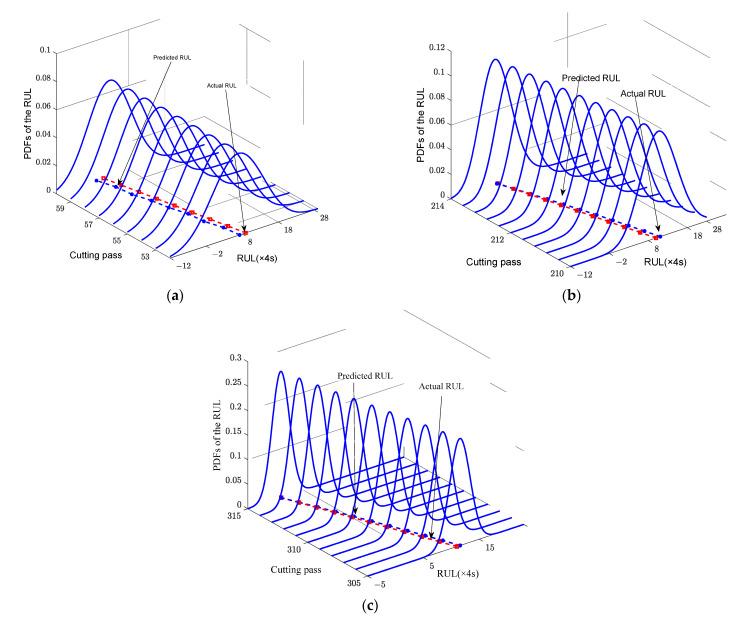
Tool condition monitoring can be employed to ensure safe and full utilization of the cutting tool. Hence, remaining useful life (RUL) prediction of a cutting tool is an important issue for an effective high-speed milling process-monitoring system. However, it is difficult to establish a mechanism model for the life decreasing process owing to the different wear rates in various stages of cutting tool. This study proposes a three-stage Wiener-process-based degradation model for the cutting tool wear estimation and remaining useful life prediction. Tool wear stages classification and RUL prediction are jointly addressed in this work in order to take full advantage of Wiener process, as this three-stage Wiener process definitely constitutes to describe the degradation processes at different wear stages, based on which the overall useful life can be accurately obtained. The numerical results obtained using extensive experiment indicate that the proposed model can effectively predict the cutting tool's remaining useful life. Empirical comparisons show that the proposed model performs better than existing models in predicting the cutting tool RUL.

摘要

刀具状态监测可确保安全并充分利用刀具。因此,刀具的剩余使用寿命 (RUL) 预测对于有效的高速铣削过程监测系统是一个重要问题。然而,由于刀具不同阶段的磨损率不同,建立寿命降低过程的机理模型是很困难的。本研究提出了一种基于三阶段 Wiener 过程的刀具磨损估计和剩余使用寿命预测退化模型。本工作联合解决了刀具磨损阶段分类和 RUL 预测问题,以充分利用 Wiener 过程,因为这种三阶段 Wiener 过程肯定可以描述不同磨损阶段的退化过程,从而可以准确获得整体使用寿命。通过广泛的实验获得的数值结果表明,所提出的模型可以有效地预测刀具的剩余使用寿命。经验比较表明,与现有模型相比,所提出的模型在预测刀具 RUL 方面表现更好。

https://cdn.ncbi.nlm.nih.gov/pmc/blobs/0543/9268909/3ac45161e358/sensors-22-04763-g009.jpg
https://cdn.ncbi.nlm.nih.gov/pmc/blobs/0543/9268909/073ea56f5abc/sensors-22-04763-g001.jpg
https://cdn.ncbi.nlm.nih.gov/pmc/blobs/0543/9268909/ab5eeced1495/sensors-22-04763-g002.jpg
https://cdn.ncbi.nlm.nih.gov/pmc/blobs/0543/9268909/584d8aa371ed/sensors-22-04763-g003.jpg
https://cdn.ncbi.nlm.nih.gov/pmc/blobs/0543/9268909/a422a29c1bb1/sensors-22-04763-g004.jpg
https://cdn.ncbi.nlm.nih.gov/pmc/blobs/0543/9268909/f1961eaaac11/sensors-22-04763-g005.jpg
https://cdn.ncbi.nlm.nih.gov/pmc/blobs/0543/9268909/a7d79c285fb9/sensors-22-04763-g006.jpg
https://cdn.ncbi.nlm.nih.gov/pmc/blobs/0543/9268909/8ba1ddf2d960/sensors-22-04763-g007.jpg
https://cdn.ncbi.nlm.nih.gov/pmc/blobs/0543/9268909/31ef26551fc3/sensors-22-04763-g008.jpg
https://cdn.ncbi.nlm.nih.gov/pmc/blobs/0543/9268909/3ac45161e358/sensors-22-04763-g009.jpg
https://cdn.ncbi.nlm.nih.gov/pmc/blobs/0543/9268909/073ea56f5abc/sensors-22-04763-g001.jpg
https://cdn.ncbi.nlm.nih.gov/pmc/blobs/0543/9268909/ab5eeced1495/sensors-22-04763-g002.jpg
https://cdn.ncbi.nlm.nih.gov/pmc/blobs/0543/9268909/584d8aa371ed/sensors-22-04763-g003.jpg
https://cdn.ncbi.nlm.nih.gov/pmc/blobs/0543/9268909/a422a29c1bb1/sensors-22-04763-g004.jpg
https://cdn.ncbi.nlm.nih.gov/pmc/blobs/0543/9268909/f1961eaaac11/sensors-22-04763-g005.jpg
https://cdn.ncbi.nlm.nih.gov/pmc/blobs/0543/9268909/a7d79c285fb9/sensors-22-04763-g006.jpg
https://cdn.ncbi.nlm.nih.gov/pmc/blobs/0543/9268909/8ba1ddf2d960/sensors-22-04763-g007.jpg
https://cdn.ncbi.nlm.nih.gov/pmc/blobs/0543/9268909/31ef26551fc3/sensors-22-04763-g008.jpg
https://cdn.ncbi.nlm.nih.gov/pmc/blobs/0543/9268909/3ac45161e358/sensors-22-04763-g009.jpg

相似文献

1
Three-Stage Wiener-Process-Based Model for Remaining Useful Life Prediction of a Cutting Tool in High-Speed Milling.基于三阶段 Wiener 过程的高速铣削刀具剩余寿命预测模型。
Sensors (Basel). 2022 Jun 24;22(13):4763. doi: 10.3390/s22134763.
2
Remaining Useful-Life Prediction of the Milling Cutting Tool Using Time-Frequency-Based Features and Deep Learning Models.基于时频特征和深度学习模型的铣削刀具剩余使用寿命预测。
Sensors (Basel). 2023 Jun 17;23(12):5659. doi: 10.3390/s23125659.
3
Adaptive Wiener process-based remaining useful life prediction method considering multi-source variability.基于自适应维纳过程的考虑多源变异性的剩余使用寿命预测方法
Heliyon. 2024 Aug 8;10(16):e35925. doi: 10.1016/j.heliyon.2024.e35925. eCollection 2024 Aug 30.
4
A Multi-Task Joint Learning Model Based on Transformer and Customized Gate Control for Predicting Remaining Useful Life and Health Status of Tools.一种基于Transformer和定制门控的多任务联合学习模型,用于预测工具的剩余使用寿命和健康状态。
Sensors (Basel). 2024 Jun 25;24(13):4117. doi: 10.3390/s24134117.
5
Real-Time Remaining Useful Life Prediction of Cutting Tools Using Sparse Augmented Lagrangian Analysis and Gaussian Process Regression.基于稀疏增广拉格朗日分析和高斯过程回归的刀具实时剩余使用寿命预测。
Sensors (Basel). 2022 Dec 30;23(1):413. doi: 10.3390/s23010413.
6
Multivariate time series data of milling processes with varying tool wear and machine tools.具有不同刀具磨损情况的铣削加工过程以及机床的多变量时间序列数据。
Data Brief. 2023 Sep 14;50:109574. doi: 10.1016/j.dib.2023.109574. eCollection 2023 Oct.
7
DeepTool: A deep learning framework for tool wear onset detection and remaining useful life prediction.DeepTool:一种用于刀具磨损起始检测和剩余使用寿命预测的深度学习框架。
MethodsX. 2024 Sep 19;13:102965. doi: 10.1016/j.mex.2024.102965. eCollection 2024 Dec.
8
Micro-Milling Tool Wear Monitoring via Nonlinear Cutting Force Model.基于非线性切削力模型的微铣刀磨损监测
Micromachines (Basel). 2022 Jun 14;13(6):943. doi: 10.3390/mi13060943.
9
Engine remaining useful life prediction model based on R-Vine copula with multi-sensor data.基于具有多传感器数据的R藤Copula的发动机剩余使用寿命预测模型
Heliyon. 2023 Jun 12;9(6):e17118. doi: 10.1016/j.heliyon.2023.e17118. eCollection 2023 Jun.
10
The Research of Tool Wear Mechanism for High-Speed Milling ADC12 Aluminum Alloy Considering the Cutting Force Effect.考虑切削力影响的高速铣削ADC12铝合金刀具磨损机理研究
Materials (Basel). 2021 Feb 24;14(5):1054. doi: 10.3390/ma14051054.

引用本文的文献

1
Prediction of the remaining useful life of a milling machine using machine learning.利用机器学习预测铣床的剩余使用寿命。
MethodsX. 2025 Jan 31;14:103195. doi: 10.1016/j.mex.2025.103195. eCollection 2025 Jun.

本文引用的文献

1
Multiobjective Deep Belief Networks Ensemble for Remaining Useful Life Estimation in Prognostics.多目标深度置信网络集成在预测中的剩余使用寿命估计。
IEEE Trans Neural Netw Learn Syst. 2017 Oct;28(10):2306-2318. doi: 10.1109/TNNLS.2016.2582798. Epub 2016 Jul 11.