Suppr超能文献

含阿糖胞苷化疗治疗急性早幼粒细胞白血病的长期随访结果。

Long-term follow-up results of cytarabine-containing chemotherapy for acute promyelocytic leukemia.

机构信息

Department of Internal Medicine, Ewha Womans University Mokdong Hospital, Ewha Womans University School of Medicine, Seoul, Korea.

Department of Internal Medicine, Ewha Womans University Seoul Hospital, Ewha Womans University School of Medicine, Seoul, Korea.

出版信息

Korean J Intern Med. 2022 Jul;37(4):841-850. doi: 10.3904/kjim.2021.468. Epub 2022 Jun 28.

Abstract

BACKGROUND/AIMS: We evaluated the feasibility and long-term efficacy of the combination of cytarabine, idarubicin, and all-trans retinoic acid (ATRA) for treating patients with newly diagnosed acute promyelocytic leukemia (APL).

METHODS

We included 87 patients with newly diagnosed acute myeloid leukemia and a t(15;17) or promyelocytic leukemia/retinoic acid receptor alpha (PML-RARα) mutation. Patients received 12 mg/m2/day idarubicin intravenously for 3 days and 100 mg/m2/day cytarabine for 7 days, plus 45 mg/m2/day ATRA. Clinical outcomes included complete remission (CR), relapse-free survival (RFS), overall survival (OS), and the secondary malignancy incidence during a 20-year follow-up.

RESULTS

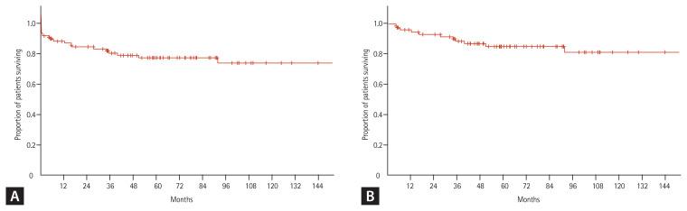
The CR, 10-year RFS, and 10-year OS rates were 89.7%, 94.1%, and 73.8%, respectively, for all patients. The 10-year OS rate was 100% for patients that achieved CR. Subjects were classified according to the white blood cell (WBC) count in peripheral blood at diagnosis (low-risk, WBC < 10,000/mm3; high-risk, WBC ≥ 10,000/mm3). The low-risk group had significantly higher RFS and OS rates than the high-risk group, but the outcomes were not superior to the current standard treatment (arsenic trioxide plus ATRA). Toxicities were similar to those observed with anthracycline plus ATRA, and higher than those observed with arsenic trioxide plus ATRA. The secondary malignancy incidence after APL treatment was 2.7%, among the 75 patients that achieved CR, and 5.0% among the 40 patients that survived more than 5 years after the APL diagnosis.

CONCLUSION

Adding cytarabine to anthracycline plus ATRA was not inferior to anthracycline plus ATRA alone, but it was not comparable to arsenic trioxide plus ATRA. The probability of secondary malignancy was low.

摘要

背景/目的:我们评估了阿糖胞苷、伊达比星和全反式维甲酸(ATRA)联合治疗初诊急性早幼粒细胞白血病(APL)患者的可行性和长期疗效。

方法

我们纳入了 87 例初诊急性髓系白血病且存在 t(15;17)或早幼粒细胞白血病/维甲酸受体α(PML-RARα)突变的患者。患者接受静脉注射 12 mg/m2/天伊达比星 3 天和 100 mg/m2/天阿糖胞苷 7 天,联合 45 mg/m2/天 ATRA。临床结局包括完全缓解(CR)、无复发生存(RFS)、总生存(OS)以及 20 年随访期间的继发性恶性肿瘤发生率。

结果

所有患者的 CR、10 年 RFS 和 10 年 OS 率分别为 89.7%、94.1%和 73.8%。达到 CR 的患者 10 年 OS 率为 100%。根据诊断时外周血白细胞(WBC)计数(低危,WBC<10,000/mm3;高危,WBC≥10,000/mm3)对患者进行分类。低危组的 RFS 和 OS 率明显高于高危组,但结果并不优于当前标准治疗(三氧化二砷加 ATRA)。毒性与阿霉素加 ATRA 观察到的相似,高于三氧化二砷加 ATRA 观察到的。在 75 例达到 CR 的患者中,有 2.7%在 APL 治疗后发生继发性恶性肿瘤,在 40 例 APL 诊断后生存 5 年以上的患者中,有 5.0%发生继发性恶性肿瘤。

结论

在阿霉素加 ATRA 的基础上加用阿糖胞苷并不劣于阿霉素加 ATRA 单药治疗,但与三氧化二砷加 ATRA 不可比。发生继发性恶性肿瘤的概率较低。

https://cdn.ncbi.nlm.nih.gov/pmc/blobs/377f/9271710/863242bfe96d/kjim-2021-468f1.jpg

文献AI研究员

20分钟写一篇综述,助力文献阅读效率提升50倍。

立即体验

用中文搜PubMed

大模型驱动的PubMed中文搜索引擎

马上搜索

文档翻译

学术文献翻译模型,支持多种主流文档格式。

立即体验