Suppr超能文献

2α-杂芳基烷基维生素 D 类似物 AH-1 在 VDR(R270L)遗传性维生素 D 依赖性佝偻病模型大鼠中的强健成骨功效。

Robust osteogenic efficacy of 2α-heteroarylalkyl vitamin D analogue AH-1 in VDR (R270L) hereditary vitamin D-dependent rickets model rats.

机构信息

Department of Biotechnology, Faculty of Engineering, Toyama Prefectural University, 5180 Kurokawa, Imizu, Toyama, 939-0398, Japan.

Department of Pharmaceutical Engineering, Faculty of Engineering, Toyama Prefectural University, 5180 Kurokawa, Imizu, Toyama, 939-0398, Japan.

出版信息

Sci Rep. 2022 Jul 22;12(1):12517. doi: 10.1038/s41598-022-16819-7.

Abstract

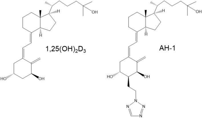
Active vitamin D form 1α,25-dihydroxtvitamin D (1,25(OH)D) plays pivotal roles in calcium homeostasis and osteogenesis via its transcription regulation effect via binding to vitamin D receptor (VDR). Mutated VDR often causes hereditary vitamin D-dependent rickets (VDDR) type II, and patients with VDDR-II are hardly responsive to physiological doses of 1,25(OH)D. Current therapeutic approaches, including high doses of oral calcium and supraphysiologic doses of 1,25(OH)D have limited success and fail to improve the quality of life of affected patients. Thus, various vitamin D analogues have been developed as therapeutic options. In our previous study, we generated genetically modified rats with mutated Vdr(R270L), an ortholog of human VDR(R274L) isolated from the patients with VDDR-II. The significant reduced affinity toward 1,25(OH)D of rat Vdr(R270L) enabled us to evaluate biological activities of exogenous VDR ligand without 1α-hydroxy group such as 25(OH)D. In this study, 2α-[2-(tetrazol-2-yl)ethyl]-1α,25(OH)D (AH-1) exerted much higher affinity for Vdr(R270L) in in vitro ligand binding assay than both 25(OH)D and 1,25(OH)D. A robust osteogenic activity of AH-1 was observed in Vdr(R270L) rats. Only a 40-fold lower dose of AH-1 than that of 25(OH)D was effective in ameliorating rickets symptoms in Vdr(R270L) rats. Therefore, AH-1 may be promising for the therapy of VDDR-II with VDR(R274L).

摘要

活性维生素 D 形式 1α,25-二羟维生素 D(1,25(OH)D)通过与其维生素 D 受体(VDR)结合发挥转录调节作用,在钙稳态和成骨中发挥关键作用。VDR 突变常导致遗传性维生素 D 依赖性佝偻病(VDDR)Ⅱ型,VDDR-II 型患者对生理剂量的 1,25(OH)D 反应不佳。目前的治疗方法包括口服高剂量钙和超生理剂量的 1,25(OH)D,但收效甚微,无法改善患者的生活质量。因此,已经开发出各种维生素 D 类似物作为治疗选择。在我们之前的研究中,我们生成了具有突变 Vdr(R270L)的基因修饰大鼠,Vdr(R270L)是从 VDDR-II 患者中分离出的人类 VDR(R274L)的同源物。大鼠 Vdr(R270L)对 1,25(OH)D 的亲和力显著降低,使我们能够评估没有 1α-羟基的外源性 VDR 配体(如 25(OH)D)的生物学活性。在这项研究中,2α-[2-(四唑-2-基)乙基]-1α,25(OH)D(AH-1)在体外配体结合测定中对 Vdr(R270L)的亲和力比 25(OH)D 和 1,25(OH)D 都高。在 Vdr(R270L)大鼠中观察到 AH-1 具有很强的成骨活性。与 25(OH)D 相比,AH-1 仅需 40 倍低的剂量即可有效改善 Vdr(R270L)大鼠的佝偻病症状。因此,AH-1 可能对 VDR(R274L)型 VDDR-II 的治疗有希望。

https://cdn.ncbi.nlm.nih.gov/pmc/blobs/2924/9307643/27d3379bd374/41598_2022_16819_Fig1_HTML.jpg

文献AI研究员

20分钟写一篇综述,助力文献阅读效率提升50倍。

立即体验

用中文搜PubMed

大模型驱动的PubMed中文搜索引擎

马上搜索

文档翻译

学术文献翻译模型,支持多种主流文档格式。

立即体验