Ben Chouikha Islem, Kerkeni Boutheïna, Ouerfelli Ghofrane, Makroni Lily, Nyman Gunnar
Département de Physique, LPMC, Faculté des Sciences de Tunis, Université de Tunis el Manar Tunis 2092 Tunisia
ISAMM, Université de la Manouba La Manouba 2010 Tunisia
RSC Adv. 2022 Jun 29;12(29):18994-19005. doi: 10.1039/d2ra03555c. eCollection 2022 Jun 22.
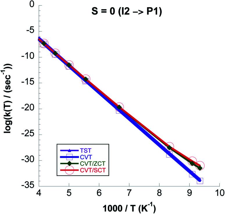
Acetaldehyde (CHCHO) is ubiquitous in interstellar space and is important for astrochemistry as it can contribute to the formation of amino acids through reaction with nitrogen containing chemical species. Quantum chemical and reaction kinetics studies are reported for acetaldehyde formation from the chemical reaction of C(P) with a methanol molecule adsorbed at the eighth position of a cubic water cluster. We present extensive quantum chemical calculations for total spin = 1 and = 0. The UωB97XD/6-311++G(2d,p) model chemistry is employed to optimize the structures, compute minimum energy paths and zero-point vibrational energies of all reaction steps. For the optimized structures, the calculated energies are refined by CCSD(T) single point computations. We identify four transition states on the triplet potential energy surface (PES), and one on the singlet PES. The reaction mechanism involves the intermediate formation of CHOCH adsorbed on the ice cluster. The rate limiting step for forming acetaldehyde is the C-O bond breaking in CHOCH to form adsorbed CH and HCO. We find two positions on the reaction path where spin crossing may be possible such that acetaldehyde can form in its singlet spin state. Using variational transition-state theory with multidimensional tunnelling we provide thermal rate constants for the energetically rate limiting step for both spin states and discuss two routes to acetaldehyde formation. As expected, quantum effects are important at low temperatures.
乙醛(CHCHO)在星际空间中无处不在,对天体化学很重要,因为它可以通过与含氮化学物质反应促进氨基酸的形成。本文报道了从C(P)与吸附在立方水簇第八位的甲醇分子发生化学反应生成乙醛的量子化学和反应动力学研究。我们对总自旋 = 1和 = 0进行了广泛的量子化学计算。采用UωB97XD/6-311++G(2d,p)模型化学方法优化结构,计算所有反应步骤的最小能量路径和零点振动能。对于优化后的结构,通过CCSD(T)单点计算对计算能量进行细化。我们在三重态势能面(PES)上确定了四个过渡态,在单重态PES上确定了一个过渡态。反应机理涉及吸附在冰簇上的CHOCH的中间形成。形成乙醛的速率限制步骤是CHOCH中C-O键断裂形成吸附的CH和HCO。我们在反应路径上发现了两个可能发生自旋交叉的位置,使得乙醛可以以其单重态自旋状态形成。使用变分过渡态理论和多维隧穿,我们提供了两种自旋状态下能量上的速率限制步骤的热速率常数,并讨论了乙醛形成的两条途径。正如预期的那样,量子效应在低温下很重要。