Suppr超能文献

基于细长光纤突变锥度的高灵敏度光纤干涉应变传感器。

High Sensitivity Fiber Interferometric Strain Sensors Based on Elongated Fiber Abrupt Tapers.

作者信息

Zhou Haimiao, Peng Ya-Pei, Chen Nan-Kuang

机构信息

School of Physics Sciences and Information Technology, Liaocheng University, Liaocheng 252000, China.

College of Engineering Physics, Shenzhen Technology University, Shenzhen 518000, China.

出版信息

Micromachines (Basel). 2022 Jun 27;13(7):1015. doi: 10.3390/mi13071015.

Abstract

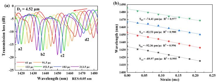
We demonstrate high-sensitivity fiber strain sensors based on an elongated abrupt taper. The fiber abrupt taper, with a tapered diameter ranging from 40-60 μm, was made by using a hydrogen microflame to break the waveguide adiabaticity so as to convert the fundamental mode into cladding modes. The abrupt taper was further uniformly tapered by using a normal moving flame with a torch diameter of 7 mm to elongate the tapered region until the tapered diameter was down to 2.5-5 μm. The excited high-order modes were confined to propagate along the cladding and then recombined at the rear edge of the fiber taper to produce interferences with extinction ratios of up to 16 dB. The tapered region was pulled outwardly to change the optical path difference (OPD) between modes to measure the tensile strain with all the interfering wavelengths blue-shifted. The measured best strain sensitivity was 116.21 pm/με and the coefficient of determination R2 of linear fitting exhibits high linearity. This strain sensor based on elongated abrupt taper is several times higher than that of most of the fiber strain sensors ever reported.

摘要

我们展示了基于细长渐变光纤的高灵敏度光纤应变传感器。通过使用氢微火焰破坏波导绝热性,将光纤渐变区域的直径从40 - 60μm进一步均匀渐变至2.5 - 5μm,从而将基模转换为包层模。所激发的高阶模被限制在包层中传播,然后在光纤渐变区域的后边缘重新组合产生干涉,消光比高达16dB。通过向外拉伸渐变区域来改变模式间的光程差(OPD)以测量拉伸应变,所有干涉波长均发生蓝移。测得的最佳应变灵敏度为116.21pm/με,线性拟合的决定系数R2显示出高线性度。这种基于细长渐变光纤的应变传感器比以往报道的大多数光纤应变传感器的灵敏度高出数倍。

https://cdn.ncbi.nlm.nih.gov/pmc/blobs/47c9/9321942/79a9905bac6c/micromachines-13-01015-g001.jpg

文献AI研究员

20分钟写一篇综述,助力文献阅读效率提升50倍。

立即体验

用中文搜PubMed

大模型驱动的PubMed中文搜索引擎

马上搜索

文档翻译

学术文献翻译模型,支持多种主流文档格式。

立即体验