Wang Yanru, Yin Zhaoqin, Bao Fubing, Shen Jiaxin
Zhejiang Provincial Key Laboratory of Flow Measurement Technology, China Jiliang University, Hangzhou 310018, China.
Micromachines (Basel). 2022 Jul 15;13(7):1110. doi: 10.3390/mi13071110.
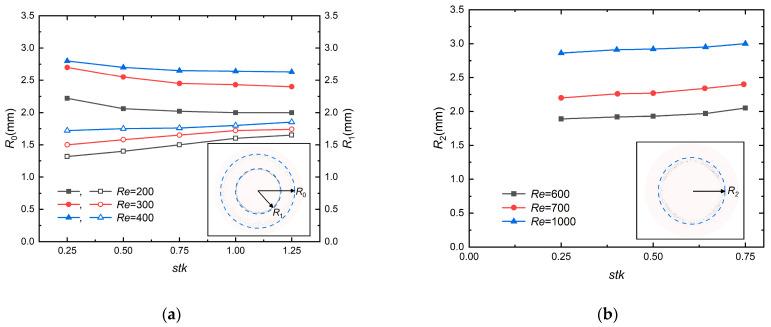
Gas with ultrafine particle impaction on a solid surface is a unique case of curvilinear motion that can be widely used for the devices of surface coatings or instruments for particle size measurement. In this work, the Eulerian-Lagrangian method was applied to calculate the motion of microparticles in a micro impinging flow field with consideration of the interactions between particle to particle, particle to wall, and particle to fluid. The coupling computational fluid dynamics (CFD) with the discrete element method (DEM) was employed to investigate the different deposition patterns of microparticles. The vortex structure and two types of particle deposits ("halo" and "ring") have been discussed. The particle deposition characteristics are affected both by the flow Reynolds number () and Stokes number (). Moreover, two particle deposition patterns have been categorized in terms of and . Finally, the characteristics and mechanism of particle deposits have been analyzed using the particle inertia, the process of impinging (particle rebound or no rebound), vortical structures, and the kinetic energy conversion in two-phase flow, etc.
带有超细颗粒的气体撞击固体表面是一种独特的曲线运动情况,可广泛应用于表面涂层设备或粒度测量仪器。在这项工作中,采用欧拉-拉格朗日方法来计算微颗粒在微冲击流场中的运动,同时考虑颗粒与颗粒、颗粒与壁面以及颗粒与流体之间的相互作用。运用计算流体动力学(CFD)与离散元方法(DEM)的耦合来研究微颗粒的不同沉积模式。讨论了涡旋结构以及两种类型的颗粒沉积物(“晕圈”和“环”)。颗粒沉积特性受到流动雷诺数()和斯托克斯数()的影响。此外,根据和对两种颗粒沉积模式进行了分类。最后,利用颗粒惯性、撞击过程(颗粒反弹或不反弹)、涡旋结构以及两相流中的动能转换等分析了颗粒沉积物的特性和机理。