• 文献检索
  • 文档翻译
  • 深度研究
  • 学术资讯
  • Suppr Zotero 插件Zotero 插件
  • 邀请有礼
  • 套餐&价格
  • 历史记录
应用&插件
Suppr Zotero 插件Zotero 插件浏览器插件Mac 客户端Windows 客户端微信小程序
定价
高级版会员购买积分包购买API积分包
服务
文献检索文档翻译深度研究API 文档MCP 服务
关于我们
关于 Suppr公司介绍联系我们用户协议隐私条款
关注我们

Suppr 超能文献

核心技术专利:CN118964589B侵权必究
粤ICP备2023148730 号-1Suppr @ 2026

文献检索

告别复杂PubMed语法,用中文像聊天一样搜索,搜遍4000万医学文献。AI智能推荐,让科研检索更轻松。

立即免费搜索

文件翻译

保留排版,准确专业,支持PDF/Word/PPT等文件格式,支持 12+语言互译。

免费翻译文档

深度研究

AI帮你快速写综述,25分钟生成高质量综述,智能提取关键信息,辅助科研写作。

立即免费体验

泰国丝素蛋白的血液相容性评估及其通过低分子量肝素固定化的改进

Hemocompatibility Evaluation of Thai Silk Fibroin and Its Improvement with Low Molecular Weight Heparin Immobilization.

作者信息

Fungmongkonsatean Tanrada, Jongjitwimol Jirapas, Paensuwan Pussadee, Nuamchit Teonchit, Siriwittayawan Duangduan, Kanokpanont Sorada, Damrongsakkul Siriporn, Thitiwuthikiat Piyanuch

机构信息

Graduate Program in Biomedical Sciences, Faculty of Allied Health Sciences, Naresuan University, Phitsanulok 65000, Thailand.

Department of Medical Technology, Faculty of Allied Health Sciences, Naresuan University, Phitsanulok 65000, Thailand.

出版信息

Polymers (Basel). 2022 Jul 20;14(14):2943. doi: 10.3390/polym14142943.

DOI:10.3390/polym14142943
PMID:35890719
原文链接:https://pmc.ncbi.nlm.nih.gov/articles/PMC9319666/
Abstract

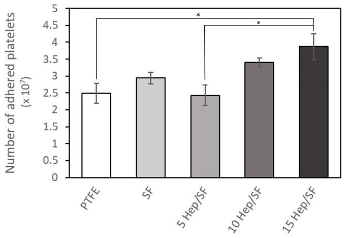
silk fibroin (SF), from Nangnoi Srisaket 1 Thai strain, has shown potential for various biomedical applications such as wound dressing, a vascular patch, bone substitutes, and controlled release systems. The hemocompatibility of this SF is one of the important characteristics that have impacts on such applications. In this study, the hemocompatibility of Thai SF was investigated and its improvement by low molecular weight heparin (LMWH) immobilization was demonstrated. Endothelial cell proliferation on the SF and LMWH immobilized SF (Hep/SF) samples with or without fibroblast growth factor-2 (FGF-2) was also evaluated. According to hemocompatibility evaluation, Thai SF did not accelerate clotting time, excess stimulate complement and leukocyte activation, and was considered a non-hemolysis material compared to the negative control PTFE sheet. Platelet adhesion of SF film was comparable to that of the PTFE sheet. For hemocompatibility enhancement, LMWH was immobilized successfully and could improve the surface hydrophilicity of SF films. The Hep/SF films demonstrated prolonged clotting time and slightly lower complement and leukocyte activation. However, the Hep/SF films could not suppress platelet adhesion. The Hep/SF films demonstrated endothelial cell proliferation enhancement, particularly with FGF-2 addition. This study provides fundamental information for the further development of Thai SF as a hemocompatible biomaterial.

摘要

来自泰国素叻他尼府南诺伊1号泰国菌株的丝素蛋白(SF)已显示出在各种生物医学应用中的潜力,如伤口敷料、血管补片、骨替代物和控释系统。这种SF的血液相容性是影响此类应用的重要特性之一。在本研究中,对泰国SF的血液相容性进行了研究,并证明了通过固定低分子量肝素(LMWH)对其进行改善。还评估了在有或没有成纤维细胞生长因子-2(FGF-2)的情况下,内皮细胞在SF和固定有LMWH的SF(Hep/SF)样品上的增殖情况。根据血液相容性评估,与阴性对照聚四氟乙烯片相比,泰国SF不会加速凝血时间、过度刺激补体和白细胞激活,被认为是一种非溶血材料。SF膜的血小板粘附情况与聚四氟乙烯片相当。为了增强血液相容性,成功固定了LMWH,并改善了SF膜的表面亲水性。Hep/SF膜显示出延长的凝血时间和略低的补体及白细胞激活。然而,Hep/SF膜不能抑制血小板粘附。Hep/SF膜显示出内皮细胞增殖增强,特别是在添加FGF-2的情况下。本研究为将泰国SF进一步开发为血液相容性生物材料提供了基础信息。

https://cdn.ncbi.nlm.nih.gov/pmc/blobs/92d9/9319666/b80a0549de0e/polymers-14-02943-g008.jpg
https://cdn.ncbi.nlm.nih.gov/pmc/blobs/92d9/9319666/fd0b89dec11d/polymers-14-02943-g001.jpg
https://cdn.ncbi.nlm.nih.gov/pmc/blobs/92d9/9319666/7fe30b4d1075/polymers-14-02943-g002.jpg
https://cdn.ncbi.nlm.nih.gov/pmc/blobs/92d9/9319666/5eb1bf328d59/polymers-14-02943-g003.jpg
https://cdn.ncbi.nlm.nih.gov/pmc/blobs/92d9/9319666/f3c11a53d9aa/polymers-14-02943-g004.jpg
https://cdn.ncbi.nlm.nih.gov/pmc/blobs/92d9/9319666/2d7b73022f29/polymers-14-02943-g005.jpg
https://cdn.ncbi.nlm.nih.gov/pmc/blobs/92d9/9319666/2f6b24fca898/polymers-14-02943-g006.jpg
https://cdn.ncbi.nlm.nih.gov/pmc/blobs/92d9/9319666/1ecccaf6ffe6/polymers-14-02943-g007.jpg
https://cdn.ncbi.nlm.nih.gov/pmc/blobs/92d9/9319666/b80a0549de0e/polymers-14-02943-g008.jpg
https://cdn.ncbi.nlm.nih.gov/pmc/blobs/92d9/9319666/fd0b89dec11d/polymers-14-02943-g001.jpg
https://cdn.ncbi.nlm.nih.gov/pmc/blobs/92d9/9319666/7fe30b4d1075/polymers-14-02943-g002.jpg
https://cdn.ncbi.nlm.nih.gov/pmc/blobs/92d9/9319666/5eb1bf328d59/polymers-14-02943-g003.jpg
https://cdn.ncbi.nlm.nih.gov/pmc/blobs/92d9/9319666/f3c11a53d9aa/polymers-14-02943-g004.jpg
https://cdn.ncbi.nlm.nih.gov/pmc/blobs/92d9/9319666/2d7b73022f29/polymers-14-02943-g005.jpg
https://cdn.ncbi.nlm.nih.gov/pmc/blobs/92d9/9319666/2f6b24fca898/polymers-14-02943-g006.jpg
https://cdn.ncbi.nlm.nih.gov/pmc/blobs/92d9/9319666/1ecccaf6ffe6/polymers-14-02943-g007.jpg
https://cdn.ncbi.nlm.nih.gov/pmc/blobs/92d9/9319666/b80a0549de0e/polymers-14-02943-g008.jpg

相似文献

1
Hemocompatibility Evaluation of Thai Silk Fibroin and Its Improvement with Low Molecular Weight Heparin Immobilization.泰国丝素蛋白的血液相容性评估及其通过低分子量肝素固定化的改进
Polymers (Basel). 2022 Jul 20;14(14):2943. doi: 10.3390/polym14142943.
2
Immobilization of Arg-Gly-Asp peptides on silk fibroin via Gly-Ala-Gly-Ala-Gly-Ser sequences.通过甘氨酸-丙氨酸-甘氨酸-丙氨酸-甘氨酸-丝氨酸序列将精氨酸-甘氨酸-天冬氨酸肽固定在丝素蛋白上。
Biotechnol J. 2023 Feb;18(2):e2200139. doi: 10.1002/biot.202200139. Epub 2022 Dec 7.
3
Sustained Release of Insulin-Like Growth Factor-1 from L. Silk Fibroin Delivery for Diabetic Wound Therapy.丝素蛋白载体长效缓释胰岛素样生长因子 1 治疗糖尿病创面。
Int J Mol Sci. 2021 Jun 10;22(12):6267. doi: 10.3390/ijms22126267.
4
Thiolation and characterization of regenerated silk fibroin films with reduced glutathione.还原型谷胱甘肽对再生丝素蛋白膜的巯基化修饰及表征
BMC Chem. 2019 May 10;13(1):62. doi: 10.1186/s13065-019-0583-x. eCollection 2019 Dec.
5
Characterization of water in hydrated Bombyx mori silk fibroin fiber and films by H NMR relaxation and C solid state NMR.通过氢核磁共振弛豫和碳固体核磁共振对水合家蚕丝素蛋白纤维和薄膜中的水进行表征。
Acta Biomater. 2017 Mar 1;50:322-333. doi: 10.1016/j.actbio.2016.12.052. Epub 2017 Jan 5.
6
Hemocompatibility and cytocompatibility of the hirudin-modified silk fibroin.水蛭素修饰的丝素蛋白的血液相容性和细胞相容性。
J Biomed Mater Res B Appl Biomater. 2015 Apr;103(3):556-62. doi: 10.1002/jbm.b.33241. Epub 2014 Jun 21.
7
Silk fibroin film from golden-yellow Bombyx mori is a biocomposite that contains lutein and promotes axonal growth of primary neurons.来自金黄色家蚕的丝素蛋白膜是一种含有叶黄素并能促进原代神经元轴突生长的生物复合材料。
Biopolymers. 2016 May;105(5):287-99. doi: 10.1002/bip.22806.
8
Silk fibroin film from non-mulberry tropical tasar silkworms: A novel substrate for in vitro fibroblast culture.非桑热带柞蚕的丝素蛋白膜:一种用于体外成纤维细胞培养的新型基质。
Acta Biomater. 2009 Jan;5(1):429-37. doi: 10.1016/j.actbio.2008.07.003. Epub 2008 Jul 18.
9
An Insulin-like Growth Factor-1 Conjugated Silk Fibroin Film for Diabetic Wound Healing: Fabrication, Physicochemical Property Characterization, and Dosage Optimization In Vitro and In Vivo.一种用于糖尿病伤口愈合的胰岛素样生长因子-1共轭丝素蛋白膜:制备、物理化学性质表征以及体外和体内剂量优化
Pharmaceutics. 2021 Sep 13;13(9):1459. doi: 10.3390/pharmaceutics13091459.
10
Improved hemocompatibility and endothelialization of vascular grafts by covalent immobilization of sulfated silk fibroin on poly(lactic-co-glycolic acid) scaffolds.通过将硫酸化丝素蛋白共价固定在聚(乳酸-共-乙醇酸)支架上来改善血管移植物的血液相容性和内皮化。
Biomacromolecules. 2011 Aug 8;12(8):2914-24. doi: 10.1021/bm200479f. Epub 2011 Jun 30.

本文引用的文献

1
Cellular Mechanisms of FGF-Stimulated Tissue Repair.成纤维细胞生长因子刺激组织修复的细胞机制。
Cells. 2021 Jul 20;10(7):1830. doi: 10.3390/cells10071830.
2
Blood biocompatibility enhancement of biomaterials by heparin immobilization: a review.肝素固定化增强生物材料的血液生物相容性:综述。
Blood Coagul Fibrinolysis. 2021 Jun 1;32(4):237-247. doi: 10.1097/MBC.0000000000001011.
3
Future Perspectives in Small-Diameter Vascular Graft Engineering.小直径血管移植工程的未来展望
Bioengineering (Basel). 2020 Dec 10;7(4):160. doi: 10.3390/bioengineering7040160.
4
Tubular Silk Fibroin/Gelatin-Tyramine Hydrogel with Controllable Layer Structure and Its Potential Application for Tissue Engineering.具有可控层状结构的管状丝素蛋白/明胶-酪胺水凝胶及其在组织工程中的潜在应用
ACS Biomater Sci Eng. 2020 Dec 14;6(12):6896-6905. doi: 10.1021/acsbiomaterials.0c01183. Epub 2020 Nov 19.
5
In vitro hemocompatibility testing of medical devices.医疗器械的体外血液相容性测试。
Thromb Res. 2020 Nov;195:146-150. doi: 10.1016/j.thromres.2020.07.027. Epub 2020 Jul 14.
6
Fibroblast Growth Factor 2-A Review of Stabilisation Approaches for Clinical Applications.成纤维细胞生长因子2——临床应用稳定化方法综述
Pharmaceutics. 2020 Jun 2;12(6):508. doi: 10.3390/pharmaceutics12060508.
7
High-throughput production of silk fibroin-based electrospun fibers as biomaterial for skin tissue engineering applications.基于丝素蛋白的静电纺丝纤维的高通量生产作为皮肤组织工程应用的生物材料。
Mater Sci Eng C Mater Biol Appl. 2020 Jul;112:110939. doi: 10.1016/j.msec.2020.110939. Epub 2020 Apr 8.
8
Hemocompatibility of Super-Repellent surfaces: Current and Future.超疏水表面的血液相容性:现状与未来
Mater Horiz. 2019 Oct 1;6(8):1596-1610. doi: 10.1039/C9MH00051H. Epub 2019 May 15.
9
Phospholipid-induced silk fibroin hydrogels and their potential as cell carriers for tissue regeneration.磷脂诱导丝素蛋白水凝胶及其作为组织再生细胞载体的潜力。
J Tissue Eng Regen Med. 2020 Jan;14(1):160-172. doi: 10.1002/term.2982. Epub 2019 Nov 10.
10
3D printing of silk fibroin-based hybrid scaffold treated with platelet rich plasma for bone tissue engineering.用于骨组织工程的富含血小板血浆处理的丝素蛋白基混合支架的3D打印
Bioact Mater. 2019 Sep 25;4:256-260. doi: 10.1016/j.bioactmat.2019.09.001. eCollection 2019 Dec.