• 文献检索
  • 文档翻译
  • 深度研究
  • 学术资讯
  • Suppr Zotero 插件Zotero 插件
  • 邀请有礼
  • 套餐&价格
  • 历史记录
应用&插件
Suppr Zotero 插件Zotero 插件浏览器插件Mac 客户端Windows 客户端微信小程序
定价
高级版会员购买积分包购买API积分包
服务
文献检索文档翻译深度研究API 文档MCP 服务
关于我们
关于 Suppr公司介绍联系我们用户协议隐私条款
关注我们

Suppr 超能文献

核心技术专利:CN118964589B侵权必究
粤ICP备2023148730 号-1Suppr @ 2026

文献检索

告别复杂PubMed语法,用中文像聊天一样搜索,搜遍4000万医学文献。AI智能推荐,让科研检索更轻松。

立即免费搜索

文件翻译

保留排版,准确专业,支持PDF/Word/PPT等文件格式,支持 12+语言互译。

免费翻译文档

深度研究

AI帮你快速写综述,25分钟生成高质量综述,智能提取关键信息,辅助科研写作。

立即免费体验

合成及表征具有大立方 ZrNi 纳米粒子的金属玻璃态 Cu-Zr-Ni 粉末,用于潜在的抗菌膜涂层应用。

Synthesis, and characterization of metallic glassy Cu-Zr-Ni powders decorated with big cube ZrNi nanoparticles for potential antibiofilm coating applications.

机构信息

Biotechnology Program, Environment & Life Science Research Center, Kuwait Institute for Scientific Research, 13109, Kuwait, Kuwait.

Nanotechnology and Advanced Materials Program Energy and Building Research Center, Kuwait Institute for Scientific Research, 13109, Kuwait, Kuwait.

出版信息

Sci Rep. 2022 Aug 1;12(1):13163. doi: 10.1038/s41598-022-17471-x.

DOI:10.1038/s41598-022-17471-x
PMID:35915147
原文链接:https://pmc.ncbi.nlm.nih.gov/articles/PMC9343606/
Abstract

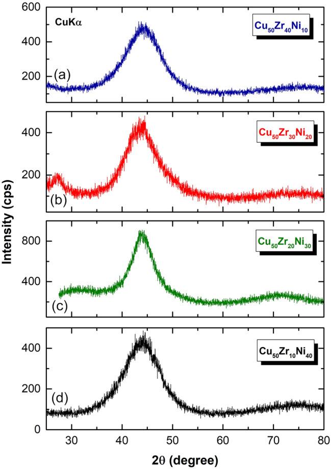
Biofilms, are significant component that contributes to the development of chronic infections, especially when medical devices are involved. This issue offers a huge challenge for the medical community since standard antibiotics are only capable of eradicating biofilms to a very limited degree. The prevention of biofilm formation have led to the development of a variety of coating methods and new materials. These methods are intended to coat surfaces in such a way as to inhibit the formation of biofilm. Metallic glassy alloys, in particular, alloys that include copper and titanium metals have gained popularity as desirable antibacterial coating. Meanwhile, there has been a rise in the use of the cold spray coating technique due to the fact that it is a proper approach for processing temperature-sensitive materials. The present study was carried out in part with the intention of developing a new antibiofilm metallic glassy consisting of ternary Cu-Zr-Ni using mechanical alloying technique. The spherical powders that comprised the end-product were utilized as feedstock materials for cold spray coatings to stainless steel surfaces at low temperature. When compared to stainless steel, substrates coated with metallic glassy were able to significantly reduce the formation of biofilm by at least one log.

摘要

生物膜是导致慢性感染的重要因素,尤其是涉及医疗器械时。这个问题给医学界带来了巨大的挑战,因为标准抗生素只能在非常有限的程度上消除生物膜。为了防止生物膜的形成,已经开发出了各种涂层方法和新材料。这些方法旨在通过抑制生物膜的形成来涂覆表面。非晶态合金,特别是包含铜和钛金属的合金,已成为理想的抗菌涂层而受到欢迎。同时,由于冷喷涂涂层技术是处理对温度敏感的材料的适当方法,因此其使用有所增加。本研究部分旨在使用机械合金化技术开发由三元 Cu-Zr-Ni 组成的新型抗生物膜非晶态合金。最终产物的球形粉末被用作低温下不锈钢表面冷喷涂涂层的原料。与不锈钢相比,涂有非晶态合金的基底至少能将生物膜的形成减少一个对数级。

https://cdn.ncbi.nlm.nih.gov/pmc/blobs/76fd/9343606/f1f389e67f2d/41598_2022_17471_Fig17_HTML.jpg
https://cdn.ncbi.nlm.nih.gov/pmc/blobs/76fd/9343606/db348434fa6b/41598_2022_17471_Fig1_HTML.jpg
https://cdn.ncbi.nlm.nih.gov/pmc/blobs/76fd/9343606/ac7d30bf04fa/41598_2022_17471_Fig2_HTML.jpg
https://cdn.ncbi.nlm.nih.gov/pmc/blobs/76fd/9343606/def7546f9fa8/41598_2022_17471_Fig3_HTML.jpg
https://cdn.ncbi.nlm.nih.gov/pmc/blobs/76fd/9343606/667937406369/41598_2022_17471_Fig4_HTML.jpg
https://cdn.ncbi.nlm.nih.gov/pmc/blobs/76fd/9343606/646e1bea120a/41598_2022_17471_Fig5_HTML.jpg
https://cdn.ncbi.nlm.nih.gov/pmc/blobs/76fd/9343606/cc8a86f75bd9/41598_2022_17471_Fig6_HTML.jpg
https://cdn.ncbi.nlm.nih.gov/pmc/blobs/76fd/9343606/8f2c53dc989d/41598_2022_17471_Fig7_HTML.jpg
https://cdn.ncbi.nlm.nih.gov/pmc/blobs/76fd/9343606/73fdcf72088e/41598_2022_17471_Fig8_HTML.jpg
https://cdn.ncbi.nlm.nih.gov/pmc/blobs/76fd/9343606/9f4039cd60d3/41598_2022_17471_Fig9_HTML.jpg
https://cdn.ncbi.nlm.nih.gov/pmc/blobs/76fd/9343606/b25baa1d06fe/41598_2022_17471_Fig10_HTML.jpg
https://cdn.ncbi.nlm.nih.gov/pmc/blobs/76fd/9343606/5cd55b3eb6e4/41598_2022_17471_Fig11_HTML.jpg
https://cdn.ncbi.nlm.nih.gov/pmc/blobs/76fd/9343606/450006649509/41598_2022_17471_Fig12_HTML.jpg
https://cdn.ncbi.nlm.nih.gov/pmc/blobs/76fd/9343606/826f2da9b5cc/41598_2022_17471_Fig13_HTML.jpg
https://cdn.ncbi.nlm.nih.gov/pmc/blobs/76fd/9343606/2b51adc7f812/41598_2022_17471_Fig14_HTML.jpg
https://cdn.ncbi.nlm.nih.gov/pmc/blobs/76fd/9343606/84feb9cddab4/41598_2022_17471_Fig15_HTML.jpg
https://cdn.ncbi.nlm.nih.gov/pmc/blobs/76fd/9343606/81d1f12820e8/41598_2022_17471_Fig16_HTML.jpg
https://cdn.ncbi.nlm.nih.gov/pmc/blobs/76fd/9343606/f1f389e67f2d/41598_2022_17471_Fig17_HTML.jpg
https://cdn.ncbi.nlm.nih.gov/pmc/blobs/76fd/9343606/db348434fa6b/41598_2022_17471_Fig1_HTML.jpg
https://cdn.ncbi.nlm.nih.gov/pmc/blobs/76fd/9343606/ac7d30bf04fa/41598_2022_17471_Fig2_HTML.jpg
https://cdn.ncbi.nlm.nih.gov/pmc/blobs/76fd/9343606/def7546f9fa8/41598_2022_17471_Fig3_HTML.jpg
https://cdn.ncbi.nlm.nih.gov/pmc/blobs/76fd/9343606/667937406369/41598_2022_17471_Fig4_HTML.jpg
https://cdn.ncbi.nlm.nih.gov/pmc/blobs/76fd/9343606/646e1bea120a/41598_2022_17471_Fig5_HTML.jpg
https://cdn.ncbi.nlm.nih.gov/pmc/blobs/76fd/9343606/cc8a86f75bd9/41598_2022_17471_Fig6_HTML.jpg
https://cdn.ncbi.nlm.nih.gov/pmc/blobs/76fd/9343606/8f2c53dc989d/41598_2022_17471_Fig7_HTML.jpg
https://cdn.ncbi.nlm.nih.gov/pmc/blobs/76fd/9343606/73fdcf72088e/41598_2022_17471_Fig8_HTML.jpg
https://cdn.ncbi.nlm.nih.gov/pmc/blobs/76fd/9343606/9f4039cd60d3/41598_2022_17471_Fig9_HTML.jpg
https://cdn.ncbi.nlm.nih.gov/pmc/blobs/76fd/9343606/b25baa1d06fe/41598_2022_17471_Fig10_HTML.jpg
https://cdn.ncbi.nlm.nih.gov/pmc/blobs/76fd/9343606/5cd55b3eb6e4/41598_2022_17471_Fig11_HTML.jpg
https://cdn.ncbi.nlm.nih.gov/pmc/blobs/76fd/9343606/450006649509/41598_2022_17471_Fig12_HTML.jpg
https://cdn.ncbi.nlm.nih.gov/pmc/blobs/76fd/9343606/826f2da9b5cc/41598_2022_17471_Fig13_HTML.jpg
https://cdn.ncbi.nlm.nih.gov/pmc/blobs/76fd/9343606/2b51adc7f812/41598_2022_17471_Fig14_HTML.jpg
https://cdn.ncbi.nlm.nih.gov/pmc/blobs/76fd/9343606/84feb9cddab4/41598_2022_17471_Fig15_HTML.jpg
https://cdn.ncbi.nlm.nih.gov/pmc/blobs/76fd/9343606/81d1f12820e8/41598_2022_17471_Fig16_HTML.jpg
https://cdn.ncbi.nlm.nih.gov/pmc/blobs/76fd/9343606/f1f389e67f2d/41598_2022_17471_Fig17_HTML.jpg

相似文献

1
Synthesis, and characterization of metallic glassy Cu-Zr-Ni powders decorated with big cube ZrNi nanoparticles for potential antibiofilm coating applications.合成及表征具有大立方 ZrNi 纳米粒子的金属玻璃态 Cu-Zr-Ni 粉末,用于潜在的抗菌膜涂层应用。
Sci Rep. 2022 Aug 1;12(1):13163. doi: 10.1038/s41598-022-17471-x.
2
Potential applications of cold sprayed Cu50Ti20Ni30 metallic glassy alloy powders for antibacterial protective coating in medical and food sectors.冷喷涂Cu50Ti20Ni30金属玻璃合金粉末在医疗和食品领域抗菌防护涂层中的潜在应用。
J Mech Behav Biomed Mater. 2016 Mar;56:183-194. doi: 10.1016/j.jmbbm.2015.11.030. Epub 2015 Dec 3.
3
Mechanical Alloying Integrated with Cold Spray Coating for Fabrication Cu(TiNi), x; 10, 20, 30, and 40 at.% Antibiofilm Metallic Glass Coated/SUS304 Sheets.机械合金化与冷喷涂涂层相结合制备Cu(TiNi),x为10、20、30和40原子百分比的抗生物膜金属玻璃涂层/SUS304板材。
Nanomaterials (Basel). 2022 May 14;12(10):1681. doi: 10.3390/nano12101681.
4
Inhibition of Staphylococcus epidermidis biofilm by trimethylsilane plasma coating.三甲基硅烷等离子体涂层对表皮葡萄球菌生物膜的抑制作用。
Antimicrob Agents Chemother. 2012 Nov;56(11):5923-37. doi: 10.1128/AAC.01739-12. Epub 2012 Sep 10.
5
Zirconium Nitride Coating Reduced Staphylococcus epidermidis Biofilm Formation on Orthopaedic Implant Surfaces: An In Vitro Study.氮化锆涂层减少骨科植入物表面表皮葡萄球菌生物膜的形成:一项体外研究。
Clin Orthop Relat Res. 2019 Feb;477(2):461-466. doi: 10.1097/CORR.0000000000000568.
6
Functional behavior of chitosan/gelatin/silica-gentamicin coatings by electrophoretic deposition on surgical grade stainless steel.通过电泳沉积在手术级不锈钢上的壳聚糖/明胶/硅烷-庆大霉素涂层的功能行为。
Mater Sci Eng C Mater Biol Appl. 2020 Oct;115:111062. doi: 10.1016/j.msec.2020.111062. Epub 2020 May 7.
7
In vitro testing of a first-in-class tri-alkylnorspermidine-biaryl antibiotic in an anti-biofilm silicone coating.在具有抗生物膜功能的硅酮涂层中对一类新型三烷基去甲精胺-联苯抗生素进行体外测试。
Acta Biomater. 2019 Jul 15;93:25-35. doi: 10.1016/j.actbio.2019.02.010. Epub 2019 Feb 12.
8
In vitro corrosion behavior of bioceramic, metallic, and bioceramic-metallic coated stainless steel dental implants.生物陶瓷、金属及生物陶瓷-金属涂层不锈钢牙科植入物的体外腐蚀行为
Dent Mater. 2003 May;19(3):188-98. doi: 10.1016/s0109-5641(02)00029-5.
9
In vitro assessment of stainless steel orthodontic brackets coated with titanium oxide mixed Ag for anti-adherent and antibacterial properties against Streptococcus mutans and Porphyromonas gingivalis.体外评估不锈钢正畸托槽涂有氧化钛混合银的抗黏附和抗菌性能,以对抗变形链球菌和牙龈卟啉单胞菌。
Microb Pathog. 2017 Nov;112:190-194. doi: 10.1016/j.micpath.2017.09.052. Epub 2017 Sep 29.
10
Thermal and mechanical characteristics of stainless steel, titanium-molybdenum, and nickel-titanium archwires.不锈钢、钛钼合金和镍钛弓丝的热学和力学特性。
Am J Orthod Dentofacial Orthop. 2007 Feb;131(2):229-37. doi: 10.1016/j.ajodo.2005.05.054.

引用本文的文献

1
Critical analysis of methods to determine growth, control and analysis of biofilms for potential non-submerged antibiofilm surfaces and coatings.对用于潜在非浸没式抗生物膜表面和涂层的生物膜生长、控制及分析方法的批判性分析。
Biofilm. 2024 Feb 27;7:100187. doi: 10.1016/j.bioflm.2024.100187. eCollection 2024 Jun.

本文引用的文献

1
Mechanical Alloying Integrated with Cold Spray Coating for Fabrication Cu(TiNi), x; 10, 20, 30, and 40 at.% Antibiofilm Metallic Glass Coated/SUS304 Sheets.机械合金化与冷喷涂涂层相结合制备Cu(TiNi),x为10、20、30和40原子百分比的抗生物膜金属玻璃涂层/SUS304板材。
Nanomaterials (Basel). 2022 May 14;12(10):1681. doi: 10.3390/nano12101681.
2
Antimicrobial adhesive films by plasma-enabled polymerisation of m-cresol.利用间甲酚的等离子体聚合作用制备抗菌黏附膜。
Sci Rep. 2022 May 9;12(1):7560. doi: 10.1038/s41598-022-11400-8.
3
The role of surface copper content on biofilm formation by drinking water bacteria.
表面铜含量对饮用水细菌生物膜形成的作用。
RSC Adv. 2019 Oct 9;9(55):32184-32196. doi: 10.1039/c9ra05880j. eCollection 2019 Oct 7.
4
Enhanced antibacterial behavior of a novel Cu-bearing high-entropy alloy.一种新型含铜高熵合金的增强抗菌性能
J Mater Sci Technol. 2022 Aug 1;117:158-166. doi: 10.1016/j.jmst.2022.02.001. Epub 2022 Feb 8.
5
Bacterial adhesion to biomaterials: What regulates this attachment? A review.细菌对生物材料的粘附:是什么调节这种附着?综述。
Jpn Dent Sci Rev. 2021 Nov;57:85-96. doi: 10.1016/j.jdsr.2021.05.003. Epub 2021 Jun 12.
6
Cold Gas-Dynamic Spray for Catalyzation of Plastically Deformed Mg-Strips with Ni Powder.用于用镍粉催化塑性变形镁带的冷气体动力喷涂
Nanomaterials (Basel). 2021 Apr 29;11(5):1169. doi: 10.3390/nano11051169.
7
Antibacterial Layer-by-Layer Coatings for Medical Implants.用于医疗植入物的抗菌逐层涂层
Pharmaceutics. 2020 Dec 24;13(1):16. doi: 10.3390/pharmaceutics13010016.
8
Smart antimicrobial efficacy employing pH-sensitive ZnO-doped diamond-like carbon coatings.采用 pH 敏感 ZnO 掺杂类金刚石碳涂层实现智能抗菌效果。
Sci Rep. 2019 Nov 21;9(1):17246. doi: 10.1038/s41598-019-53521-7.
9
Mechanical Alloying: A Novel Technique to Synthesize Advanced Materials.机械合金化:一种合成先进材料的新技术。
Research (Wash D C). 2019 May 30;2019:4219812. doi: 10.34133/2019/4219812. eCollection 2019.
10
Studies of Black Diamond as an antibacterial surface for Gram Negative bacteria: the interplay between chemical and mechanical bactericidal activity.黑钻石作为革兰氏阴性菌抗菌表面的研究:化学和机械杀菌活性的相互作用。
Sci Rep. 2019 Jun 19;9(1):8815. doi: 10.1038/s41598-019-45280-2.