Suppr超能文献

金属碎片植入的Sprague-Dawley大鼠腓肠肌中的氧化损伤

Oxidative damage in metal fragment-embedded Sprague-Dawley rat gastrocnemius muscle.

作者信息

Kalinich John F, Vergara Vernieda B, Hoffman Jessica F

机构信息

Internal Contamination and Metal Toxicity Program, Armed Forces Radiobiology Research Institute, Uniformed Services University, 4555 South Palmer Road, Bethesda, MD 20889-5648, USA.

出版信息

Curr Res Toxicol. 2022 Jul 25;3:100083. doi: 10.1016/j.crtox.2022.100083. eCollection 2022.

Abstract

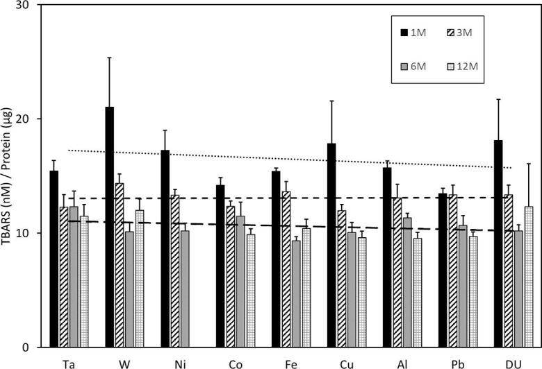
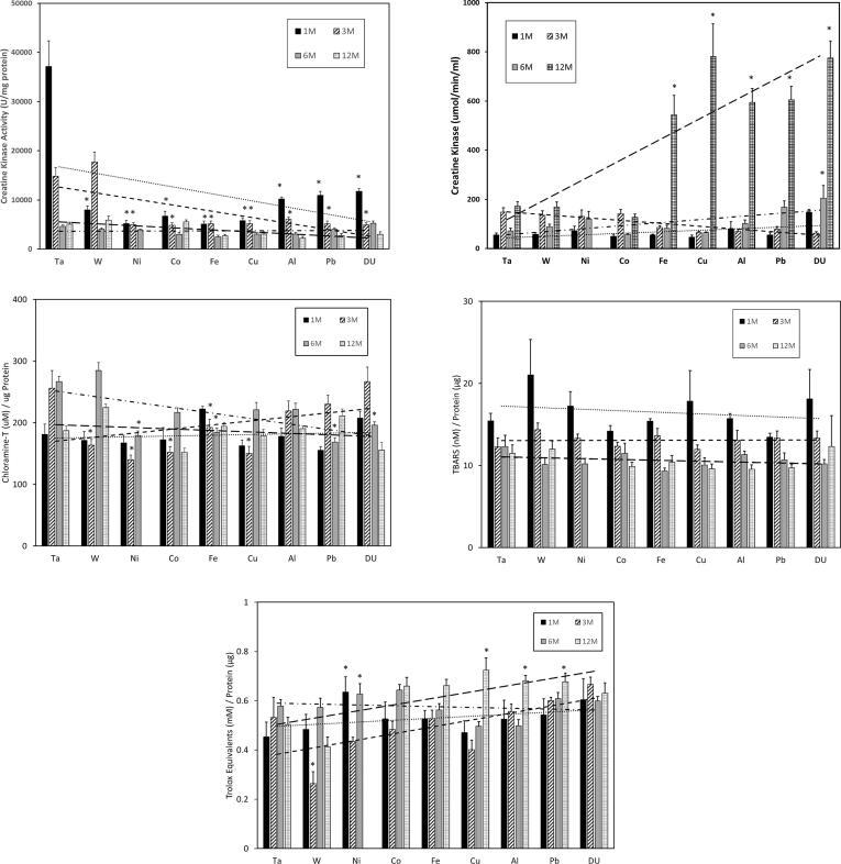
Injuries suffered in armed conflicts often result in wounds with embedded metal fragments. Standard surgical guidance has been to leave fragments in place except under certain circumstances; meaning that individuals may carry these retained fragments for their lifetime. Because of advancements in weapon design and the use of improvised explosive devices, the list of metals that could be found in a wound is extensive. In most cases the toxicological properties of these metals when embedded in the body are not known. To assess the potential damage embedded metals may cause to surrounding tissue, we utilized a rodent model to investigate the effect of a variety of military-relevant metals on markers of oxidative damage. The metals tested included tungsten, nickel, cobalt, iron, copper, aluminum, lead, and depleted uranium. Herein we report our findings on creatine kinase activity, lipid and protein oxidation, total antioxidant capacity, and glutathione levels in gastrocnemius homogenates from Sprague-Dawley rats surgically implanted with metal pellets for periods up to 12 months. Not all embedded metals affected the measured markers equally. However, metal-associated effects were seen at various times for muscle and serum creatinine levels, protein oxidation, total antioxidant capacity, and glutathione levels. No metal-induced effects on lipid peroxidation were observed. Taken together, these data suggest that subtle oxidative damage may be occurring in the muscle surrounding an embedded metal and indicates the need for medical surveillance of those individuals wounded by metal shrapnel.

摘要

武装冲突中遭受的伤害往往会导致伤口内嵌金属碎片。标准的外科手术指南是,除非在某些特定情况下,否则应将碎片留在体内;这意味着个体可能会终生携带这些留存的碎片。由于武器设计的进步以及简易爆炸装置的使用,伤口中可能发现的金属种类繁多。在大多数情况下,这些金属嵌入体内后的毒理学特性尚不清楚。为了评估嵌入金属可能对周围组织造成的潜在损害,我们利用啮齿动物模型来研究多种与军事相关的金属对氧化损伤标志物的影响。所测试的金属包括钨、镍、钴、铁、铜、铝、铅和贫铀。在此,我们报告了对Sprague-Dawley大鼠进行手术植入金属颗粒长达12个月后,其腓肠肌匀浆中肌酸激酶活性、脂质和蛋白质氧化、总抗氧化能力以及谷胱甘肽水平的研究结果。并非所有嵌入的金属对所测标志物的影响都相同。然而,在不同时间观察到了与金属相关的对肌肉和血清肌酐水平、蛋白质氧化、总抗氧化能力以及谷胱甘肽水平的影响。未观察到金属对脂质过氧化的诱导作用。综上所述,这些数据表明,嵌入金属周围的肌肉可能正在发生细微的氧化损伤,并表明有必要对那些被金属弹片击伤的个体进行医学监测。

https://cdn.ncbi.nlm.nih.gov/pmc/blobs/6314/9352525/1831bb635aea/ga1.jpg

文献AI研究员

20分钟写一篇综述,助力文献阅读效率提升50倍。

立即体验

用中文搜PubMed

大模型驱动的PubMed中文搜索引擎

马上搜索

文档翻译

学术文献翻译模型,支持多种主流文档格式。

立即体验