Chen Jianhai, Yan Zhengpeng, Li Zhongyuan, Dai Shengyu
Analysis and Testing Center, NERC Biomass of Changzhou University, Changzhou University, Changzhou 213164, China.
School of Chemical and Environmental Engineering, Anhui Polytechnic University, Wuhu 241000, China.
Polymers (Basel). 2022 Jul 28;14(15):3049. doi: 10.3390/polym14153049.
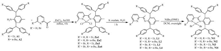
Chain-end functionalized polymers play an important role in the field of building complex macromolecular structures. In this study, we have synthesized and characterized four dibenzhydryl iminopyridine Ni(II) complexes bearing remote flexible substituents (Et and n-Bu) to provide hyperbranched ethylene oligomers in ethylene oligomerization with moderate to good activities. Most notably, toluene-end-functionalized hyperbranched ethylene oligomers were obtained under elevated temperature conditions and validated by NMR. The tandem catalysis of ethylene oligomerization and the subsequent Friedel-Crafts addition of the resulting unsaturated products to toluene molecules was proposed as the cause of the observed phenomenon.
链端官能化聚合物在构建复杂大分子结构领域发挥着重要作用。在本研究中,我们合成并表征了四种带有远程柔性取代基(乙基和正丁基)的二苯甲基亚氨基吡啶镍(II)配合物,以便在乙烯齐聚反应中以中等到良好的活性提供超支化乙烯低聚物。最值得注意的是,在高温条件下获得了甲苯端官能化的超支化乙烯低聚物,并通过核磁共振进行了验证。乙烯齐聚反应的串联催化以及随后将所得不饱和产物对甲苯分子进行傅克加成反应被认为是观察到该现象的原因。