Suppr超能文献

夜间身体活动与全因死亡率和心血管死亡率的关联:美国国家健康与营养检查调查结果

Association of nighttime physical activity with all-cause and cardiovascular mortality: Results from the NHANES.

作者信息

Yi Jiayi, Wang Lili, Guo Jiajun, Sun Ping, Shuai Ping, Ma Xiaoxiang, Zuo Xiaojiao, Liu Yuping, Wan Zhengwei

机构信息

Department of Cardiology, Fuwai Hospital, National Center for Cardiovascular Diseases, Chinese Academy of Medical Sciences and Peking Union Medical College, Beijing, China.

Department of Cardiology, West China Hospital, Sichuan University, Chengdu, China.

出版信息

Front Cardiovasc Med. 2022 Aug 5;9:918996. doi: 10.3389/fcvm.2022.918996. eCollection 2022.

Abstract

BACKGROUND

Nighttime physical activity (PA) has significant effects on human health. Whether excessive nighttime PA is associated with adverse long-term prognosis remains unknown.

METHODS

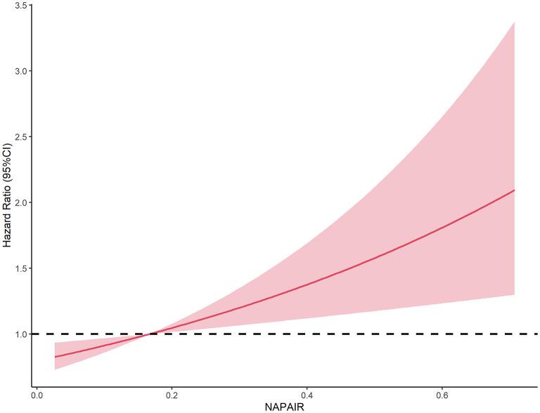
Three thousand six hundred ninety adults from the US National Health and Nutrition Examination Survey (NHANES) 2003-2006 with accelerometer monitor recording PA data were included. Nighttime PA was quantified by the nighttime to all-day PA intensity ratio (NAPAIR). Participants with the NAPAIR above the population median (0.17) were defined as the nighttime active population (NAP), otherwise as the daytime active population. All-cause and cardiovascular disease mortality status was acquired from the US National Death Index from their interview and physical examination date through December 31, 2015.

RESULTS

Among 3690 adults (weighted mean age 48.1 years), 1781 (weighted proportion 48.8%) were females. One thousand eight hundred six (48.9%) were determined as the NAP. During the follow-up period of up to 13.1 years (median, 10.7 years), 639 deaths occurred (heart diseases, 114). Multivariable Cox proportional hazards model showed that the NAP was associated with higher risks of all-cause (hazard ratio [HR], 1.46; 95% confidence interval [CI], 1.22-1.75) and cardiovascular disease (HR, 1.58; 95% CI, 1.03-2.41) mortality compared with the daytime active population, and each 0.1 increase in the NAPAIR was associated with 15% increased all-cause mortality risks.

CONCLUSION

In this nationally representative prospective cohort study of a sample of United States adults, excessive nighttime PA was associated with a higher risk of death from all causes and cardiovascular disease.

摘要

背景

夜间身体活动(PA)对人类健康有重大影响。过度夜间PA是否与不良长期预后相关仍不清楚。

方法

纳入了来自2003 - 2006年美国国家健康与营养检查调查(NHANES)的3690名成年人,他们通过加速度计监测记录了PA数据。夜间PA通过夜间与全天PA强度比(NAPAIR)进行量化。NAPAIR高于人群中位数(0.17)的参与者被定义为夜间活跃人群(NAP),否则为白天活跃人群。全因和心血管疾病死亡状况从美国国家死亡指数中获取,时间范围是从他们的访谈和体检日期到2015年12月31日。

结果

在3690名成年人中(加权平均年龄48.1岁),1781名(加权比例48.8%)为女性。1806名(48.9%)被确定为NAP。在长达13.1年(中位数为10.7年)的随访期内,发生了639例死亡(心脏病114例)。多变量Cox比例风险模型显示,与白天活跃人群相比,NAP与全因死亡(风险比[HR],1.46;95%置信区间[CI],1.22 - 1.75)和心血管疾病死亡(HR,1.58;95% CI,1.03 - 2.41)的更高风险相关,并且NAPAIR每增加0.1与全因死亡风险增加15%相关。

结论

在这项对美国成年人样本进行的具有全国代表性的前瞻性队列研究中,过度夜间PA与全因和心血管疾病死亡的较高风险相关。

https://cdn.ncbi.nlm.nih.gov/pmc/blobs/7bd9/9388927/3bfa372e77d4/fcvm-09-918996-g0001.jpg

文献AI研究员

20分钟写一篇综述,助力文献阅读效率提升50倍。

立即体验

用中文搜PubMed

大模型驱动的PubMed中文搜索引擎

马上搜索

文档翻译

学术文献翻译模型,支持多种主流文档格式。

立即体验