Huang Ping, Huang Jia-Huan, Zheng Ya-Bing, Cao Wen-Ming, Shao Xi-Ying, Chen Jun-Qing, Huang Yuan, Li Guang-Liang, Sharma K, Zhou Huan-Huan, Wang Xiao-Jia, Jin Hong-Chuan, Chen Zhan-Hong
Department of Breast Medical Oncology, The Cancer Hospital of the University of Chinese Academy of Sciences (Zhejiang Cancer Hospital), Institute of Basic Medicine and Cancer (IBMC), Chinese Academy of Sciences, Hangzhou, China.
Department of Internal Medicine, Second Clinical Medical College of Zhejiang Chinese Medical University, Hangzhou, China.
Front Pharmacol. 2022 Aug 4;13:883600. doi: 10.3389/fphar.2022.883600. eCollection 2022.
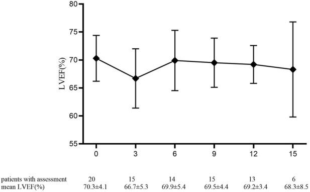
Cardiotoxicity associated with the sequential use of anthracyclines followed by trastuzumab is common in adjuvant therapy of patients with HER2-positive early breast cancer (eBC). However, the cardiac safety of trastuzumab concurrent with pegylated liposomal doxorubicin (PLD) is relatively less studied. Clinical data of patients with HER2-positive eBC treated with PLD and cyclophosphamide (PLD-C) followed by taxanes plus trastuzumab ± pertuzumab (TH or TPH) who then completed standard anti-HER2 treatment for 12 months from June 2012 to August 2021 were retrospectively collected. The primary endpoints were clinical and subclinical cardiotoxicity. In total, 70 eligible patients were enrolled. Among them, 55 patients (78.6%) received PLD-C → TH and 15 patients (21.4%) received PLD-C → TPH. The median follow-up time was 41.8 months. Until August 2021, only two patients had recurrent or metastatic diseases, with 2-year and 5-year disease-free survivals of 98.6% and 96.8%, respectively. Clinical cardiotoxicity occurred in six patients (8.6%), and all of them had an absolute decline of ≥16% from baseline left ventricular ejection fraction (LVEF) but not below the lower limit of normal (LLN = 50%). Subclinical cardiotoxicity events occurred in 17 patients (24.3%), and all of them had absolute declines of ≥10% and <16% from baseline LVEF but not below the LLN. No patients were interrupted from treatment, and all patients completed anti-HER2 treatment for 12 months. The sharpest decrease in LVEF was observed at 18 months after the start of PLD treatment. The cumulative incidences of clinical and subclinical cardiotoxicity were 9.8% and 28.3%, respectively. In the univariate analysis, body mass index, age, left chest wall radiotherapy, and ongoing cardiovascular risk factors were not significantly associated with clinical or subclinical cardiotoxicity ( > 0.05). No patients had congestive heart failure or death caused by PLD or anti-HER2 treatment. The sequential use of PLD and trastuzumab showed a lower incidence of clinical cardiotoxicity, presented as asymptomatic decreased LVEF, compared with the results obtained in previous clinical studies using conventional anthracycline, taxanes and trastuzumab. The study regimen demonstrated good cardiac tolerance and is an alternative strategy for cardioprotection in patients with HER2-positive eBC.
在HER2阳性早期乳腺癌(eBC)患者的辅助治疗中,蒽环类药物序贯曲妥珠单抗使用时的心脏毒性很常见。然而,曲妥珠单抗与聚乙二醇化脂质体阿霉素(PLD)同时使用时的心脏安全性研究相对较少。回顾性收集了2012年6月至2021年8月期间接受PLD联合环磷酰胺(PLD-C)治疗,随后接受紫杉烷类药物加曲妥珠单抗±帕妥珠单抗(TH或TPH)治疗,然后完成12个月标准抗HER2治疗的HER2阳性eBC患者的临床数据。主要终点为临床和亚临床心脏毒性。总共纳入了70例符合条件的患者。其中,55例患者(78.6%)接受PLD-C→TH治疗,15例患者(21.4%)接受PLD-C→TPH治疗。中位随访时间为41.8个月。截至2021年8月,仅有2例患者出现复发或转移性疾病,2年和5年无病生存率分别为98.6%和96.8%。6例患者(8.6%)发生临床心脏毒性,所有患者的左心室射血分数(LVEF)较基线绝对下降≥