Suppr超能文献

后路 Harrington 手术治疗复杂髋臼转移性病变患者的功能和生存结局。

Functional and Survival Outcomes of Patients following the Harrington Procedure for Complex Acetabular Metastatic Lesions.

机构信息

Clinique Chirurgicale Orthopédique et Traumatologique, Nantes Université, CHU Nantes, 1 Place Alexis Ricordeau, 44000 Nantes, France.

Département de Chirurgie, Centre de Lutte Contre le Cancer Léon Bérard, 69008 Lyon, France.

出版信息

Curr Oncol. 2022 Aug 19;29(8):5875-5890. doi: 10.3390/curroncol29080464.

Abstract

BACKGROUND

The Harrington surgical technique makes it possible to manage complex, extensive bone lesions using pins and cement to consolidate bone for acetabular cup positioning. However, it may be associated with a high reoperation rate, and the functional results of this surgery are not precisely described in the literature.

METHODS

In a monocentric retrospective study including all patients operated on using the Harrington procedure associated with THA between 2005 and 2020, we aimed to assess preoperative and postoperative function, reoperation-free survival, and overall survival.

RESULTS

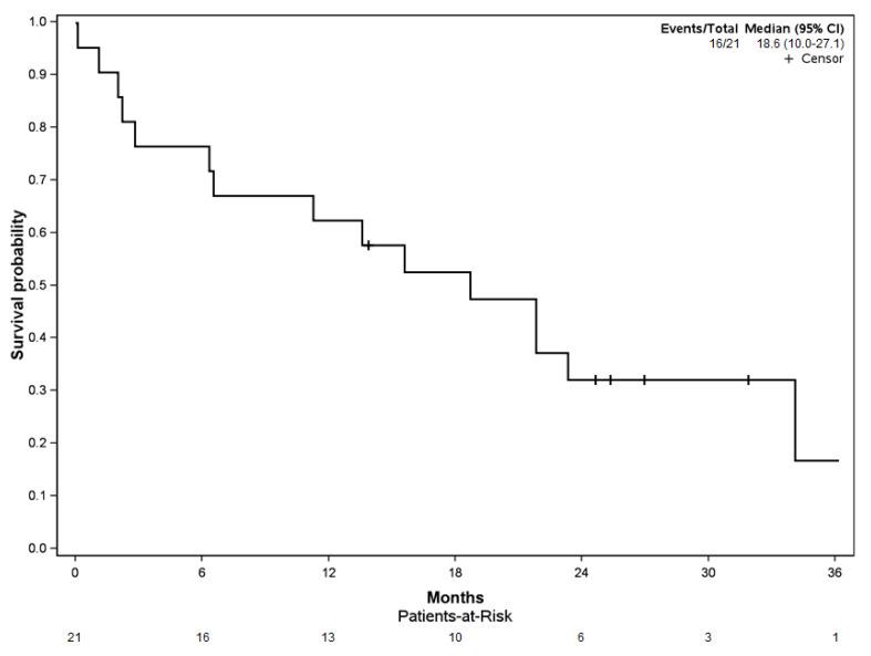
Functional improvement was significant for Parker scores (preoperative: 3.6 ± 2.0; 6-month follow-up: 6.6 ± 3.2; 12-month follow-up: 7.6 ± 2.1) and Musculoskeletal Tumor Society (MSTS) scores (preoperative: 31.1 ± 16.2%; 6-month follow-up: 67.7 ± 30.6%; 12-month follow-up: 82.4 ± 24.0%). Of the 21 patients included, the reoperation-free survival rate was 76.1% [CI 95%: 58.1-99.7] at six and twelve months, with the main complications being pin migration (50.0%) and infection (25%). The patient overall survival rate was 76.2% [95% CI: 59.9-96.7] at six months and 61.9% [95% CI: 59.9-96.7] at 12 months.

DISCUSSION

These results underlined significant functional improvements following a conventional Harrington procedure, with acceptable reoperation rates.

摘要

背景

哈林顿手术技术通过使用钢针和骨水泥固定骨块来强化髋臼杯的位置,从而实现对复杂、广泛骨病变的处理。然而,该技术可能与较高的再次手术率相关,且其手术功能结果在文献中并未得到准确描述。

方法

本单中心回顾性研究纳入了 2005 年至 2020 年间接受哈林顿手术联合全髋关节置换术的所有患者,旨在评估术前和术后功能、无再次手术生存率和总体生存率。

结果

帕克评分(术前:3.6 ± 2.0;术后 6 个月:6.6 ± 3.2;术后 12 个月:7.6 ± 2.1)和肌肉骨骼肿瘤学会(MSTS)评分(术前:31.1 ± 16.2%;术后 6 个月:67.7 ± 30.6%;术后 12 个月:82.4 ± 24.0%)均有显著改善。21 例患者中,6 个月和 12 个月时无再次手术生存率分别为 76.1%(95%CI:58.1-99.7),主要并发症为钢针迁移(50.0%)和感染(25.0%)。患者总体生存率在 6 个月时为 76.2%(95%CI:59.9-96.7),12 个月时为 61.9%(95%CI:59.9-96.7)。

讨论

这些结果强调了常规哈林顿手术的显著功能改善,并具有可接受的再次手术率。

https://cdn.ncbi.nlm.nih.gov/pmc/blobs/a590/9406529/1b7282bcdcad/curroncol-29-00464-g001.jpg

文献检索

告别复杂PubMed语法,用中文像聊天一样搜索,搜遍4000万医学文献。AI智能推荐,让科研检索更轻松。

立即免费搜索

文件翻译

保留排版,准确专业,支持PDF/Word/PPT等文件格式,支持 12+语言互译。

免费翻译文档

深度研究

AI帮你快速写综述,25分钟生成高质量综述,智能提取关键信息,辅助科研写作。

立即免费体验