Suppr超能文献

电渗析法海水淡化性能研究

Study of the Seawater Desalination Performance by Electrodialysis.

作者信息

Shi Jihong, Gong Liang, Zhang Tao, Sun Shuyu

机构信息

Department of Physics, King's College London, Strand, London WC2R 2LS, UK.

Institute of New Energy, China University of Petroleum (East China), Qingdao 266580, China.

出版信息

Membranes (Basel). 2022 Aug 5;12(8):767. doi: 10.3390/membranes12080767.

Abstract

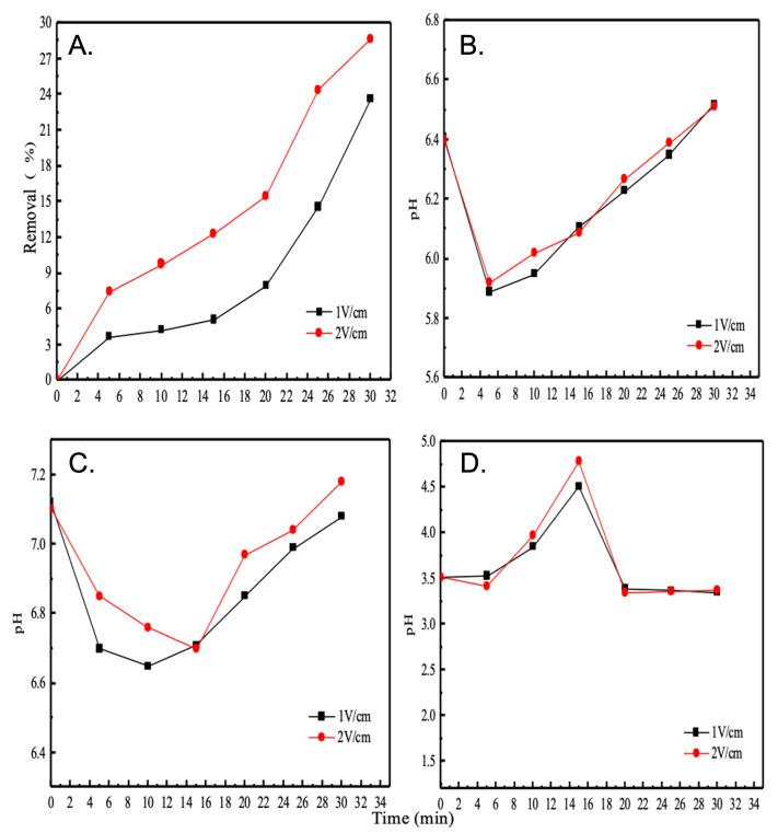
The global scarcity of freshwater resources has greatly contributed to the development of desalination technologies, in which electrodialysis desalination is one of the most widely used and highly regarded methods. In this work, the first step was to design and assemble a experiment module for electrodialysis desalination. The ion removal efficiency and single membrane mass transfer flux of electrodialysis desalination were investigated. The results show that the desalination performance of the module is improved by increasing the voltage gradient, increasing the concentration of seawater and electrolyte and decreasing the membrane surface flux and that the optimum operating conditions for the module at 24 V operating voltage are feedstock concentration of 35 g/L, electrolyte concentration of 1.42 g/L which and system flow rate of 15 L/h. The results of the study will help to better investigate electrodialysis desalination technology.

摘要

全球淡水资源的稀缺极大地推动了海水淡化技术的发展,其中电渗析脱盐是应用最广泛且备受推崇的方法之一。在这项工作中,第一步是设计并组装一个用于电渗析脱盐的实验模块。研究了电渗析脱盐的离子去除效率和单膜传质通量。结果表明,通过增加电压梯度、提高海水和电解质浓度以及降低膜表面通量可提高该模块的脱盐性能,且该模块在24 V工作电压下的最佳运行条件为原料浓度35 g/L、电解质浓度1.42 g/L以及系统流速15 L/h。该研究结果将有助于更好地研究电渗析脱盐技术。

https://cdn.ncbi.nlm.nih.gov/pmc/blobs/c1b4/9415671/f0bcc4d99968/membranes-12-00767-g001.jpg

文献检索

告别复杂PubMed语法,用中文像聊天一样搜索,搜遍4000万医学文献。AI智能推荐,让科研检索更轻松。

立即免费搜索

文件翻译

保留排版,准确专业,支持PDF/Word/PPT等文件格式,支持 12+语言互译。

免费翻译文档

深度研究

AI帮你快速写综述,25分钟生成高质量综述,智能提取关键信息,辅助科研写作。

立即免费体验