• 文献检索
  • 文档翻译
  • 深度研究
  • 学术资讯
  • Suppr Zotero 插件Zotero 插件
  • 邀请有礼
  • 套餐&价格
  • 历史记录
应用&插件
Suppr Zotero 插件Zotero 插件浏览器插件Mac 客户端Windows 客户端微信小程序
定价
高级版会员购买积分包购买API积分包
服务
文献检索文档翻译深度研究API 文档MCP 服务
关于我们
关于 Suppr公司介绍联系我们用户协议隐私条款
关注我们

Suppr 超能文献

核心技术专利:CN118964589B侵权必究
粤ICP备2023148730 号-1Suppr @ 2026

文献检索

告别复杂PubMed语法,用中文像聊天一样搜索,搜遍4000万医学文献。AI智能推荐,让科研检索更轻松。

立即免费搜索

文件翻译

保留排版,准确专业,支持PDF/Word/PPT等文件格式,支持 12+语言互译。

免费翻译文档

深度研究

AI帮你快速写综述,25分钟生成高质量综述,智能提取关键信息,辅助科研写作。

立即免费体验

生物炭对受酸性矿山排水影响的重金属污染土壤的修复不具有持久性。

Biochar Is Not Durable for Remediation of Heavy Metal-Contaminated Soils Affected by Acid-Mine Drainage.

作者信息

Qin Junhao, Wang Xi, Ying Jidong, Lin Chuxia

机构信息

College of Natural Resources and Environment, South China Agricultural University, Guangzhou 510642, China.

Key Laboratory of Agro-Environment in the Tropics, Ministry of Agriculture of China, Guangzhou 510642, China.

出版信息

Toxics. 2022 Aug 9;10(8):462. doi: 10.3390/toxics10080462.

DOI:10.3390/toxics10080462
PMID:36006141
原文链接:https://pmc.ncbi.nlm.nih.gov/articles/PMC9416525/
Abstract

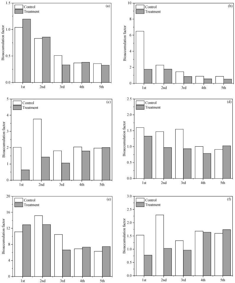
Biochar is a soil conditioner for enhancing plant growth and reducing plants' uptake of heavy metals. However, the protonation of biochar surfaces in acid soils can weaken the capacity of biochar to reduce the phytoavailability of soil-borne heavy metals over time. The aim of this study was to test this hypothesis by performing a plant-growth experiment with five harvest cycles to examine the durability of rice-straw biochar for the remediation of an acidic-mine-water-contaminated soil. The application of the biochar significantly reduced the phytoavailability of the heavy metals and inhibited the plant uptake of cationic heavy metals but not anionic Cr. The beneficial effects of the biochar were weakened with the increasing number of harvest cycles caused by the gradual protonation of the biochar surfaces, which resulted in the desorption of the adsorbed heavy metals. The weakening capacity of the biochar to reduce the heavy-metal uptake by the vegetable plants was more evident for Cu, Zn, and Pb compared to Ni and Cd. The experimental results generally confirmed the hypothesis. It was also observed that the bioaccessible amount of various metals in the edible portion of the vegetable was also reduced as a result of the biochar application.

摘要

生物炭是一种土壤改良剂,可促进植物生长并减少植物对重金属的吸收。然而,随着时间的推移,酸性土壤中生物炭表面的质子化会削弱生物炭降低土壤中重金属植物有效性的能力。本研究的目的是通过进行一个包含五个收获周期的植物生长实验来验证这一假设,以检验稻草生物炭修复酸性矿井水污染土壤的耐久性。生物炭的施用显著降低了重金属的植物有效性,并抑制了植物对阳离子重金属的吸收,但对阴离子铬没有抑制作用。由于生物炭表面逐渐质子化,导致吸附的重金属解吸,随着收获周期数的增加,生物炭的有益效果减弱。与镍和镉相比,生物炭降低蔬菜植物对铜、锌和铅重金属吸收的能力减弱更为明显。实验结果总体上证实了这一假设。还观察到,由于施用生物炭,蔬菜可食用部分中各种金属的生物可利用量也减少了。

https://cdn.ncbi.nlm.nih.gov/pmc/blobs/92dd/9416525/6e1eeaf9598c/toxics-10-00462-g003.jpg
https://cdn.ncbi.nlm.nih.gov/pmc/blobs/92dd/9416525/7025be4250f5/toxics-10-00462-g001.jpg
https://cdn.ncbi.nlm.nih.gov/pmc/blobs/92dd/9416525/c2e7ff1cb992/toxics-10-00462-g002.jpg
https://cdn.ncbi.nlm.nih.gov/pmc/blobs/92dd/9416525/6e1eeaf9598c/toxics-10-00462-g003.jpg
https://cdn.ncbi.nlm.nih.gov/pmc/blobs/92dd/9416525/7025be4250f5/toxics-10-00462-g001.jpg
https://cdn.ncbi.nlm.nih.gov/pmc/blobs/92dd/9416525/c2e7ff1cb992/toxics-10-00462-g002.jpg
https://cdn.ncbi.nlm.nih.gov/pmc/blobs/92dd/9416525/6e1eeaf9598c/toxics-10-00462-g003.jpg

相似文献

1
Biochar Is Not Durable for Remediation of Heavy Metal-Contaminated Soils Affected by Acid-Mine Drainage.生物炭对受酸性矿山排水影响的重金属污染土壤的修复不具有持久性。
Toxics. 2022 Aug 9;10(8):462. doi: 10.3390/toxics10080462.
2
Effect of bamboo and rice straw biochars on the mobility and redistribution of heavy metals (Cd, Cu, Pb and Zn) in contaminated soil.竹炭和稻草生物炭对污染土壤中重金属(镉、铜、铅和锌)迁移性及再分布的影响。
J Environ Manage. 2017 Jan 15;186(Pt 2):285-292. doi: 10.1016/j.jenvman.2016.05.068. Epub 2016 Jun 2.
3
Effect of biochar from peanut shell on speciation and availability of lead and zinc in an acidic paddy soil.花生壳生物炭对酸性水稻土中铅锌形态和生物有效性的影响。
Ecotoxicol Environ Saf. 2018 Nov 30;164:554-561. doi: 10.1016/j.ecoenv.2018.08.057. Epub 2018 Aug 24.
4
Cadmium, lead, and zinc mobility and plant uptake in a mine soil amended with sugarcane straw biochar.在添加甘蔗秸秆生物炭的矿区土壤中,镉、铅和锌的迁移性和植物吸收。
Environ Sci Pollut Res Int. 2015 Nov;22(22):17606-14. doi: 10.1007/s11356-015-4977-6. Epub 2015 Jul 7.
5
Effect of lychee biochar on the remediation of heavy metal-contaminated soil using sunflower: A field experiment.荔枝生物炭对重金属污染土壤向日葵修复效果的田间试验。
Environ Res. 2020 Sep;188:109886. doi: 10.1016/j.envres.2020.109886. Epub 2020 Jul 7.
6
Effect of biochar on the extractability of heavy metals (Cd, Cu, Pb, and Zn) and enzyme activity in soil.生物炭对土壤中重金属(镉、铜、铅和锌)的可提取性及酶活性的影响。
Environ Sci Pollut Res Int. 2016 Jan;23(2):974-84. doi: 10.1007/s11356-015-4233-0. Epub 2015 Mar 14.
7
Biochar application to a contaminated soil reduces the availability and plant uptake of zinc, lead and cadmium.将生物炭施用于受污染土壤可降低锌、铅和镉的有效性及植物对它们的吸收。
J Environ Manage. 2015 Aug 15;159:86-93. doi: 10.1016/j.jenvman.2015.05.036. Epub 2015 Jun 2.
8
Effects of biochar on availability and plant uptake of heavy metals - A meta-analysis.生物炭对重金属生物有效性及植物吸收的影响——一项荟萃分析。
J Environ Manage. 2018 Sep 15;222:76-85. doi: 10.1016/j.jenvman.2018.05.004. Epub 2018 May 25.
9
Biochar from sewage sludge and pruning trees reduced porewater Cd, Pb and Zn concentrations in acidic, but not basic, mine soils under hydric conditions.在水热条件下,来自污水污泥和修剪树木的生物炭降低了酸性矿山土壤而非碱性矿山土壤中孔隙水 Cd、Pb 和 Zn 的浓度。
J Environ Manage. 2018 Oct 1;223:554-565. doi: 10.1016/j.jenvman.2018.06.055. Epub 2018 Jun 28.
10
Does biochar application in heavy metal-contaminated soils affect soil micronutrient dynamics?生物炭在重金属污染土壤中的应用是否会影响土壤微量养分动态?
Chemosphere. 2022 Mar;290:133349. doi: 10.1016/j.chemosphere.2021.133349. Epub 2021 Dec 21.

引用本文的文献

1
Adsorption of copper(II) in biochar-humic acid-water system.生物炭-腐殖酸-水体系中铜(II)的吸附
Sci Rep. 2025 Jul 10;15(1):24948. doi: 10.1038/s41598-025-09880-5.

本文引用的文献

1
Soil rehabilitation shaped different patterns of bacterial and archaeal community in AMD-irrigated paddy soil.土壤修复塑造了 AMD 灌溉稻田中细菌和古菌群落的不同模式。
Chemosphere. 2021 Jan;263:128259. doi: 10.1016/j.chemosphere.2020.128259. Epub 2020 Sep 6.
2
Arsenic in leafy vegetable plants grown on mine water-contaminated soils: Uptake, human health risk and remedial effects of biochar.生长在受矿井水污染土壤上的叶菜类植物中的砷:吸收、对人类健康的风险及生物炭的修复作用
J Hazard Mater. 2021 Jan 15;402:123488. doi: 10.1016/j.jhazmat.2020.123488. Epub 2020 Jul 16.
3
Popular wood and sugarcane bagasse biochars reduced uptake of chromium and lead by lettuce from mine-contaminated soil.
受矿区污染土壤影响,常见木材和甘蔗渣生物炭降低了生菜对铬和铅的吸收。
Environ Pollut. 2020 Aug;263(Pt A):114446. doi: 10.1016/j.envpol.2020.114446. Epub 2020 Apr 2.
4
Biochar efficacy for reducing heavy metals uptake by Cilantro (Coriandrum sativum) and spinach (Spinaccia oleracea) to minimize human health risk.生物炭对减少香菜(芫荽)和菠菜(菠菜)吸收重金属的功效,以最大限度地降低人类健康风险。
Chemosphere. 2020 Apr;244:125543. doi: 10.1016/j.chemosphere.2019.125543. Epub 2019 Dec 4.
5
Low-molecular-weight organic acids enable biochar to immobilize nitrate.低分子量有机酸使生物炭能够固定硝酸盐。
Chemosphere. 2020 Feb;240:124872. doi: 10.1016/j.chemosphere.2019.124872. Epub 2019 Sep 14.
6
Biochar increases plant water use efficiency and biomass production while reducing Cu concentration in Brassica juncea L. in a Cu-contaminated soil.生物炭增加了植物的水分利用效率和生物量的产生,同时降低了 Cu 污染土壤中蕹菜的 Cu 浓度。
Ecotoxicol Environ Saf. 2019 Nov 15;183:109557. doi: 10.1016/j.ecoenv.2019.109557. Epub 2019 Aug 10.
7
Rice straw- and rapeseed residue-derived biochars affect the geochemical fractions and phytoavailability of Cu and Pb to maize in a contaminated soil under different moisture content.稻草和油菜秸秆衍生生物炭在不同含水量条件下影响污染土壤中玉米对 Cu 和 Pb 的地球化学形态和植物有效性。
J Environ Manage. 2019 May 1;237:5-14. doi: 10.1016/j.jenvman.2019.02.047. Epub 2019 Feb 16.
8
Effect of biochar on heavy metal accumulation in potatoes from wastewater irrigation.生物炭对污水灌溉马铃薯重金属积累的影响。
J Environ Manage. 2019 Feb 15;232:153-164. doi: 10.1016/j.jenvman.2018.11.013. Epub 2018 Nov 22.
9
Effects of biochar on availability and plant uptake of heavy metals - A meta-analysis.生物炭对重金属生物有效性及植物吸收的影响——一项荟萃分析。
J Environ Manage. 2018 Sep 15;222:76-85. doi: 10.1016/j.jenvman.2018.05.004. Epub 2018 May 25.
10
Biochar immobilizes soil-borne arsenic but not cationic metals in the presence of low-molecular-weight organic acids.生物炭在低分子量有机酸存在下固定土壤中砷,但不固定阳离子金属。
Sci Total Environ. 2018 Jul 15;630:1188-1194. doi: 10.1016/j.scitotenv.2018.02.319. Epub 2018 Mar 7.