Suppr超能文献

氟氯西林在中性粒细胞减少小鼠大腿感染模型中的药效学:迈向循证给药的关键一环

Pharmacodynamics of Flucloxacillin in a Neutropenic Murine Thigh Infection Model: A Piece of the Puzzle towards Evidence-Based Dosing.

作者信息

Roelofsen Eveline E, de Winter Brenda C M, van der Spek Heleen, Snijders Susan, Koch Birgit C P, van den Berg Sanne, Muller Anouk E

机构信息

Department of Hospital Pharmacy, Haaglanden Medisch Centrum, 2512 VA The Hague, The Netherlands.

Rotterdam Clinical Pharmacometrics Group, 3015 GD Rotterdam, The Netherlands.

出版信息

Antibiotics (Basel). 2022 Aug 3;11(8):1049. doi: 10.3390/antibiotics11081049.

Abstract

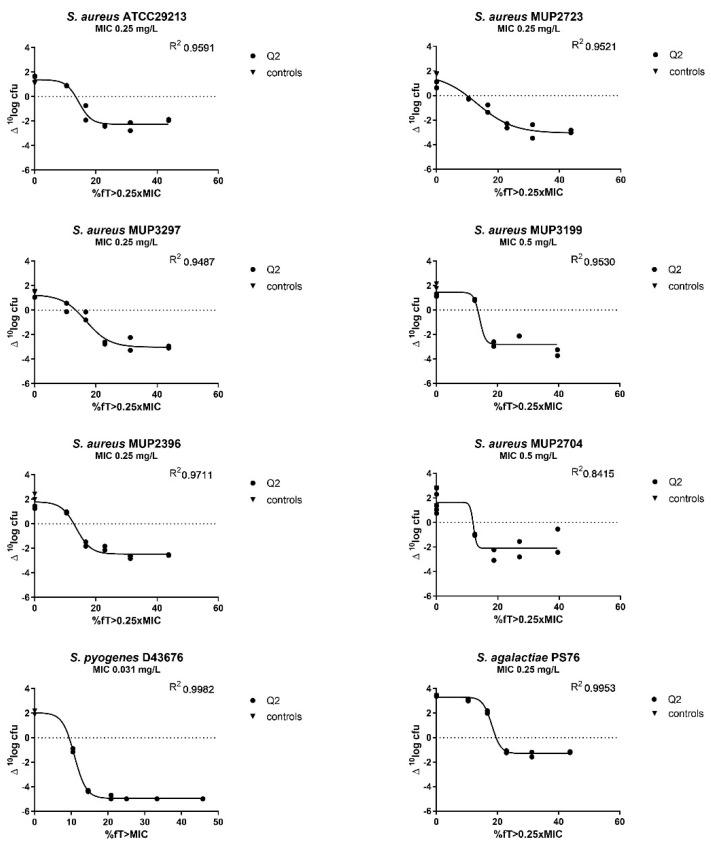
For decades, flucloxacillin has been used to treat methicillin-susceptible Staphylococcus aureus (MSSA). Little is still known about its pharmacodynamics (PD). The present study aimed to determine the pharmacokinetic (PK)/PD index and the PD-index value minimally required for efficacy. MICs of 305 MSSA isolates were measured to determine the wild-type distribution. The PD of 8 S. aureus, 1 S. pyogenes, and 1 S. agalactiae isolates were evaluated in a neutropenic murine thigh infection model. Two S. aureus isolates were used in a dose-fractionation study and a dose−response analysis was performed additionally in the in vivo model. Data were analyzed with a population PK and sigmoid maximum effect model. The end of the wild-type distribution was 1 mg/L. The percentage of time the unbound concentration was above MIC (%fT > MIC) was best correlated with efficacy. For S. aureus, median %fT > 0.25 × MIC required for 1-log reduction was 15%. The value for S. pyogenes was 10%fT > MIC and for S. agalactiae 22%fT > 0.25xMIC for a 1-log reduction. The effect of flucloxacillin reached a 2-log reduction of S. aureus at 20%fT > 0.25xMIC and also for S. pyogenes and S. agalactiae, a reduction was reached. These data may serve to optimize dosing regimens currently used in humans.

摘要

几十年来,氟氯西林一直用于治疗对甲氧西林敏感的金黄色葡萄球菌(MSSA)。但其药效学(PD)仍鲜为人知。本研究旨在确定药代动力学(PK)/PD指数以及疗效所需的最低PD指数值。测量了305株MSSA分离株的最低抑菌浓度(MIC)以确定野生型分布。在中性粒细胞减少的小鼠大腿感染模型中评估了8株金黄色葡萄球菌、1株化脓性链球菌和1株无乳链球菌分离株的PD。在剂量分割研究中使用了2株金黄色葡萄球菌分离株,并在体内模型中额外进行了剂量反应分析。数据采用群体PK和S形最大效应模型进行分析。野生型分布的终点为1mg/L。游离浓度高于MIC的时间百分比(%fT > MIC)与疗效的相关性最佳。对于金黄色葡萄球菌,1-log减少所需的中位%fT > 0.25×MIC为15%。化脓性链球菌的值为10%fT > MIC,无乳链球菌为22%fT > 0.25xMIC时实现1-log减少。当20%fT > 0.25xMIC时,氟氯西林对金黄色葡萄球菌的作用达到2-log减少,对化脓性链球菌和无乳链球菌也实现了减少。这些数据可能有助于优化目前在人类中使用的给药方案。

https://cdn.ncbi.nlm.nih.gov/pmc/blobs/b14c/9405042/35d7b6c4a9ab/antibiotics-11-01049-g001.jpg

文献AI研究员

20分钟写一篇综述,助力文献阅读效率提升50倍。

立即体验

用中文搜PubMed

大模型驱动的PubMed中文搜索引擎

马上搜索

文档翻译

学术文献翻译模型,支持多种主流文档格式。

立即体验