• 文献检索
  • 文档翻译
  • 深度研究
  • 学术资讯
  • Suppr Zotero 插件Zotero 插件
  • 邀请有礼
  • 套餐&价格
  • 历史记录
应用&插件
Suppr Zotero 插件Zotero 插件浏览器插件Mac 客户端Windows 客户端微信小程序
定价
高级版会员购买积分包购买API积分包
服务
文献检索文档翻译深度研究API 文档MCP 服务
关于我们
关于 Suppr公司介绍联系我们用户协议隐私条款
关注我们

Suppr 超能文献

核心技术专利:CN118964589B侵权必究
粤ICP备2023148730 号-1Suppr @ 2026

文献检索

告别复杂PubMed语法,用中文像聊天一样搜索,搜遍4000万医学文献。AI智能推荐,让科研检索更轻松。

立即免费搜索

文件翻译

保留排版,准确专业,支持PDF/Word/PPT等文件格式,支持 12+语言互译。

免费翻译文档

深度研究

AI帮你快速写综述,25分钟生成高质量综述,智能提取关键信息,辅助科研写作。

立即免费体验

基于剪切振动模式和梯形过渡层的水下换能器的设计与制造

Design and Fabrication of an Underwater Transducer Based on the Shear Vibration Mode and Trapezoid Transition Layer.

作者信息

Qiao Yali, Jin Shaojia, Zhong Chao, Qin Lei

机构信息

Beijing Key Laboratory for Sensor, Beijing Information Science & Technology University, Beijing 100192, China.

Beijing Key Laboratory for Optoelectronic Measurement Technology, Beijing Information Science & Technology University, Beijing 100192, China.

出版信息

Micromachines (Basel). 2022 Aug 15;13(8):1320. doi: 10.3390/mi13081320.

DOI:10.3390/mi13081320
PMID:36014242
原文链接:https://pmc.ncbi.nlm.nih.gov/articles/PMC9413494/
Abstract

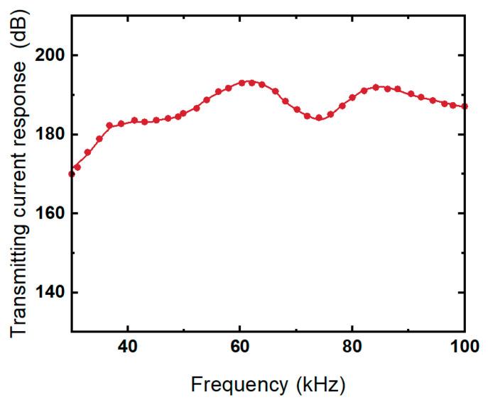
In this study, a new kind of underwater transducer was developed using the d15 shear vibration mode of piezoelectric ceramic and a trapezoid transition layer. A series of finite element simulations were conducted to investigate how the boundary conditions of piezoelectric ceramic blocks affect the shear vibration. Finite element simulation was also used to investigate how the trapezoid transition layer transfers shear vibrations into longitudinal vibrations. A prototype of the proposed transducer was fabricated from piezoelectric vibrators working in the shear mode and a trapezoid transition layer. The underwater performance of this transducer was then tested. The results demonstrated that the transmitting voltage response, working frequency range, and bandwidth reached 163 dB (62 kHz), 37 kHz-68 kHz, and 31 kHz when the radiating area of the transducer was 120 mm × 240 mm. The transmitting voltage response caused by the d15 shear vibration mode reached 160.9 dB at 89 kHz.

摘要

在本研究中,利用压电陶瓷的d15剪切振动模式和梯形过渡层开发了一种新型水下换能器。进行了一系列有限元模拟,以研究压电陶瓷块的边界条件如何影响剪切振动。有限元模拟还用于研究梯形过渡层如何将剪切振动转换为纵向振动。所提出的换能器的原型由工作在剪切模式的压电振动器和梯形过渡层制成。然后测试了该换能器的水下性能。结果表明,当换能器的辐射面积为120 mm×240 mm时,发射电压响应、工作频率范围和带宽分别达到163 dB(62 kHz)、37 kHz - 68 kHz和31 kHz。由d15剪切振动模式引起的发射电压响应在89 kHz时达到160.9 dB。

https://cdn.ncbi.nlm.nih.gov/pmc/blobs/c69e/9413494/58250ad663f2/micromachines-13-01320-g015.jpg
https://cdn.ncbi.nlm.nih.gov/pmc/blobs/c69e/9413494/646164d76936/micromachines-13-01320-g001.jpg
https://cdn.ncbi.nlm.nih.gov/pmc/blobs/c69e/9413494/d7d09b053868/micromachines-13-01320-g002.jpg
https://cdn.ncbi.nlm.nih.gov/pmc/blobs/c69e/9413494/180d8c2264b1/micromachines-13-01320-g003.jpg
https://cdn.ncbi.nlm.nih.gov/pmc/blobs/c69e/9413494/5e695cfbd3d3/micromachines-13-01320-g004.jpg
https://cdn.ncbi.nlm.nih.gov/pmc/blobs/c69e/9413494/c080ff61f68f/micromachines-13-01320-g005.jpg
https://cdn.ncbi.nlm.nih.gov/pmc/blobs/c69e/9413494/ae0a680f0476/micromachines-13-01320-g006.jpg
https://cdn.ncbi.nlm.nih.gov/pmc/blobs/c69e/9413494/7d6a9f2703b9/micromachines-13-01320-g007.jpg
https://cdn.ncbi.nlm.nih.gov/pmc/blobs/c69e/9413494/09fc9d4320d7/micromachines-13-01320-g009.jpg
https://cdn.ncbi.nlm.nih.gov/pmc/blobs/c69e/9413494/edd11b56946b/micromachines-13-01320-g010.jpg
https://cdn.ncbi.nlm.nih.gov/pmc/blobs/c69e/9413494/8c41d6f70909/micromachines-13-01320-g011.jpg
https://cdn.ncbi.nlm.nih.gov/pmc/blobs/c69e/9413494/4f375d0b20b9/micromachines-13-01320-g012.jpg
https://cdn.ncbi.nlm.nih.gov/pmc/blobs/c69e/9413494/a10ec4b71c93/micromachines-13-01320-g013.jpg
https://cdn.ncbi.nlm.nih.gov/pmc/blobs/c69e/9413494/a5c6d6488b17/micromachines-13-01320-g014.jpg
https://cdn.ncbi.nlm.nih.gov/pmc/blobs/c69e/9413494/58250ad663f2/micromachines-13-01320-g015.jpg
https://cdn.ncbi.nlm.nih.gov/pmc/blobs/c69e/9413494/646164d76936/micromachines-13-01320-g001.jpg
https://cdn.ncbi.nlm.nih.gov/pmc/blobs/c69e/9413494/d7d09b053868/micromachines-13-01320-g002.jpg
https://cdn.ncbi.nlm.nih.gov/pmc/blobs/c69e/9413494/180d8c2264b1/micromachines-13-01320-g003.jpg
https://cdn.ncbi.nlm.nih.gov/pmc/blobs/c69e/9413494/5e695cfbd3d3/micromachines-13-01320-g004.jpg
https://cdn.ncbi.nlm.nih.gov/pmc/blobs/c69e/9413494/c080ff61f68f/micromachines-13-01320-g005.jpg
https://cdn.ncbi.nlm.nih.gov/pmc/blobs/c69e/9413494/ae0a680f0476/micromachines-13-01320-g006.jpg
https://cdn.ncbi.nlm.nih.gov/pmc/blobs/c69e/9413494/7d6a9f2703b9/micromachines-13-01320-g007.jpg
https://cdn.ncbi.nlm.nih.gov/pmc/blobs/c69e/9413494/09fc9d4320d7/micromachines-13-01320-g009.jpg
https://cdn.ncbi.nlm.nih.gov/pmc/blobs/c69e/9413494/edd11b56946b/micromachines-13-01320-g010.jpg
https://cdn.ncbi.nlm.nih.gov/pmc/blobs/c69e/9413494/8c41d6f70909/micromachines-13-01320-g011.jpg
https://cdn.ncbi.nlm.nih.gov/pmc/blobs/c69e/9413494/4f375d0b20b9/micromachines-13-01320-g012.jpg
https://cdn.ncbi.nlm.nih.gov/pmc/blobs/c69e/9413494/a10ec4b71c93/micromachines-13-01320-g013.jpg
https://cdn.ncbi.nlm.nih.gov/pmc/blobs/c69e/9413494/a5c6d6488b17/micromachines-13-01320-g014.jpg
https://cdn.ncbi.nlm.nih.gov/pmc/blobs/c69e/9413494/58250ad663f2/micromachines-13-01320-g015.jpg

相似文献

1
Design and Fabrication of an Underwater Transducer Based on the Shear Vibration Mode and Trapezoid Transition Layer.基于剪切振动模式和梯形过渡层的水下换能器的设计与制造
Micromachines (Basel). 2022 Aug 15;13(8):1320. doi: 10.3390/mi13081320.
2
Research and Fabrication of Broadband Ring Flextensional Underwater Transducer.宽带环形弯张式水下换能器的研究与制造
Sensors (Basel). 2021 Feb 23;21(4):1548. doi: 10.3390/s21041548.
3
Design and Fabrication of a High-Frequency Single-Directional Planar Underwater Ultrasound Transducer.高频单向平面水下超声换能器的设计与制作。
Sensors (Basel). 2019 Oct 8;19(19):4336. doi: 10.3390/s19194336.
4
Design and Fabrication of a Stacked Three-Phase Piezoelectric Composites Ring Array Underwater Ultrasound Transducer.水下超声换能器中堆叠式三相压电复合材料环形阵列的设计与制造
Materials (Basel). 2021 Oct 11;14(20):5971. doi: 10.3390/ma14205971.
5
Bending Vibration Characteristics of a Novel Piezoelectric Composite Trilaminar Vibrator.新型压电复合三层振动器的弯曲振动特性
Materials (Basel). 2021 Jun 30;14(13):3661. doi: 10.3390/ma14133661.
6
Research on Inherent Frequency and Vibration Characteristics of Sandwich Piezoelectric Ceramic Transducer.夹心压电陶瓷换能器固有频率及振动特性研究。
Sensors (Basel). 2022 Dec 2;22(23):9431. doi: 10.3390/s22239431.
7
Spiral Sound Wave Transducer Based on the Longitudinal Vibration.基于纵向振动的螺旋声波换能器。
Sensors (Basel). 2018 Oct 29;18(11):3674. doi: 10.3390/s18113674.
8
Design of Planar Array Transducers Based on Connected 1-3 Piezoelectric Composites.基于连通型1-3压电复合材料的平面阵列换能器设计
Micromachines (Basel). 2021 Nov 18;12(11):1417. doi: 10.3390/mi12111417.
9
Research and Fabrication of High-Frequency Broadband and Omnidirectional Transmitting Transducer.高频宽带全向发射换能器的研究与制作
Sensors (Basel). 2018 Jul 19;18(7):2347. doi: 10.3390/s18072347.
10
Spherical-Omnidirectional Piezoelectric Composite Transducer for High- Frequency Underwater Acoustics.用于高频水下声学的球形全向压电复合换能器
IEEE Trans Ultrason Ferroelectr Freq Control. 2021 May;68(5):1791-1796. doi: 10.1109/TUFFC.2020.3042736. Epub 2021 Apr 26.

引用本文的文献

1
Structural Optimization and Performance of a Low-Frequency Double-Shell Type-IV Flexural Hydroacoustic Transducer.低频双壳型IV类弯曲水声换能器的结构优化与性能
Sensors (Basel). 2024 Jul 22;24(14):4746. doi: 10.3390/s24144746.

本文引用的文献

1
A Conformal Driving Class IV Flextensional Transducer.一种共形驱动的四阶挠曲模式换能器。
Sensors (Basel). 2018 Jun 30;18(7):2102. doi: 10.3390/s18072102.