• 文献检索
  • 文档翻译
  • 深度研究
  • 学术资讯
  • Suppr Zotero 插件Zotero 插件
  • 邀请有礼
  • 套餐&价格
  • 历史记录
应用&插件
Suppr Zotero 插件Zotero 插件浏览器插件Mac 客户端Windows 客户端微信小程序
定价
高级版会员购买积分包购买API积分包
服务
文献检索文档翻译深度研究API 文档MCP 服务
关于我们
关于 Suppr公司介绍联系我们用户协议隐私条款
关注我们

Suppr 超能文献

核心技术专利:CN118964589B侵权必究
粤ICP备2023148730 号-1Suppr @ 2026

文献检索

告别复杂PubMed语法,用中文像聊天一样搜索,搜遍4000万医学文献。AI智能推荐,让科研检索更轻松。

立即免费搜索

文件翻译

保留排版,准确专业,支持PDF/Word/PPT等文件格式,支持 12+语言互译。

免费翻译文档

深度研究

AI帮你快速写综述,25分钟生成高质量综述,智能提取关键信息,辅助科研写作。

立即免费体验

沿氮添加梯度接种外生菌根真菌的幼苗光合产物分配情况

Photosynthetic product allocations of seedlings inoculated with ectomycorrhizal fungi along a nitrogen addition gradient.

作者信息

Pengfei Sun, Yafei Shen, Lijun Wang, Tian Chen, Meng Zhang, Wenfa Xiao, Ruimei Cheng

机构信息

Chinese Academy of Forestry, Key Laboratory of Forest Ecology and Environment of National Forestry and Grassland Administration, Ecology and Nature Conservation Institute, Beijing, China.

Co-innovation Center for Sustainable Forestry in Southern China, Nanjing Forestry University, Nanjing, China.

出版信息

Front Plant Sci. 2022 Aug 12;13:948676. doi: 10.3389/fpls.2022.948676. eCollection 2022.

DOI:10.3389/fpls.2022.948676
PMID:36035728
原文链接:https://pmc.ncbi.nlm.nih.gov/articles/PMC9412729/
Abstract

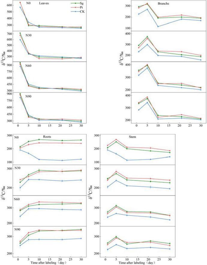
Quantifying the allocation of photosynthetic products among different carbon (C) pools is critical for understanding and predicting plant C turnover response to climate change. A field experiment with ectomycorrhizal fungi (EMF) and nitrogen (N) was established to investigate the effects on allocation of photosynthetic products in (Lamb.) seedlings given increased N deposition. Seedlings were subjected to N addition and symbiosis with EMF, and the short-term allocation of a C photosynthetic pulse into leaves, branches, stems, roots, and soil was traced. Photosynthetic rate and root respiration were measured. It was found that N addition changed the allocation pattern of photosynthetic products in various organs of Furthermore, N addition, mycorrhizal symbiosis, and interaction of N and EMF, all increased the amount of C produced by photosynthesis. N application less than 60 kg N hm a could promote the transfer and allocation of photosynthetic products in organs, which peaks at 60 kg N hm a, and the highest N treatment began to decrease at 90 kg N hm a. EMF inoculation could expand the absorption area of plant roots to obtain more nutrients and synthesize more C and N compounds for promoting the growth of itself and the host plant, improving the net photosynthetic rate and the distribution of C produced by photosynthesis in various organs. This forms a benign C and N cycle, thereby reducing the effect of high N addition on plants. The optimal N addition concentration was 60 kg N hm a, and the optimal EMF was Pt, which provides a theoretical basis for inoculating EMF during increasing N deposition in the future climate change scenario. This enables plants to distribute more photosynthetic products to their roots, thus affecting their own C distribution for promoting growth.

摘要

量化光合产物在不同碳(C)库之间的分配对于理解和预测植物碳周转对气候变化的响应至关重要。开展了一项关于外生菌根真菌(EMF)和氮(N)的田间试验,以研究在氮沉降增加的情况下,对(Lamb.)幼苗光合产物分配的影响。对幼苗进行了施氮处理并使其与EMF共生,追踪了光合碳脉冲在叶片、枝条、茎、根和土壤中的短期分配情况。测量了光合速率和根系呼吸。结果发现,施氮改变了各器官中光合产物的分配模式。此外,施氮、菌根共生以及氮与EMF的相互作用均增加了光合作用产生的碳量。施氮量低于60 kg N hm² a时可促进光合产物在各器官中的转移和分配,在60 kg N hm² a时达到峰值,最高施氮处理在90 kg N hm² a时开始下降。接种EMF可扩大植物根系的吸收面积,获取更多养分,合成更多碳和氮化合物,促进自身及寄主植物生长,提高净光合速率以及光合产生的碳在各器官中的分配。这形成了一个良性的碳氮循环,从而降低了高氮添加对植物的影响。最佳施氮浓度为60 kg N hm² a,最佳EMF为Pt,这为未来气候变化情景下在增加氮沉降过程中接种EMF提供了理论依据。这使得植物能够将更多光合产物分配到根系,从而影响自身的碳分配以促进生长。

https://cdn.ncbi.nlm.nih.gov/pmc/blobs/aa68/9412729/034655e1fb14/fpls-13-948676-g006.jpg
https://cdn.ncbi.nlm.nih.gov/pmc/blobs/aa68/9412729/484de245fe40/fpls-13-948676-g001.jpg
https://cdn.ncbi.nlm.nih.gov/pmc/blobs/aa68/9412729/38cd153c3ce5/fpls-13-948676-g002.jpg
https://cdn.ncbi.nlm.nih.gov/pmc/blobs/aa68/9412729/b8f3d000714b/fpls-13-948676-g003.jpg
https://cdn.ncbi.nlm.nih.gov/pmc/blobs/aa68/9412729/b15919029772/fpls-13-948676-g004.jpg
https://cdn.ncbi.nlm.nih.gov/pmc/blobs/aa68/9412729/6228f23fa291/fpls-13-948676-g005.jpg
https://cdn.ncbi.nlm.nih.gov/pmc/blobs/aa68/9412729/034655e1fb14/fpls-13-948676-g006.jpg
https://cdn.ncbi.nlm.nih.gov/pmc/blobs/aa68/9412729/484de245fe40/fpls-13-948676-g001.jpg
https://cdn.ncbi.nlm.nih.gov/pmc/blobs/aa68/9412729/38cd153c3ce5/fpls-13-948676-g002.jpg
https://cdn.ncbi.nlm.nih.gov/pmc/blobs/aa68/9412729/b8f3d000714b/fpls-13-948676-g003.jpg
https://cdn.ncbi.nlm.nih.gov/pmc/blobs/aa68/9412729/b15919029772/fpls-13-948676-g004.jpg
https://cdn.ncbi.nlm.nih.gov/pmc/blobs/aa68/9412729/6228f23fa291/fpls-13-948676-g005.jpg
https://cdn.ncbi.nlm.nih.gov/pmc/blobs/aa68/9412729/034655e1fb14/fpls-13-948676-g006.jpg

相似文献

1
Photosynthetic product allocations of seedlings inoculated with ectomycorrhizal fungi along a nitrogen addition gradient.沿氮添加梯度接种外生菌根真菌的幼苗光合产物分配情况
Front Plant Sci. 2022 Aug 12;13:948676. doi: 10.3389/fpls.2022.948676. eCollection 2022.
2
The Relationship between Ectomycorrhizal Fungi, Nitrogen Deposition, and Pinus massoniana Seedling Nitrogen Transporter Gene Expression and Nitrogen Uptake Kinetics.外生菌根真菌、氮沉降与马尾松幼苗氮转运蛋白基因表达及氮吸收动力学之间的关系
J Fungi (Basel). 2022 Dec 31;9(1):65. doi: 10.3390/jof9010065.
3
Effect of Ectomycorrhizal Fungi on the Drought Resistance of Seedlings.外生菌根真菌对幼苗抗旱性的影响
J Fungi (Basel). 2023 Apr 14;9(4):471. doi: 10.3390/jof9040471.
4
Cenococcum geophilum impedes cadmium toxicity in Pinus massoniana by modulating nitrogen metabolism.地槌菌通过调节氮代谢来抑制马尾松对镉的毒性。
Sci Total Environ. 2024 Oct 10;946:174296. doi: 10.1016/j.scitotenv.2024.174296. Epub 2024 Jun 27.
5
Identification of candidate genes conferring tolerance to aluminum stress in Pinus massoniana inoculated with ectomycorrhizal fungus.鉴定与外生菌根真菌接种马尾松耐铝胁迫相关的候选基因。
BMC Plant Biol. 2020 Nov 16;20(1):521. doi: 10.1186/s12870-020-02719-3.
6
Expression of genes involved in symbiotic carbon and nitrogen transport in Pinus taeda mycorrhizal roots exposed to CO2 enrichment and nitrogen fertilization.在暴露于二氧化碳浓度升高和氮肥条件下的火炬松菌根根中,参与共生碳和氮转运的基因表达
Mycorrhiza. 2009 Sep;19(7):469-479. doi: 10.1007/s00572-009-0250-5. Epub 2009 May 5.
7
Metal-non-tolerant ecotypes of ectomycorrhizal fungi can protect plants from cadmium pollution.外生菌根真菌的金属不耐受生态型可以保护植物免受镉污染。
Front Plant Sci. 2023 Dec 6;14:1301791. doi: 10.3389/fpls.2023.1301791. eCollection 2023.
8
Mobilizes both Labile Aluminum and Inorganic Phosphate in Rhizosphere Soil of Seedlings Field Grown in a Yellow Acidic Soil.在黄酸性土壤中生长的幼苗根际土壤中,既能动员不稳定的铝,又能动员无机磷。
Appl Environ Microbiol. 2020 Apr 1;86(8). doi: 10.1128/AEM.03015-19.
9
Physiological and Transcriptome Responses of Seedlings Inoculated by Various Ecotypes of the Ectomycorrhizal Fungus during the Early Stage of Drought Stress.干旱胁迫早期不同生态型外生菌根真菌接种幼苗的生理和转录组反应
J Fungi (Basel). 2024 Jan 15;10(1):71. doi: 10.3390/jof10010071.
10
Morphogenesis and metabolomics reveal the compatible relationship among , , and their co-host, .形态发生与代谢组学揭示了[具体内容1]、[具体内容2]及其共同宿主[具体内容3]之间的相容关系。
Microbiol Spectr. 2023 Sep 7;11(5):e0145323. doi: 10.1128/spectrum.01453-23.

引用本文的文献

1
Effect of Ectomycorrhizal Fungi on the Drought Resistance of Seedlings.外生菌根真菌对幼苗抗旱性的影响
J Fungi (Basel). 2023 Apr 14;9(4):471. doi: 10.3390/jof9040471.

本文引用的文献

1
Recently photoassimilated carbon and fungus-delivered nitrogen are spatially correlated in the ectomycorrhizal tissue of Fagus sylvatica.最近,光合同化碳和真菌传递的氮在欧洲山毛榉外生菌根组织中在空间上相关。
New Phytol. 2021 Dec;232(6):2457-2474. doi: 10.1111/nph.17591. Epub 2021 Aug 6.
2
Reciprocal transfer of carbon isotopes between ectomycorrhizal Betula papyrifera and Pseudotsuga menziesii.外生菌根的纸皮桦和花旗松之间碳同位素的相互转移
New Phytol. 1997 Nov;137(3):529-542. doi: 10.1046/j.1469-8137.1997.00834.x.
3
Can C-labeled photosynthetic products move between Pinus densiflora seedlings linked by ectomycorrhizal mycelia?
用¹⁴C标记的光合产物能否在通过外生菌根菌丝体相连的赤松幼苗之间移动?
New Phytol. 2001 Jan;149(1):137-146. doi: 10.1046/j.1469-8137.2001.00010.x.
4
Digging Deeper: In Search of the Mechanisms of Carbon and Nitrogen Exchange in Ectomycorrhizal Symbioses.深入探究:寻找外生菌根共生中碳和氮交换的机制
Front Plant Sci. 2020 Jan 14;10:1658. doi: 10.3389/fpls.2019.01658. eCollection 2019.
5
Inorganic nitrogen availability alters Eucalyptus grandis receptivity to the ectomycorrhizal fungus Pisolithus albus but not symbiotic nitrogen transfer.无机氮供应会改变巨桉对共生真菌外生菌根菌的接受能力,但不会改变共生氮转移。
New Phytol. 2020 Apr;226(1):221-231. doi: 10.1111/nph.16322. Epub 2019 Dec 17.
6
Rapid Transfer of Plant Photosynthates to Soil Bacteria via Ectomycorrhizal Hyphae and Its Interaction With Nitrogen Availability.植物光合产物通过外生菌根菌丝快速转移至土壤细菌及其与氮素有效性的相互作用
Front Microbiol. 2019 Feb 26;10:168. doi: 10.3389/fmicb.2019.00168. eCollection 2019.
7
Plant-mediated partner discrimination in ectomycorrhizal mutualisms.植物介导的外生菌根互惠共生中的伙伴歧视。
Mycorrhiza. 2019 Mar;29(2):97-111. doi: 10.1007/s00572-018-00879-7. Epub 2019 Jan 7.
8
Distinct Carbon and Nitrogen Metabolism of Two Contrasting Poplar Species in Response to Different N Supply Levels.不同氮供应水平下两种杨树物种的独特碳氮代谢特性。
Int J Mol Sci. 2018 Aug 6;19(8):2302. doi: 10.3390/ijms19082302.
9
Transfer of C between paired Douglas-fir seedlings reveals plant kinship effects and uptake of exudates by ectomycorrhizas.在配对的花旗松实生苗之间转移 C 揭示了植物亲缘关系效应和外生菌根对分泌物的吸收。
New Phytol. 2017 Apr;214(1):400-411. doi: 10.1111/nph.14325. Epub 2016 Nov 21.
10
Pathway and sink activity for photosynthate translocation in Pisolithus extraradical mycelium of ectomycorrhizal Pinus thunbergii seedlings.外生菌根黑松幼苗的外生根状菌索中光合产物转运的途径和库活性。
Mycorrhiza. 2016 Jul;26(5):453-64. doi: 10.1007/s00572-016-0684-5. Epub 2016 Feb 9.