Suppr超能文献

设计、合成、分子模拟及喹唑啉-磺酰脲杂合体的抗高血糖评价作为过氧化物酶体增殖物激活受体 γ(PPARγ)和磺酰脲受体(SUR)激动剂。

Design, Synthesis, Molecular Modeling and Anti-Hyperglycemic Evaluation of Quinazoline-Sulfonylurea Hybrids as Peroxisome Proliferator-Activated Receptor Gamma (PPARγ) and Sulfonylurea Receptor (SUR) Agonists.

机构信息

Pharmaceutical Chemistry Department, Faculty of Pharmacy, Al-Azhar University, Cairo 11884, Egypt.

Biochemistry Department, College of Medicine, King Abdulaziz University, Jeddah 21589, Saudi Arabia.

出版信息

Int J Mol Sci. 2022 Aug 24;23(17):9605. doi: 10.3390/ijms23179605.

Abstract

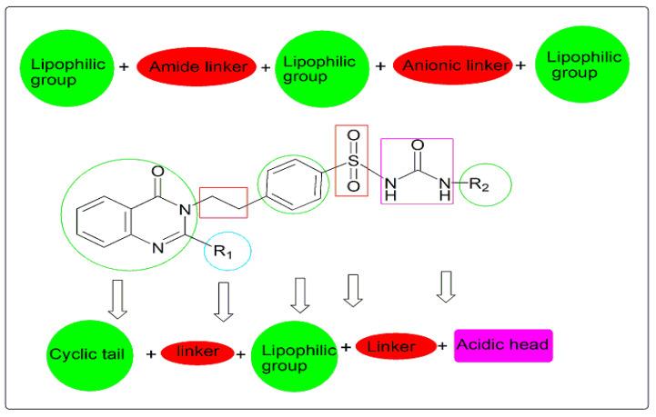
New quinazoline-sulfonylurea hybrids were prepared and examined for their in vivo anti-hyperglycemic activities in STZ-induced hyperglycemic rats using glibenclamide as a reference drug. Compounds VI-6-a, V, IV-4, VI-4-c, IV-6, VI-2-a, IV-1, and IV-2 were more potent than the reference glibenclamide. They induced significant reduction in the blood glucose levels of diabetic rats: 78.2, 73.9, 71.4, 67.3, 62, 60.7, 58.4, and 55.9%, respectively, while the reference glibenclamide had 55.4%. Compounds IV-1, VI-2-a, IV-2, V, and IV-6 showed more prolonged antidiabetic activity than glibenclamide. Moreover, molecular docking and pharmacokinetic studies were performed to examine binding modes of the prepared compounds against peroxisome proliferator-activated receptor gamma (PPARγ). The highest active compounds exhibited good binding affinity with high free energy of binding against PPARγ. In silico absorption, distribution, metabolism, elimination and toxicity (ADMET) studies were performed to investigate pharmacokinetics and safety of the synthesized compounds. They showed considerable human intestinal absorption with low toxicity profile.

摘要

新型喹唑啉-磺酰脲类化合物被制备出来,并在 STZ 诱导的高血糖大鼠模型中进行了体内抗高血糖活性的研究,以格列本脲作为参比药物。化合物 VI-6-a、V、IV-4、VI-4-c、IV-6、VI-2-a、IV-1 和 IV-2 的活性强于参比格列本脲。它们能显著降低糖尿病大鼠的血糖水平:分别降低 78.2%、73.9%、71.4%、67.3%、62%、60.7%、58.4%和 55.9%,而参比格列本脲的降低幅度为 55.4%。化合物 IV-1、VI-2-a、IV-2、V 和 IV-6 的抗糖尿病活性比格列本脲更持久。此外,还进行了分子对接和药代动力学研究,以研究所制备化合物与过氧化物酶体增殖物激活受体γ(PPARγ)的结合模式。活性最高的化合物对 PPARγ 表现出良好的结合亲和力和高结合自由能。还进行了基于计算机的吸收、分布、代谢、排泄和毒性(ADMET)研究,以研究合成化合物的药代动力学和安全性。它们显示出良好的人类肠道吸收能力和低毒性特征。

https://cdn.ncbi.nlm.nih.gov/pmc/blobs/1ab2/9455857/e5823d9bc409/ijms-23-09605-g001.jpg

文献检索

告别复杂PubMed语法,用中文像聊天一样搜索,搜遍4000万医学文献。AI智能推荐,让科研检索更轻松。

立即免费搜索

文件翻译

保留排版,准确专业,支持PDF/Word/PPT等文件格式,支持 12+语言互译。

免费翻译文档

深度研究

AI帮你快速写综述,25分钟生成高质量综述,智能提取关键信息,辅助科研写作。

立即免费体验