Suppr超能文献

实施直升机夜间转运服务以缩短山区ST段抬高型心肌梗死患者的血管再通时间:对治疗结果的影响

Implementation of a Night Service of Helicopter Transportation to Reduce the Time to Revascularization in STEMI Patients in a Mountainous Region: Impact on Outcomes.

作者信息

Zilio Filippo, Rigoni Marta, Muraglia Simone, Borghesi Marco, Zucchelli Federico, Todaro Daniel, Dallago Michele, Braito Giuseppe, Damaggio Fabrizio, Nollo Giandomenico, Bonmassari Roberto

机构信息

Department of Cardiology, Santa Chiara Hospital, 38122 Trento, Italy.

BIOtech Lab, Department of Industrial Engineering, University of Trento, 38123 Trento, Italy.

出版信息

J Clin Med. 2022 Aug 30;11(17):5089. doi: 10.3390/jcm11175089.

Abstract

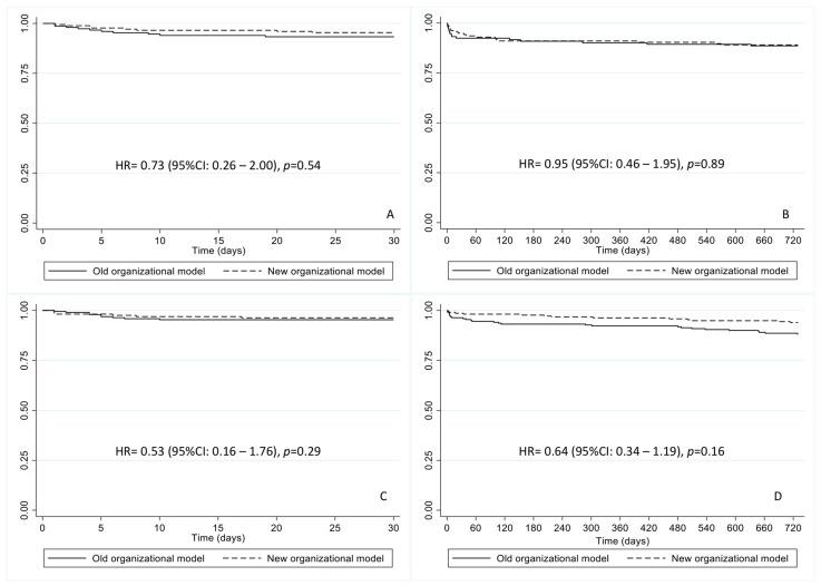
Background: Treatment delays are the most easily audited index of quality of care in the setting of ST-segment elevation myocardial infarction; among the components of ischemia time, system delay has been demonstrated to be a predictor of outcomes, and in a mountainous region it relies mostly upon helicopter rescue service. Aim: The aim of the study is to analyze the impact of the activation of helicopter rescue service for the nighttime for urgent transportation of patients on the time to revascularization and on the outcomes of STEMI patients. Methods: Data were prospectively collected in a database and retrospectively split into two different cohorts, based on the presentation date in the 18 months before, or after, the first day of implementation of the new organizational model. The patients were also split into two groups based on the place of STEMI diagnosis, either the chief town territory or the rest of the region, and retrospectively evaluated for vital status at 30 days and 2 years after index event. Results: The number of patients included was 751. For patients coming from outside Trento, an improvement in ST-segment resolution was shown (ST-segment elevation reduction >50% in 54.0% of the patients vs. 36.4%, p < 0.01). Moreover, a reduction in diagnosis-to-reperfusion median time has been demonstrated (from 105 to 97 min, p < 0.01), mainly driven by a reduction during the night shift (from 119 to 100 min, p = 0.02). With regard to 30-day and 2-year mortality, no statistically significant differences were achieved. Discussion: The organizational effort has translated into a significant reduction in the treatment delay for patients coming from outside the chief town. However, although a longer diagnosis to reperfusion time has been related to a higher mortality, a significant reduction in mortality was not demonstrated in our study. However, an improvement in ST-segment elevation resolution was shown for patients coming from outside the city of Trento, a result that could have other potential clinical benefits. Conclusions: Implementation of night flight proved to be effective in reducing the time between the diagnosis and the treatment of patients in the setting of STEMI, improving ST-segment elevation resolution, although no impact was shown on short- and long-term mortality.

摘要

背景

在ST段抬高型心肌梗死的情况下,治疗延迟是最易于审计的医疗质量指标;在缺血时间的各个组成部分中,系统延迟已被证明是预后的一个预测因素,而在山区,这主要依赖直升机救援服务。目的:本研究旨在分析夜间启动直升机救援服务紧急转运患者对血管再通时间和ST段抬高型心肌梗死(STEMI)患者预后的影响。方法:数据前瞻性收集于一个数据库,并根据新组织模式实施首日之前或之后18个月内的就诊日期,回顾性分为两个不同队列。患者还根据STEMI诊断地点分为两组,即主要城镇地区或该地区其他地方,并回顾性评估指数事件后30天和2年的生命状态。结果:纳入患者751例。对于来自特伦托以外地区的患者,ST段分辨率有所改善(54.0%的患者ST段抬高降低>50%,而之前为36.4%,p<0.01)。此外,已证明诊断至再灌注的中位时间有所缩短(从105分钟降至97分钟,p<0.01),这主要是由于夜班期间时间缩短(从119分钟降至100分钟,p=0.02)。关于30天和2年死亡率,未发现统计学上的显著差异。讨论:组织上的努力已转化为主要城镇以外地区患者治疗延迟的显著减少。然而,尽管较长的诊断至再灌注时间与较高的死亡率相关,但在我们的研究中未证明死亡率有显著降低。然而,特伦托市以外地区的患者ST段抬高分辨率有所改善,这一结果可能还有其他潜在的临床益处。结论:夜间飞行的实施被证明在STEMI患者诊断和治疗之间的时间方面是有效的,改善了ST段抬高分辨率,尽管对短期和长期死亡率没有影响。

https://cdn.ncbi.nlm.nih.gov/pmc/blobs/2f3c/9457436/d47b061b731f/jcm-11-05089-g001.jpg

文献检索

告别复杂PubMed语法,用中文像聊天一样搜索,搜遍4000万医学文献。AI智能推荐,让科研检索更轻松。

立即免费搜索

文件翻译

保留排版,准确专业,支持PDF/Word/PPT等文件格式,支持 12+语言互译。

免费翻译文档

深度研究

AI帮你快速写综述,25分钟生成高质量综述,智能提取关键信息,辅助科研写作。

立即免费体验