Medical Oncology Department, Vall d'Hebron University Hospital, Vall d'Hebron Barcelona Hospital Campus, Barcelona, Spain.
Vall d'Hebron Institute of Oncology (VHIO), Vall d'Hebron Barcelona Hospital Campus, Barcelona, Spain.
Nat Med. 2022 Oct;28(10):2162-2170. doi: 10.1038/s41591-022-01976-z. Epub 2022 Sep 12.
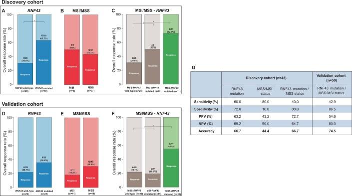
Anti-BRAF/EGFR therapy was recently approved for the treatment of metastatic BRAF colorectal cancer (mCRC). However, a large fraction of patients do not respond, underscoring the need to identify molecular determinants of treatment response. Using whole-exome sequencing in a discovery cohort of patients with mCRC treated with anti-BRAF/EGFR therapy, we found that inactivating mutations in RNF43, a negative regulator of WNT, predict improved response rates and survival outcomes in patients with microsatellite-stable (MSS) tumors. Analysis of an independent validation cohort confirmed the relevance of RNF43 mutations to predicting clinical benefit (72.7% versus 30.8%; P = 0.03), as well as longer progression-free survival (hazard ratio (HR), 0.30; 95% confidence interval (CI), 0.12-0.75; P = 0.01) and overall survival (HR, 0.26; 95% CI, 0.10-0.71; P = 0.008), in patients with MSS-RNF43 versus MSS-RNF43 tumors. Microsatellite-instable tumors invariably carried a wild-type-like RNF43 genotype encoding p.G659fs and presented an intermediate response profile. We found no association of RNF43 mutations with patient outcomes in a control cohort of patients with MSS-mCRC tumors not exposed to anti-BRAF targeted therapies. Overall, our findings suggest a cross-talk between the MAPK and WNT pathways that may modulate the antitumor activity of anti-BRAF/EGFR therapy and uncover predictive biomarkers to optimize the clinical management of these patients.
抗 BRAF/EGFR 治疗最近被批准用于治疗转移性 BRAF 结直肠癌 (mCRC)。然而,很大一部分患者没有反应,这突显了需要确定治疗反应的分子决定因素。我们在接受抗 BRAF/EGFR 治疗的 mCRC 患者的发现队列中使用全外显子组测序,发现 WNT 的负调节剂 RNF43 的失活突变可预测 MSS 肿瘤患者的反应率和生存结果改善。对独立验证队列的分析证实了 RNF43 突变与预测临床获益(72.7%对 30.8%;P=0.03)以及更长的无进展生存期(风险比(HR),0.30;95%置信区间(CI),0.12-0.75;P=0.01)和总生存期(HR,0.26;95%CI,0.10-0.71;P=0.008)的相关性,在 MSS-RNF43 与 MSS-RNF43 肿瘤的患者中。微卫星不稳定的肿瘤总是携带编码 p.G659fs 的野生型样 RNF43 基因型,并呈现出中间反应谱。我们在未接受抗 BRAF 靶向治疗的 MSS-mCRC 肿瘤患者的对照组中没有发现 RNF43 突变与患者结局之间的关联。总的来说,我们的研究结果表明 MAPK 和 WNT 通路之间存在交叉对话,这可能调节抗 BRAF/EGFR 治疗的抗肿瘤活性,并揭示预测生物标志物以优化这些患者的临床管理。