Suppr超能文献

新冠疫情期间成年医院工作人员的依恋不安全感及对长期严重职业压力的反应

Adult attachment insecurity and responses to prolonged severe occupational stress in hospital workers during the COVID-19 pandemic.

作者信息

Maunder Robert G, Heeney Natalie D, Hunter Jonathan J

机构信息

Sinai Health and Department of Psychiatry, University of Toronto, Toronto, Canada.

Sinai Health, Toronto, Canada.

出版信息

Health Psychol Behav Med. 2022 Sep 15;10(1):871-887. doi: 10.1080/21642850.2022.2123806. eCollection 2022.

Abstract

BACKGROUND

The stress response includes appraisal of the threat and one's resources, coping (including interpersonal interactions), distress, and recovery. Relationships between patterns of adult attachment and stress response have received little study in the context of prolonged, severe occupational stress, limiting knowledge about how attachment patterns contribute to occupational burnout and recovery.

AIM

This study aimed to assess the relationship of adult attachment to aspects of the stress response over time in hospital workers during a pandemic.

METHODS

This study included 538 hospital workers within a general and a rehabilitation hospital in Toronto, Canada between September 2020 and November 2021. Half, selected at random, completed validated measures of adult attachment, resilience, self-efficacy, coping, interpersonal problems, and various stress outcomes. Attachment insecurity severity was calculated as the vector addition of attachment anxiety and attachment avoidance. Correlations between these measures were determined at individual time-points and temporal patterns of adverse outcomes using repeated-measures ANOVA.

RESULTS

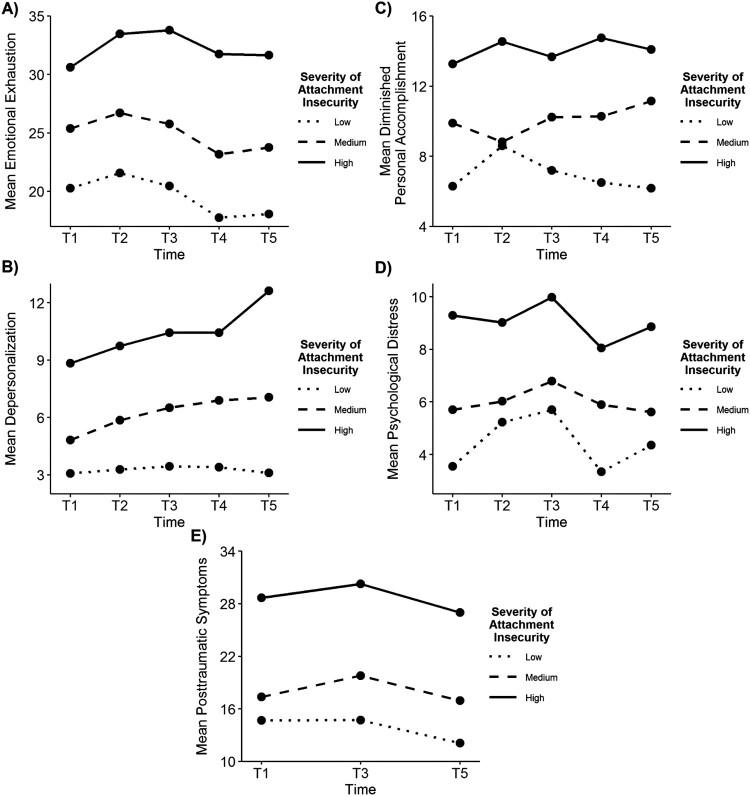
All correlations between measures of attachment and resilience or self-efficacy were significant and moderately strong ( = .30-.48), while most correlations with coping strategies were weak (<.20). Attachment avoidance was more strongly correlated with interpersonal problems related to being cold, whereas attachment anxiety was more strongly correlated with problems related to being intrusive, overly-nurturant, exploitable and non-assertive. Attachment insecurity severity was moderately correlated with every dimension of interpersonal problems. A significant main effect of each attachment measure on each stress outcome was found (effects sizes: .18-.26). Attachment insecurity severity was significantly associated with outcome X time interactions for burnout, consistent with greater resilience for those with lower attachment insecurity.

CONCLUSIONS

Severity of insecure attachment was correlated with each measure of self-appraisal, interpersonal problems, and all measured stress outcomes. Severity of attachment insecurity performed well as a summary attachment measure. Greater security is associated with patterns of recovery that indicate resilience.

摘要

背景

应激反应包括对威胁及自身资源的评估、应对方式(包括人际互动)、痛苦和恢复。在长期、严重的职业压力背景下,成人依恋模式与应激反应之间的关系鲜有研究,这限制了我们对依恋模式如何导致职业倦怠和恢复的了解。

目的

本研究旨在评估在大流行期间,医院工作人员成人依恋与应激反应各方面随时间的关系。

方法

本研究纳入了2020年9月至2021年11月期间加拿大多伦多一家综合医院和一家康复医院的538名医院工作人员。随机选取一半人员完成成人依恋、心理韧性、自我效能感、应对方式、人际问题及各种应激结果的有效测量。依恋不安全感严重程度通过依恋焦虑和依恋回避的向量相加来计算。使用重复测量方差分析确定这些测量指标在各个时间点的相关性以及不良结果的时间模式。

结果

依恋测量指标与心理韧性或自我效能感之间的所有相关性均显著且中等强度(r = 0.30 - 0.48),而与应对策略的大多数相关性较弱(<0.20)。依恋回避与与冷漠相关的人际问题相关性更强,而依恋焦虑与与侵扰性、过度呵护、易被利用和不坚定相关的问题相关性更强。依恋不安全感严重程度与人际问题的各个维度均呈中等相关性。发现每个依恋测量指标对每个应激结果均有显著的主效应(效应量:0.18 - 0.2)。依恋不安全感严重程度与职业倦怠的结果X时间交互作用显著相关,这与依恋不安全感较低者具有更强的心理韧性一致。

结论

不安全依恋的严重程度与自我评估、人际问题的各项测量指标以及所有测量的应激结果均相关。依恋不安全感严重程度作为一种综合依恋测量指标表现良好。更高的安全感与表明心理韧性的恢复模式相关。

https://cdn.ncbi.nlm.nih.gov/pmc/blobs/a6ea/9481086/484a932f8144/RHPB_A_2123806_F0001_OB.jpg

文献AI研究员

20分钟写一篇综述,助力文献阅读效率提升50倍。

立即体验

用中文搜PubMed

大模型驱动的PubMed中文搜索引擎

马上搜索

文档翻译

学术文献翻译模型,支持多种主流文档格式。

立即体验