Suppr超能文献

腹腔镜胃大弯折叠术和腹腔镜袖状胃切除术的长期疗效:胃折叠术在减重手术中作用的批判性评价。

Long-Term Outcomes of Laparoscopic Greater Curvature Plication and Laparoscopic Sleeve Gastrectomy: Critical Appraisal of the Role of Gastric Plication in Bariatric Surgery.

机构信息

Department of General Surgery, Changhua Christian Hospital, Changhua 500, Taiwan.

Institute of Biomedical Science, College of Life Sciences, National Chung-Hsing University, Taichung 402, Taiwan.

出版信息

Medicina (Kaunas). 2022 Sep 17;58(9):1299. doi: 10.3390/medicina58091299.

Abstract

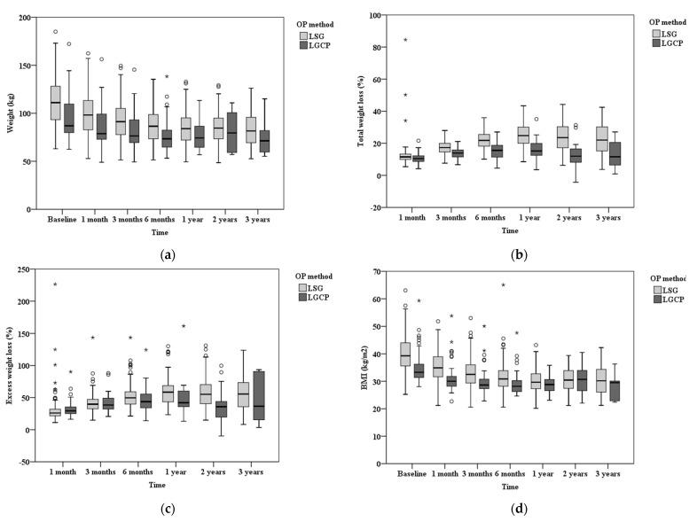
Background and Objectives: This single-center study aimed to assess the role of laparoscopic greater curvature plication (LGCP) in bariatric surgery. Materials and Methods: Using data from our institution’s prospectively maintained database, we identified adult patients with obesity who underwent either laparoscopic sleeve gastrectomy (LSG) or LGCP between January 2012 and July 2017. In total, 280 patients were enrolled in this study. Results: The body mass index was higher in the LSG group than in the LGCP group (39.3 vs. 33.3, p < 0.001). Both groups achieved significant weight loss during the 3-year follow-up (p < 0.001). The weight-reduction rate was higher in the LSG group than in the LGCP group 6, 12, and 24 months postoperatively (p = 0.001, 0.001, and 0.012, respectively). The reoperation rate of the LGCP group was higher than that of the LSG group (p = 0.001). No deaths were recorded in either group. Conclusions: Although both the LGCP and LSG groups achieved significant weight loss over three years, the LGCP group demonstrated a lower weight-reduction rate and a higher reoperation rate than the LSG group. Thus, it is necessary to reassess the role of LGCP in bariatric surgery, particularly when LSG is a feasible alternative.

摘要

背景与目的

本单中心研究旨在评估腹腔镜胃大弯折叠术(LGCP)在减重手术中的作用。

材料与方法

我们使用来自机构前瞻性维护数据库的数据,纳入 2012 年 1 月至 2017 年 7 月间行腹腔镜袖状胃切除术(LSG)或 LGCP 的肥胖成年患者。共有 280 例患者纳入本研究。

结果

LSG 组患者的体重指数高于 LGCP 组(39.3 比 33.3,p < 0.001)。两组患者在 3 年随访期间均实现显著的体重减轻(p < 0.001)。术后 6、12 和 24 个月时,LSG 组的体重减轻率高于 LGCP 组(p = 0.001、0.001 和 0.012)。LGCP 组的再次手术率高于 LSG 组(p = 0.001)。两组均无死亡病例。

结论

尽管 LGCP 组和 LSG 组在三年内均实现了显著的体重减轻,但 LGCP 组的体重减轻率较低,再次手术率较高。因此,有必要重新评估 LGCP 在减重手术中的作用,特别是在 LSG 是可行替代方案的情况下。

https://cdn.ncbi.nlm.nih.gov/pmc/blobs/cc6d/9503388/b6005d1f43c3/medicina-58-01299-g001.jpg

文献AI研究员

20分钟写一篇综述,助力文献阅读效率提升50倍。

立即体验

用中文搜PubMed

大模型驱动的PubMed中文搜索引擎

马上搜索

文档翻译

学术文献翻译模型,支持多种主流文档格式。

立即体验