Suppr超能文献

铁水平对肝损伤及肝脏疾病风险的遗传效应:一项两样本孟德尔随机化分析

Genetic effects of iron levels on liver injury and risk of liver diseases: A two-sample Mendelian randomization analysis.

作者信息

Wang Kai, Yang Fangkun, Zhang Pengcheng, Yang Yang, Jiang Li

机构信息

Department of Biochemistry and Molecular Biology, School of Basic Medical Sciences, Hangzhou Normal University, Hangzhou, China.

Eye Center of the Second Affiliated Hospital, School of Medicine, Zhejiang University, Hangzhou, China.

出版信息

Front Nutr. 2022 Sep 16;9:964163. doi: 10.3389/fnut.2022.964163. eCollection 2022.

Abstract

BACKGROUND AND AIMS

Although iron homeostasis has been associated with liver function in many observational studies, the causality in this relationship remains unclear. By using Mendelian Randomization analyses, we aimed to evaluate the genetic effects of increased systemic iron levels on the risk of liver injury and various liver diseases. Moreover, in light of the sex-dependent iron regulation in human beings, we further estimated the sex-specific effect of iron levels in liver diseases.

METHODS

Independent single nucleotide polymorphisms associated with systemic iron status (including four indicators) at the genome-wide significance level from the Genetics of Iron Status (GIS) Consortium were selected as instrumental variables. Summary data for six liver function biomarkers and five liver diseases were obtained from the UK Biobank, the Estonian Biobank, the eMERGE network, and FinnGen consortium. Mendelian Randomization assessment of the effect of iron on liver function and liver diseases was conducted.

RESULTS

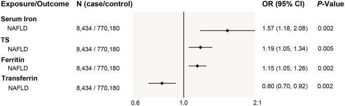
Genetically predicted iron levels were positively and significantly associated with an increased risk of different dimensions of liver injury. Furthermore, increased iron status posed hazardous effects on non-alcoholic fatty liver disease, alcoholic liver disease, and liver fibrosis/cirrhosis. Sex-stratified analyses indicated that the hepatoxic role of iron might exist in NAFLD and liver fibrosis/cirrhosis development among men. No significantly causal relationship was found between iron status and viral hepatitis.

CONCLUSION

Our study adds to current knowledge on the genetic role of iron in the risk of liver injury and related liver diseases, which provides clinical and public health implications for liver disease prevention as iron status can be modified.

摘要

背景与目的

尽管在许多观察性研究中,铁稳态与肝功能相关,但这种关系中的因果关系仍不明确。通过孟德尔随机化分析,我们旨在评估全身铁水平升高对肝损伤风险和各种肝脏疾病的遗传效应。此外,鉴于人类铁调节存在性别差异,我们进一步估计了铁水平在肝脏疾病中的性别特异性效应。

方法

从铁状态遗传学(GIS)联盟中选择在全基因组显著水平上与全身铁状态相关的独立单核苷酸多态性(包括四个指标)作为工具变量。从英国生物银行、爱沙尼亚生物银行、eMERGE网络和芬兰基因联盟获得六种肝功能生物标志物和五种肝脏疾病的汇总数据。对铁对肝功能和肝脏疾病的影响进行孟德尔随机化评估。

结果

遗传预测的铁水平与肝损伤不同维度风险的增加呈正相关且具有统计学意义。此外,铁状态增加对非酒精性脂肪性肝病、酒精性肝病和肝纤维化/肝硬化具有有害影响。按性别分层分析表明,铁的肝毒性作用可能存在于男性非酒精性脂肪性肝病和肝纤维化/肝硬化的发展中。未发现铁状态与病毒性肝炎之间存在显著因果关系。

结论

我们的研究增加了目前关于铁在肝损伤风险和相关肝脏疾病中的遗传作用的知识,鉴于铁状态可以改变,这为肝病预防提供了临床和公共卫生意义。

https://cdn.ncbi.nlm.nih.gov/pmc/blobs/2923/9523310/8bf81717adda/fnut-09-964163-g0001.jpg

文献AI研究员

20分钟写一篇综述,助力文献阅读效率提升50倍。

立即体验

用中文搜PubMed

大模型驱动的PubMed中文搜索引擎

马上搜索

文档翻译

学术文献翻译模型,支持多种主流文档格式。

立即体验