Wu Yuanheng, Liu Jinxing, Yang Yongqiang, Tu Shaotong, Liu Zichen, Wang Yingyun, Peng Chen, Liu Gang, Jin Yipeng
Department of Clinical Veterinary Medicine, College of Veterinary Medicine, China Agricultural University, Beijing, China.
Tsinghua Laboratory of Brain and Intelligence, Nonhuman Primate Research Center Tsingua University, Beijing, China.
Front Vet Sci. 2022 Sep 14;9:985733. doi: 10.3389/fvets.2022.985733. eCollection 2022.
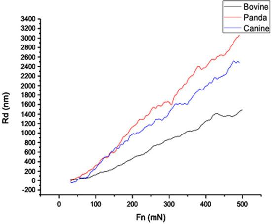
Giant pandas are the flagship species in world conservation. Due to bamboo being the primary food source for giant pandas, dental wear is common owing to the extreme toughness of the bamboo fiber. Even though research on tooth enamel wear in humans and domestic animals is well-established, research on tooth enamel wear in giant pandas is scarce. The purpose of this study is to evaluate tooth enamel wear resistance in giant pandas to provide a basis for a better understanding of their evolutionary process. From microscopic and macroscopic perspectives, the abrasion resistance of dental enamel in giant pandas is compared with that of herbivorous cattle and carnivorous dogs in this study. This involves the use of micro-scratch and frictional wear tests. The results show that the boundary between the enamel prism and the enamel prism stroma is well-defined in panda and canine teeth, while bovine tooth enamel appears denser. Under constant load, the tribological properties of giant panda enamel are similar to those of canines and significantly different from those of bovines. Test results show that the depth of micro scratches in giant panda and canine enamel was greater than in cattle, with greater elastic recovery occurring in dogs. Scratch morphology indicates that the enamel substantive damage critical value is greater in pandas than in both dogs and cattle. The analysis suggests that giant panda enamel consists of a neatly arranged special structure that may disperse extrusion stress and absorb impact energy through a series of inelastic deformation mechanisms to cope with the wear caused by eating bamboo. In this study, the excellent wear resistance of giant panda's tooth enamel is verified by wear tests. A possible theoretical explanation of how the special structure of giant panda tooth enamel may improve its wear resistance is provided. This provides a direction for subsequent theoretical and experimental studies on giant panda tooth enamel and its biomaterials.
大熊猫是全球保护的旗舰物种。由于竹子是大熊猫的主要食物来源,竹子纤维的极高韧性导致牙齿磨损很常见。尽管关于人类和家畜牙釉质磨损的研究已经很成熟,但关于大熊猫牙釉质磨损的研究却很少。本研究的目的是评估大熊猫牙釉质的耐磨性能,为更好地理解其进化过程提供依据。本研究从微观和宏观角度,将大熊猫牙釉质的耐磨性与食草的牛和食肉的狗进行比较。这涉及使用微划痕和摩擦磨损测试。结果表明,大熊猫和犬齿的釉柱与釉柱间质之间的边界清晰,而牛的牙釉质看起来更致密。在恒定载荷下,大熊猫牙釉质的摩擦学性能与犬类相似,与牛类有显著差异。测试结果表明,大熊猫和犬类牙釉质的微划痕深度大于牛,犬类的弹性恢复更大。划痕形态表明,大熊猫牙釉质的实质性损伤临界值大于犬类和牛类。分析表明,大熊猫牙釉质由排列整齐的特殊结构组成,该结构可能通过一系列非弹性变形机制分散挤压应力并吸收冲击能量,以应对吃竹子造成的磨损。本研究通过磨损测试验证了大熊猫牙釉质具有优异的耐磨性能。提供了一种关于大熊猫牙釉质特殊结构如何提高其耐磨性的可能理论解释。这为后续关于大熊猫牙釉质及其生物材料的理论和实验研究提供了方向。