• 文献检索
  • 文档翻译
  • 深度研究
  • 学术资讯
  • Suppr Zotero 插件Zotero 插件
  • 邀请有礼
  • 套餐&价格
  • 历史记录
应用&插件
Suppr Zotero 插件Zotero 插件浏览器插件Mac 客户端Windows 客户端微信小程序
定价
高级版会员购买积分包购买API积分包
服务
文献检索文档翻译深度研究API 文档MCP 服务
关于我们
关于 Suppr公司介绍联系我们用户协议隐私条款
关注我们

Suppr 超能文献

核心技术专利:CN118964589B侵权必究
粤ICP备2023148730 号-1Suppr @ 2026

文献检索

告别复杂PubMed语法,用中文像聊天一样搜索,搜遍4000万医学文献。AI智能推荐,让科研检索更轻松。

立即免费搜索

文件翻译

保留排版,准确专业,支持PDF/Word/PPT等文件格式,支持 12+语言互译。

免费翻译文档

深度研究

AI帮你快速写综述,25分钟生成高质量综述,智能提取关键信息,辅助科研写作。

立即免费体验

可扩展的微反应器概念,用于使用水性电解质的羧酸的连续 Kolbe 电解。

Scalable Microreactor Concept for the Continuous Kolbe Electrolysis of Carboxylic Acids Using Aqueous Electrolyte.

机构信息

Division Chemistry - Sustainable Chemical Syntheses, Fraunhofer Institute for Microengineering and Microsystems IMM, Carl-Zeiss-Straße 18-20, 55129, Mainz, Germany.

Technical University of Darmstadt, Department of Chemistry, Ernst-Berl-Institut für Technische und Makromolekulare Chemie, Aalrich-Weiss-Straße 8, 64287, Darmstadt, Germany.

出版信息

ChemistryOpen. 2022 Oct;11(10):e202200171. doi: 10.1002/open.202200171.

DOI:10.1002/open.202200171
PMID:36200517
原文链接:https://pmc.ncbi.nlm.nih.gov/articles/PMC9535501/
Abstract

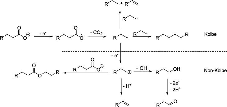
The Kolbe electrolysis is a promising reaction to combine the usage of electrons as reagents and the application of renewable generated carboxylic acids as raw materials producing value added chemicals. Within this study, the electrolysis was conducted in a specially developed concept electrochemical microreactor and draws the particular attention to continuous operation and reuse of the aqueous electrolyte as well as of the dissolved unreacted feedstock. The electrolysis was conducted in alkaline aqueous solution using n-octanoic acid as model substance. Platinized titanium as anode material in an undivided cell setup was shown to give Kolbe selectivity above 90 %. During the technically relevant conditions of current densities up to 0.6 A cm and overall electrolysis times of up to 3 h, a high electrode stability was observed. Finally, a proof-of-concept continuous operation and the numbering up potential of the ECMR could be demonstrated.

摘要

科尔贝电解是一种很有前途的反应,可以将电子作为试剂使用,并利用可再生生成的羧酸作为原料来生产增值化学品。在这项研究中,电解是在专门开发的电化学微反应器概念中进行的,特别关注水相电解质以及未反应的溶解原料的连续操作和再利用。电解在碱性水溶液中进行,以正辛酸作为模型物质。在未分隔的电池装置中,使用镀铂钛作为阳极材料,其科尔贝选择性超过 90%。在电流密度高达 0.6 A/cm 和总电解时间长达 3 小时的技术相关条件下,观察到高电极稳定性。最后,证明了 ECMR 的连续操作和扩大规模的潜力。

https://cdn.ncbi.nlm.nih.gov/pmc/blobs/d670/9535501/abab3528fee3/OPEN-11-e202200171-g001.jpg
https://cdn.ncbi.nlm.nih.gov/pmc/blobs/d670/9535501/8c403a109d24/OPEN-11-e202200171-g006.jpg
https://cdn.ncbi.nlm.nih.gov/pmc/blobs/d670/9535501/c89393c0c859/OPEN-11-e202200171-g003.jpg
https://cdn.ncbi.nlm.nih.gov/pmc/blobs/d670/9535501/7dde033d4dd5/OPEN-11-e202200171-g004.jpg
https://cdn.ncbi.nlm.nih.gov/pmc/blobs/d670/9535501/f7d3131220f1/OPEN-11-e202200171-g007.jpg
https://cdn.ncbi.nlm.nih.gov/pmc/blobs/d670/9535501/768be55280ce/OPEN-11-e202200171-g005.jpg
https://cdn.ncbi.nlm.nih.gov/pmc/blobs/d670/9535501/abab3528fee3/OPEN-11-e202200171-g001.jpg
https://cdn.ncbi.nlm.nih.gov/pmc/blobs/d670/9535501/8c403a109d24/OPEN-11-e202200171-g006.jpg
https://cdn.ncbi.nlm.nih.gov/pmc/blobs/d670/9535501/c89393c0c859/OPEN-11-e202200171-g003.jpg
https://cdn.ncbi.nlm.nih.gov/pmc/blobs/d670/9535501/7dde033d4dd5/OPEN-11-e202200171-g004.jpg
https://cdn.ncbi.nlm.nih.gov/pmc/blobs/d670/9535501/f7d3131220f1/OPEN-11-e202200171-g007.jpg
https://cdn.ncbi.nlm.nih.gov/pmc/blobs/d670/9535501/768be55280ce/OPEN-11-e202200171-g005.jpg
https://cdn.ncbi.nlm.nih.gov/pmc/blobs/d670/9535501/abab3528fee3/OPEN-11-e202200171-g001.jpg

相似文献

1
Scalable Microreactor Concept for the Continuous Kolbe Electrolysis of Carboxylic Acids Using Aqueous Electrolyte.可扩展的微反应器概念,用于使用水性电解质的羧酸的连续 Kolbe 电解。
ChemistryOpen. 2022 Oct;11(10):e202200171. doi: 10.1002/open.202200171.
2
Platinized Titanium as Alternative Cost-Effective Anode for Efficient Kolbe Electrolysis in Aqueous Electrolyte Solutions.载铂钛作为替代的经济高效阳极,用于在水性电解液中进行高效科尔贝电解。
ChemSusChem. 2021 Aug 9;14(15):3097-3109. doi: 10.1002/cssc.202100854. Epub 2021 Jul 3.
3
Beyond Kolbe and Hofer-Moest: Electrochemical Synthesis of Carboxylic Anhydrides from Carboxylic Acids.超越科尔贝和霍费尔-莫斯特:从羧酸电化学合成羧酸酐。
ChemistryOpen. 2022 May;11(5):e202200059. doi: 10.1002/open.202200059.
4
On-line Electrode Dissolution Monitoring during Organic Electrosynthesis: Direct Evidence of Electrode Dissolution during Kolbe Electrolysis.在线电极溶解监测在有机电化学合成中的应用:Kolbe 电解过程中电极溶解的直接证据。
ChemSusChem. 2022 Mar 8;15(5):e202102228. doi: 10.1002/cssc.202102228. Epub 2022 Feb 3.
5
Amorphous RuO Catalyst for Medium Size Carboxylic Acid to Alkane Dimer Selective Kolbe Electrolysis in an Aqueous Environment.用于中等尺寸羧酸在水性环境中选择性进行Kolbe电解生成烷烃二聚体的非晶态RuO催化剂。
ChemSusChem. 2023 Aug 21;16(16):e202300222. doi: 10.1002/cssc.202300222. Epub 2023 Jul 10.
6
Hetero-Coupling of Bio-Based Medium-Chain Carboxylic Acids by Kolbe Electrolysis Enables High Fuel Yield and Efficiency.Kolbe 电解偶联生物基中链羧酸可实现高燃料产率和效率。
ChemSusChem. 2022 Nov 8;15(21):e202201426. doi: 10.1002/cssc.202201426. Epub 2022 Sep 20.
7
Electrochemical degradation of perfluorooctanoic acid (PFOA) by Ti/SnO2-Sb, Ti/SnO2-Sb/PbO2 and Ti/SnO2-Sb/MnO2 anodes.Ti/SnO2-Sb、Ti/SnO2-Sb/PbO2 和 Ti/SnO2-Sb/MnO2 阳极电化学降解全氟辛酸 (PFOA)。
Water Res. 2012 May 1;46(7):2281-9. doi: 10.1016/j.watres.2012.01.053. Epub 2012 Feb 16.
8
The Dilemma of Supporting Electrolytes for Electroorganic Synthesis: A Case Study on Kolbe Electrolysis.支持电有机合成电解质的困境:以Kolbe 电解为例。
ChemSusChem. 2016 Jan 8;9(1):50-60. doi: 10.1002/cssc.201501407. Epub 2015 Nov 19.
9
Development of an electrolytic system for non-Kolbe electrolysis based on the acid-base reaction between carboxylic acids as a substrate and solid-supported bases.基于羧酸作为底物与固体负载碱之间的酸碱反应开发一种用于非Kolbe电解的电解系统。
J Am Chem Soc. 2007 May 30;129(21):6680-1. doi: 10.1021/ja070283w. Epub 2007 May 4.
10
Electrochemical Dehydration of Dicarboxylic Acids to Their Cyclic Anhydrides.二元羧酸电化学脱水制备其环状酸酐
Chemistry. 2024 May 28;30(30):e202400403. doi: 10.1002/chem.202400403. Epub 2024 Apr 17.

本文引用的文献

1
Electro-organic synthesis - a 21 century technique.电有机合成——一项21世纪的技术。
Chem Sci. 2020 May 20;11(46):12386-12400. doi: 10.1039/d0sc01848a.
2
Bridging Lab and Industry with Flow Electrochemistry.通过流动电化学连接实验室与产业界。
iScience. 2020 Oct 22;23(11):101720. doi: 10.1016/j.isci.2020.101720. eCollection 2020 Nov 20.
3
Electrochemical strategies for C-H functionalization and C-N bond formation.电化学策略用于 C-H 功能化和 C-N 键形成。
Chem Soc Rev. 2018 Jul 30;47(15):5786-5865. doi: 10.1039/c7cs00619e.
4
Modern Electrochemical Aspects for the Synthesis of Value-Added Organic Products.用于合成高附加值有机产品的现代电化学研究进展
Angew Chem Int Ed Engl. 2018 May 22;57(21):6018-6041. doi: 10.1002/anie.201712732. Epub 2018 Apr 19.
5
Electrobiorefineries: Unlocking the Synergy of Electrochemical and Microbial Conversions.电生物精炼厂:解锁电化学和微生物转化的协同作用。
Angew Chem Int Ed Engl. 2018 Aug 6;57(32):10016-10023. doi: 10.1002/anie.201711727. Epub 2018 Feb 28.
6
Flow Electrolysis Cells for the Synthetic Organic Chemistry Laboratory.用于合成有机化学实验室的流动电解槽
Chem Rev. 2018 May 9;118(9):4573-4591. doi: 10.1021/acs.chemrev.7b00360. Epub 2017 Sep 18.
7
Applications of Flow Microreactors in Electrosynthetic Processes.流动微反应器在电合成过程中的应用。
Chem Rev. 2018 May 9;118(9):4541-4572. doi: 10.1021/acs.chemrev.7b00353. Epub 2017 Sep 8.
8
Synthetic Organic Electrochemistry: Calling All Engineers.合成有机电化学:向所有工程师发出邀请。
Angew Chem Int Ed Engl. 2018 Apr 9;57(16):4149-4155. doi: 10.1002/anie.201707584. Epub 2017 Nov 3.
9
Electrochemical Coupling of Biomass-Derived Acids: New C Platforms for Renewable Polymers and Fuels.生物质衍生酸的电化学偶联:用于可再生聚合物和燃料的新型碳平台
ChemSusChem. 2017 Jan 10;10(1):166-170. doi: 10.1002/cssc.201601271. Epub 2016 Dec 22.
10
The Dilemma of Supporting Electrolytes for Electroorganic Synthesis: A Case Study on Kolbe Electrolysis.支持电有机合成电解质的困境:以Kolbe 电解为例。
ChemSusChem. 2016 Jan 8;9(1):50-60. doi: 10.1002/cssc.201501407. Epub 2015 Nov 19.