• 文献检索
  • 文档翻译
  • 深度研究
  • 学术资讯
  • Suppr Zotero 插件Zotero 插件
  • 邀请有礼
  • 套餐&价格
  • 历史记录
应用&插件
Suppr Zotero 插件Zotero 插件浏览器插件Mac 客户端Windows 客户端微信小程序
定价
高级版会员购买积分包购买API积分包
服务
文献检索文档翻译深度研究API 文档MCP 服务
关于我们
关于 Suppr公司介绍联系我们用户协议隐私条款
关注我们

Suppr 超能文献

核心技术专利:CN118964589B侵权必究
粤ICP备2023148730 号-1Suppr @ 2026

文献检索

告别复杂PubMed语法,用中文像聊天一样搜索,搜遍4000万医学文献。AI智能推荐,让科研检索更轻松。

立即免费搜索

文件翻译

保留排版,准确专业,支持PDF/Word/PPT等文件格式,支持 12+语言互译。

免费翻译文档

深度研究

AI帮你快速写综述,25分钟生成高质量综述,智能提取关键信息,辅助科研写作。

立即免费体验

预测四肢R0/R1期软组织肉瘤局部和远处复发及疾病特异性死亡率的列线图。

Nomograms predicting local and distant recurrence and disease-specific mortality for R0/R1 soft tissue sarcomas of the extremities.

作者信息

De Sanctis Rita, Zelic Renata, Santoro Armando

机构信息

Medical Oncology and Hematology Unit, IRCCS Humanitas Research Hospital, Humanitas Cancer Center, Rozzano, Italy.

Department of Biomedical Sciences, Humanitas University, Pieve Emanuele, Italy.

出版信息

Front Oncol. 2022 Sep 20;12:941896. doi: 10.3389/fonc.2022.941896. eCollection 2022.

DOI:10.3389/fonc.2022.941896
PMID:36203418
原文链接:https://pmc.ncbi.nlm.nih.gov/articles/PMC9530899/
Abstract

BACKGROUND

Prognostic models for patients with soft tissue sarcoma (STS) of the extremities have been developed from large multi-institutional datasets with mixed results. We aimed to develop predictive nomograms for sarcoma-specific survival (SSS) and, for the first time, long-term local recurrence (LR) and distant recurrence (DR) in patients with STS of the extremities treated at our institution.

PATIENTS AND METHODS

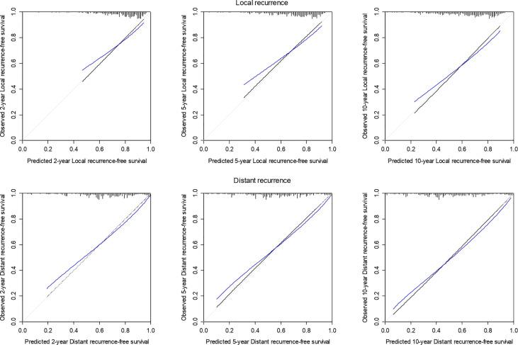
Data from patients treated at Humanitas Cancer Center from 1997 to 2015 were analyzed. Variable selection was based on the clinical knowledge and multivariable regression splines algorithm. Perioperative treatments were always included in the model. Prognostic models were developed using Cox proportional hazards model, and model estimates were plotted in nomograms predicting SSS at 5 and 10 years and LR and DR at 2, 5, and 10 years. Model performance was estimated internally bootstrapping, in terms of optimism-corrected discrimination (Harrell C-index) and calibration (calibration plots).

RESULTS

Data on 517 patients were analyzed. At 5 and 10 years, SSS was 68.1% [95% confidence interval (CI), 63.8-72.1] and 55.6% (50.5-60.3), respectively. LR was 79.1% (95% CI, 75.3-82.4), 71.1% (95% CI, 66.7-75.1), and 66.0% (95% CI, 60.7-70.7) at 2, 5, and 10 years, respectively, whereas DR was 65.9% (95% CI, 61.6-69.9), 57.5% (95% CI, 53.0-61.8), and 52.1% (95% CI, 47.1-56.8) at 2, 5, and 10 years, respectively. SSS nomogram included age, gender, margins, tumor size, grading, and histotype. LR and DR nomograms incorporated mostly the same variables, except for age for DR; LR nomogram did not include gender but included anatomic site. The optimism-corrected C-indexes were 0.73 and 0.72 for SSS at 5 and 10 years, respectively; 0.65, 0.64, and 0.64 for LR at 2, 5, and 10 years, respectively; and 0.68 for DR at 2, 5, and 10 years. Predicted probabilities were close to the observed ones for all outcomes.

CONCLUSIONS

We developed and validated three nomograms for STS of the extremities predicting the probability of SSS at 5 and 10 years and LR and DR at 2, 5, and 10 years. By accounting for the perioperative treatment, these models allow prediction for future patients who had no perioperative treatment, thus being useful in the clinical decision-making process.

摘要

背景

基于大型多机构数据集已开发出肢体软组织肉瘤(STS)患者的预后模型,但结果不一。我们旨在为在我院接受治疗的肢体STS患者开发肉瘤特异性生存(SSS)预测列线图,并首次开发长期局部复发(LR)和远处复发(DR)预测列线图。

患者与方法

分析了1997年至2015年在胡梅塔斯癌症中心接受治疗的患者数据。变量选择基于临床知识和多变量回归样条算法。围手术期治疗始终纳入模型。使用Cox比例风险模型开发预后模型,并将模型估计值绘制在列线图中,以预测5年和10年的SSS以及2年、5年和10年的LR和DR。通过内部自举法,根据乐观校正鉴别力(Harrell C指数)和校准(校准图)评估模型性能。

结果

分析了517例患者的数据。5年和10年时,SSS分别为68.1%[95%置信区间(CI),63.8 - 72.1]和55.6%(50.5 - 60.3)。2年、5年和10年时,LR分别为79.1%(95%CI,75.3 - 82.4)、71.1%(95%CI,66.7 - 75.1)和66.0%(95%CI,60.7 - 70.7),而DR在2年、5年和10年时分别为65.9%(95%CI,61.6 - 69.9)、57.5%(95%CI,53.0 - 61.8)和52.1%(95%CI,47.1 - 56.8)。SSS列线图包括年龄、性别、切缘、肿瘤大小、分级和组织学类型。LR和DR列线图纳入的变量大多相同,DR列线图除外年龄;LR列线图不包括性别,但包括解剖部位。5年和10年时SSS的乐观校正C指数分别为0.73和0.72;2年、5年和10年时LR的乐观校正C指数分别为0.65、0.64和0.64;2年、5年和10年时DR的乐观校正C指数为0.68。所有结局的预测概率均与观察到的概率接近。

结论

我们开发并验证了三个用于肢体STS的列线图,可预测5年和10年的SSS概率以及2年、5年和10年的LR和DR概率。通过考虑围手术期治疗,这些模型可对未接受围手术期治疗的未来患者进行预测,从而有助于临床决策过程。

https://cdn.ncbi.nlm.nih.gov/pmc/blobs/e49d/9530899/51b75c915c96/fonc-12-941896-g005.jpg
https://cdn.ncbi.nlm.nih.gov/pmc/blobs/e49d/9530899/1bfc5febea2d/fonc-12-941896-g001.jpg
https://cdn.ncbi.nlm.nih.gov/pmc/blobs/e49d/9530899/686b0e6726a2/fonc-12-941896-g002.jpg
https://cdn.ncbi.nlm.nih.gov/pmc/blobs/e49d/9530899/0926c522b67c/fonc-12-941896-g003.jpg
https://cdn.ncbi.nlm.nih.gov/pmc/blobs/e49d/9530899/64dc1db7f8e2/fonc-12-941896-g004.jpg
https://cdn.ncbi.nlm.nih.gov/pmc/blobs/e49d/9530899/51b75c915c96/fonc-12-941896-g005.jpg
https://cdn.ncbi.nlm.nih.gov/pmc/blobs/e49d/9530899/1bfc5febea2d/fonc-12-941896-g001.jpg
https://cdn.ncbi.nlm.nih.gov/pmc/blobs/e49d/9530899/686b0e6726a2/fonc-12-941896-g002.jpg
https://cdn.ncbi.nlm.nih.gov/pmc/blobs/e49d/9530899/0926c522b67c/fonc-12-941896-g003.jpg
https://cdn.ncbi.nlm.nih.gov/pmc/blobs/e49d/9530899/64dc1db7f8e2/fonc-12-941896-g004.jpg
https://cdn.ncbi.nlm.nih.gov/pmc/blobs/e49d/9530899/51b75c915c96/fonc-12-941896-g005.jpg

相似文献

1
Nomograms predicting local and distant recurrence and disease-specific mortality for R0/R1 soft tissue sarcomas of the extremities.预测四肢R0/R1期软组织肉瘤局部和远处复发及疾病特异性死亡率的列线图。
Front Oncol. 2022 Sep 20;12:941896. doi: 10.3389/fonc.2022.941896. eCollection 2022.
2
Development and external validation of two nomograms to predict overall survival and occurrence of distant metastases in adults after surgical resection of localised soft-tissue sarcomas of the extremities: a retrospective analysis.发展和外部验证两种列线图,以预测成人肢体局限性软组织肉瘤手术后的总生存和远处转移发生:回顾性分析。
Lancet Oncol. 2016 May;17(5):671-80. doi: 10.1016/S1470-2045(16)00010-3. Epub 2016 Apr 5.
3
Development of nomograms for prognostication of patients with primary soft tissue sarcomas of the trunk and extremity: report from the Bone and Soft Tissue Tumor Registry in Japan.日本骨与软组织肿瘤登记处报告:预测躯干和四肢原发性软组织肉瘤患者预后的列线图的建立。
BMC Cancer. 2019 Jul 4;19(1):657. doi: 10.1186/s12885-019-5875-y.
4
Effect of Preoperative Treatment on the Performance of Predictive Nomograms in Primary Retroperitoneal Sarcoma.术前治疗对原发性腹膜后肉瘤预测列线图性能的影响。
Ann Surg Oncol. 2022 Apr;29(4):2304-2314. doi: 10.1245/s10434-021-11156-x. Epub 2022 Jan 13.
5
Development and Validation of Novel Nomograms for Predicting Specific Distant Metastatic Sites and Overall Survival of Patients With Soft Tissue Sarcoma.软组织肉瘤患者特定远处转移部位和总生存的新型列线图的建立和验证。
Technol Cancer Res Treat. 2021 Jan-Dec;20:1533033821997828. doi: 10.1177/1533033821997828.
6
Predicting Survival in Patients Undergoing Resection for Locally Recurrent Retroperitoneal Sarcoma: A Study and Novel Nomogram from TARPSWG.预测接受局部复发性腹膜后肉瘤切除术患者的生存:TARPSWG 的研究和新的列线图。
Clin Cancer Res. 2019 Apr 15;25(8):2664-2671. doi: 10.1158/1078-0432.CCR-18-2700. Epub 2019 Feb 5.
7
Extremity Soft Tissue Sarcoma: A Multi-Institutional Validation of Prognostic Nomograms.肢体软组织肉瘤:预后列线图的多机构验证。
Ann Surg Oncol. 2022 May;29(5):3291-3301. doi: 10.1245/s10434-021-11205-5. Epub 2022 Jan 11.
8
A postoperative nomogram for local recurrence risk in extremity soft tissue sarcomas after limb-sparing surgery without adjuvant radiation.保肢手术后不进行辅助放疗的肢体软组织肉瘤局部复发风险的术后列线图。
Ann Surg. 2012 Feb;255(2):343-7. doi: 10.1097/SLA.0b013e3182367aa7.
9
Subtype specific prognostic nomogram for patients with primary liposarcoma of the retroperitoneum, extremity, or trunk.针对腹膜后、四肢或躯干原发性脂肪肉瘤患者的亚型特异性预后列线图。
Ann Surg. 2006 Sep;244(3):381-91. doi: 10.1097/01.sla.0000234795.98607.00.
10
Early distinction of lymph node metastasis in patients with soft tissue sarcoma and individualized survival prediction using the online available nomograms: A population-based analysis.软组织肉瘤患者淋巴结转移的早期鉴别及使用在线可用列线图进行个体化生存预测:一项基于人群的分析
Front Oncol. 2022 Dec 7;12:959804. doi: 10.3389/fonc.2022.959804. eCollection 2022.

引用本文的文献

1
C‑reactive protein and related predictors in soft tissue sarcoma (Review).软组织肉瘤中的C反应蛋白及相关预测指标(综述)
Mol Clin Oncol. 2023 Nov 24;20(1):6. doi: 10.3892/mco.2023.2704. eCollection 2024 Jan.

本文引用的文献

1
Pulmonary metastasectomy in bone and soft tissue sarcoma with metastasis to the lung.肺部转移瘤切除术治疗肺部转移的骨与软组织肉瘤。
Interact Cardiovasc Thorac Surg. 2021 Nov 22;33(6):879-884. doi: 10.1093/icvts/ivab178.
2
Prognosis prediction of extremity and trunk wall soft-tissue sarcomas treated with surgical resection with radiomic analysis based on random survival forest.基于随机生存森林的放射组学分析预测手术切除治疗肢体和躯干壁软组织肉瘤的预后。
Updates Surg. 2022 Feb;74(1):355-365. doi: 10.1007/s13304-021-01074-8. Epub 2021 May 18.
3
Development and Validation of Novel Nomograms for Predicting Specific Distant Metastatic Sites and Overall Survival of Patients With Soft Tissue Sarcoma.
软组织肉瘤患者特定远处转移部位和总生存的新型列线图的建立和验证。
Technol Cancer Res Treat. 2021 Jan-Dec;20:1533033821997828. doi: 10.1177/1533033821997828.
4
Complete pathological response to neoadjuvant treatment is associated with better survival outcomes in patients with soft tissue sarcoma: Results of a retrospective multicenter study.新辅助治疗完全病理缓解与软组织肉瘤患者的生存结局改善相关:一项回顾性多中心研究结果。
Eur J Surg Oncol. 2021 Aug;47(8):2166-2172. doi: 10.1016/j.ejso.2021.02.024. Epub 2021 Feb 26.
5
Impact of surgical margin on survival in extremity soft tissue sarcoma: A systematic review and meta-analysis.手术切缘对肢体软组织肉瘤生存的影响:系统评价和荟萃分析。
Medicine (Baltimore). 2021 Jan 22;100(3):e24124. doi: 10.1097/MD.0000000000024124.
6
Multimodal Risk-Adapted Treatment in Surgical Patients With Synovial Sarcoma: A Preoperative Nomogram-Guided Adjuvant Treatment Strategy.滑膜肉瘤手术患者的多模式风险适应性治疗:一种术前列线图引导的辅助治疗策略。
Front Surg. 2020 Dec 21;7:579726. doi: 10.3389/fsurg.2020.579726. eCollection 2020.
7
External validation and adaptation of a dynamic prediction model for patients with high-grade extremity soft tissue sarcoma.高级肢体软组织肉瘤患者动态预测模型的外部验证和适应性调整。
J Surg Oncol. 2021 Mar;123(4):1050-1056. doi: 10.1002/jso.26337. Epub 2020 Dec 17.
8
Development and validation of a novel prognostic model for long-term overall survival in liposarcoma patients: a population-based study.开发并验证一种新型的脂肪肉瘤患者长期总生存预后模型:基于人群的研究。
J Int Med Res. 2020 Dec;48(12):300060520975882. doi: 10.1177/0300060520975882.
9
Nomogram for predicting the overall survival and cancer-specific survival of patients with extremity liposarcoma: a population-based study.基于人群的研究:用于预测肢体脂肪肉瘤患者总生存率和癌症特异性生存率的列线图。
BMC Cancer. 2020 Sep 16;20(1):889. doi: 10.1186/s12885-020-07396-x.
10
State of the art in selection of variables and functional forms in multivariable analysis-outstanding issues.多变量分析中变量和函数形式选择的当前技术水平——突出问题
Diagn Progn Res. 2020 Apr 2;4:3. doi: 10.1186/s41512-020-00074-3. eCollection 2020.