• 文献检索
  • 文档翻译
  • 深度研究
  • 学术资讯
  • Suppr Zotero 插件Zotero 插件
  • 邀请有礼
  • 套餐&价格
  • 历史记录
应用&插件
Suppr Zotero 插件Zotero 插件浏览器插件Mac 客户端Windows 客户端微信小程序
定价
高级版会员购买积分包购买API积分包
服务
文献检索文档翻译深度研究API 文档MCP 服务
关于我们
关于 Suppr公司介绍联系我们用户协议隐私条款
关注我们

Suppr 超能文献

核心技术专利:CN118964589B侵权必究
粤ICP备2023148730 号-1Suppr @ 2026

文献检索

告别复杂PubMed语法,用中文像聊天一样搜索,搜遍4000万医学文献。AI智能推荐,让科研检索更轻松。

立即免费搜索

文件翻译

保留排版,准确专业,支持PDF/Word/PPT等文件格式,支持 12+语言互译。

免费翻译文档

深度研究

AI帮你快速写综述,25分钟生成高质量综述,智能提取关键信息,辅助科研写作。

立即免费体验

疟原虫肝期命运决定:来自患者分离株的裂殖体生长及休眠体命运特征分析

Liver-stage fate determination in parasites: Characterization of schizont growth and hypnozoite fating from patient isolates.

作者信息

Vantaux Amélie, Péneau Julie, Cooper Caitlin A, Kyle Dennis E, Witkowski Benoit, Maher Steven P

机构信息

Malaria Molecular Epidemiology Unit, Institut Pasteur du Cambodge, Phnom Penh, Cambodia.

Center for Tropical and Emerging Global Diseases, University of Georgia, Athens, GA, United States.

出版信息

Front Microbiol. 2022 Sep 23;13:976606. doi: 10.3389/fmicb.2022.976606. eCollection 2022.

DOI:10.3389/fmicb.2022.976606
PMID:36212849
原文链接:https://pmc.ncbi.nlm.nih.gov/articles/PMC9539820/
Abstract

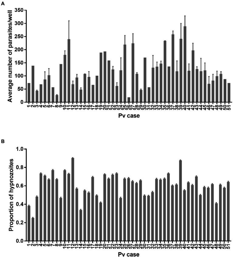
, one species of parasite causing human malaria, forms a dormant liver stage, termed the hypnozoite, which activate weeks, months or years after the primary infection, causing relapse episodes. Relapses significantly contribute to the vivax malaria burden and are only killed with drugs of the 8-aminoquinoline class, which are contraindicated in many vulnerable populations. Development of new therapies targeting hypnozoites is hindered, in part, by the lack of robust methods to continuously culture and characterize this parasite. As a result, the determinants of relapse periodicity and the molecular processes that drive hypnozoite formation, persistence, and activation are largely unknown. While previous reports have described vastly different liver-stage growth metrics attributable to which hepatocyte donor lot is used to initiate culture, a comprehensive assessment of how different patient isolates behave in the same lots at the same time is logistically challenging. Using our primary human hepatocyte-based liver-stage culture platform, we aimed to simultaneously test the effects of how hepatocyte donor lot and patient isolate influence the fate of sporozoites and growth of liver schizonts. We found that, while environmental factors such as hepatocyte donor lot can modulate hypnozoite formation rate, the case is also an important determinant of the proportion of hypnozoites observed in culture. In addition, we found schizont growth to be mostly influenced by hepatocyte donor lot. These results suggest that, while host hepatocytes harbor characteristics making them more- or less-supportive of a quiescent versus growing intracellular parasite, sporozoite fating toward hypnozoites is isolate-specific. Future studies involving these host-parasite interactions, including characterization of individual strains, should consider the impact of culture conditions on hypnozoite formation, in order to better understand this important part of the parasite's lifecycle.

摘要

间日疟原虫,一种导致人类疟疾的寄生虫,会形成一种休眠的肝期,称为休眠子,它在初次感染数周、数月或数年之后被激活,引发复发。复发对间日疟负担有显著影响,并且只有8-氨基喹啉类药物才能杀死休眠子,但这类药物在许多易感人群中是禁忌的。针对休眠子的新疗法的开发受到阻碍,部分原因是缺乏持续培养和鉴定这种寄生虫的可靠方法。因此,复发周期的决定因素以及驱动休眠子形成、持续存在和激活的分子过程在很大程度上是未知的。虽然之前的报告描述了由于使用不同批次的肝细胞供体启动培养而导致的肝期生长指标存在巨大差异,但对不同患者分离株在同一批次肝细胞中同时表现的全面评估在后勤方面具有挑战性。利用我们基于原代人肝细胞的肝期培养平台,我们旨在同时测试肝细胞供体批次和患者分离株如何影响子孢子的命运以及肝内裂殖体的生长。我们发现,虽然诸如肝细胞供体批次等环境因素可以调节休眠子形成率,但病例也是培养中观察到的休眠子比例的一个重要决定因素。此外,我们发现裂殖体生长主要受肝细胞供体批次的影响。这些结果表明,虽然宿主肝细胞具有一些特征,使其对静止或生长的细胞内寄生虫或多或少具有支持性,但子孢子向休眠子的分化具有分离株特异性。未来涉及这些宿主 - 寄生虫相互作用的研究,包括对单个菌株的表征,应考虑培养条件对休眠子形成的影响,以便更好地理解寄生虫生命周期的这一重要部分。

https://cdn.ncbi.nlm.nih.gov/pmc/blobs/28bb/9539820/faa0f5231b4a/fmicb-13-976606-g005.jpg
https://cdn.ncbi.nlm.nih.gov/pmc/blobs/28bb/9539820/bd16a0cc22ac/fmicb-13-976606-g001.jpg
https://cdn.ncbi.nlm.nih.gov/pmc/blobs/28bb/9539820/0637ab79fd81/fmicb-13-976606-g002.jpg
https://cdn.ncbi.nlm.nih.gov/pmc/blobs/28bb/9539820/21b21a7cec1b/fmicb-13-976606-g003.jpg
https://cdn.ncbi.nlm.nih.gov/pmc/blobs/28bb/9539820/92d091b6b06b/fmicb-13-976606-g004.jpg
https://cdn.ncbi.nlm.nih.gov/pmc/blobs/28bb/9539820/faa0f5231b4a/fmicb-13-976606-g005.jpg
https://cdn.ncbi.nlm.nih.gov/pmc/blobs/28bb/9539820/bd16a0cc22ac/fmicb-13-976606-g001.jpg
https://cdn.ncbi.nlm.nih.gov/pmc/blobs/28bb/9539820/0637ab79fd81/fmicb-13-976606-g002.jpg
https://cdn.ncbi.nlm.nih.gov/pmc/blobs/28bb/9539820/21b21a7cec1b/fmicb-13-976606-g003.jpg
https://cdn.ncbi.nlm.nih.gov/pmc/blobs/28bb/9539820/92d091b6b06b/fmicb-13-976606-g004.jpg
https://cdn.ncbi.nlm.nih.gov/pmc/blobs/28bb/9539820/faa0f5231b4a/fmicb-13-976606-g005.jpg

相似文献

1
Liver-stage fate determination in parasites: Characterization of schizont growth and hypnozoite fating from patient isolates.疟原虫肝期命运决定:来自患者分离株的裂殖体生长及休眠体命运特征分析
Front Microbiol. 2022 Sep 23;13:976606. doi: 10.3389/fmicb.2022.976606. eCollection 2022.
2
A novel immortalized hepatocyte-like cell line (imHC) supports in vitro liver stage development of the human malarial parasite Plasmodium vivax.一种新型永生化肝细胞样细胞系(imHC)支持体外人类疟原虫 vivax 的肝期发育。
Malar J. 2018 Jan 25;17(1):50. doi: 10.1186/s12936-018-2198-4.
3
Plasmodium vivax pre-erythrocytic stages and the latent hypnozoite.疟原虫红前期阶段和潜伏的休眠子。
Parasitol Int. 2021 Dec;85:102447. doi: 10.1016/j.parint.2021.102447. Epub 2021 Aug 30.
4
Single-cell RNA profiling of -infected hepatocytes reveals parasite- and host- specific transcriptomic signatures and therapeutic targets.单细胞 RNA 测序分析感染的肝细胞,揭示寄生虫和宿主特异性转录组特征和治疗靶点。
Front Cell Infect Microbiol. 2022 Aug 25;12:986314. doi: 10.3389/fcimb.2022.986314. eCollection 2022.
5
latent liver infection is characterized by persistent hypnozoites, hypnozoite-derived schizonts, and time-dependent efficacy of primaquine.潜伏性肝感染的特征是存在持续的休眠子、源自休眠子的裂殖体,以及伯氨喹的时间依赖性疗效。
Mol Ther Methods Clin Dev. 2022 Aug 2;26:427-440. doi: 10.1016/j.omtm.2022.07.016. eCollection 2022 Sep 8.
6
A recombinant antibody against Plasmodium vivax UIS4 for distinguishing replicating from dormant liver stages.一种针对间日疟原虫 UIS4 的重组抗体,用于区分复制期和休眠期肝期。
Malar J. 2018 Oct 17;17(1):370. doi: 10.1186/s12936-018-2519-7.
7
Latent Liver Stage Infection and Relapse: Biological Insights and New Experimental Tools.潜伏性肝期感染与复发:生物学见解及新实验工具
Annu Rev Microbiol. 2021 Oct 8;75:87-106. doi: 10.1146/annurev-micro-032421-061155. Epub 2021 Jul 1.
8
Modelling the contribution of the hypnozoite reservoir to Plasmodium vivax transmission.模拟潜隐体库对间日疟原虫传播的贡献。
Elife. 2014 Nov 18;3:e04692. doi: 10.7554/eLife.04692.
9
The hypnozoite and malarial relapse.潜隐子与疟疾复发
Prog Clin Parasitol. 1989;1:1-19.
10
Plasmodium vivax Liver and Blood Stages Recruit the Druggable Host Membrane Channel Aquaporin-3.恶性疟原虫肝期和红内期招募可用药靶宿主膜通道水通道蛋白-3。
Cell Chem Biol. 2020 Jun 18;27(6):719-727.e5. doi: 10.1016/j.chembiol.2020.03.009. Epub 2020 Apr 23.

引用本文的文献

1
Targeting T-Cell Activation for Malaria Immunotherapy: Scoping Review.靶向T细胞激活用于疟疾免疫治疗:范围综述
Pathogens. 2025 Jan 14;14(1):71. doi: 10.3390/pathogens14010071.
2
Host kinase regulation of dormant and replicating liver stages.宿主激酶对休眠期和复制期肝期的调控。
bioRxiv. 2023 Nov 13:2023.11.13.566868. doi: 10.1101/2023.11.13.566868.
3
Plasmodium vivax: the potential obstacles it presents to malaria elimination and eradication.间日疟原虫:其对疟疾消除和根除构成的潜在障碍

本文引用的文献

1
Single-cell RNA profiling of -infected hepatocytes reveals parasite- and host- specific transcriptomic signatures and therapeutic targets.单细胞 RNA 测序分析感染的肝细胞,揭示寄生虫和宿主特异性转录组特征和治疗靶点。
Front Cell Infect Microbiol. 2022 Aug 25;12:986314. doi: 10.3389/fcimb.2022.986314. eCollection 2022.
2
Single-cell RNA sequencing of Plasmodium vivax sporozoites reveals stage- and species-specific transcriptomic signatures.单细胞 RNA 测序揭示间日疟原虫子孢子的阶段和种特异性转录组特征。
PLoS Negl Trop Dis. 2022 Aug 4;16(8):e0010633. doi: 10.1371/journal.pntd.0010633. eCollection 2022 Aug.
3
Trop Dis Travel Med Vaccines. 2022 Dec 15;8(1):27. doi: 10.1186/s40794-022-00185-3.
4
Single-cell RNA profiling of -infected hepatocytes reveals parasite- and host- specific transcriptomic signatures and therapeutic targets.单细胞 RNA 测序分析感染的肝细胞,揭示寄生虫和宿主特异性转录组特征和治疗靶点。
Front Cell Infect Microbiol. 2022 Aug 25;12:986314. doi: 10.3389/fcimb.2022.986314. eCollection 2022.
Alkyne modified purines for assessment of activation of Plasmodium vivax hypnozoites and growth of pre-erythrocytic and erythrocytic stages in Plasmodium spp.
炔基修饰的嘌呤用于评估间日疟原虫休眠子的激活和疟原虫属的肝前期和红细胞期的生长。
Int J Parasitol. 2022 Oct;52(11):733-744. doi: 10.1016/j.ijpara.2022.03.003. Epub 2022 Apr 18.
4
A Phenotypic Screen for the Liver Stages of .针对……肝期的表型筛选
Bio Protoc. 2021 Dec 5;11(23):e4253. doi: 10.21769/BioProtoc.4253.
5
Probing the distinct chemosensitivity of Plasmodium vivax liver stage parasites and demonstration of 8-aminoquinoline radical cure activity in vitro.探究间日疟原虫肝脏期寄生虫的独特化学敏感性,并在体外证明 8-氨基喹啉自由基治愈活性。
Sci Rep. 2021 Oct 7;11(1):19905. doi: 10.1038/s41598-021-99152-9.
6
Latent Liver Stage Infection and Relapse: Biological Insights and New Experimental Tools.潜伏性肝期感染与复发:生物学见解及新实验工具
Annu Rev Microbiol. 2021 Oct 8;75:87-106. doi: 10.1146/annurev-micro-032421-061155. Epub 2021 Jul 1.
7
Single-cell RNA sequencing reveals developmental heterogeneity among Plasmodium berghei sporozoites.单细胞 RNA 测序揭示疟原虫孢子虫发育的异质性。
Sci Rep. 2021 Feb 22;11(1):4127. doi: 10.1038/s41598-021-82914-w.
8
Zonal human hepatocytes are differentially permissive to Plasmodium falciparum malaria parasites.区域性人肝细胞对疟原虫疟原虫的感染具有不同的易感性。
EMBO J. 2021 Mar 15;40(6):e106583. doi: 10.15252/embj.2020106583. Epub 2021 Jan 18.
9
A Humanized Mouse Model for Plasmodium vivax to Test Interventions that Block Liver Stage to Blood Stage Transition and Blood Stage Infection.用于测试阻断间日疟原虫肝期向血期转变及血期感染干预措施的人源化小鼠模型。
iScience. 2020 Aug 21;23(8):101381. doi: 10.1016/j.isci.2020.101381. Epub 2020 Jul 18.
10
Plasmodium vivax Liver and Blood Stages Recruit the Druggable Host Membrane Channel Aquaporin-3.恶性疟原虫肝期和红内期招募可用药靶宿主膜通道水通道蛋白-3。
Cell Chem Biol. 2020 Jun 18;27(6):719-727.e5. doi: 10.1016/j.chembiol.2020.03.009. Epub 2020 Apr 23.