Suppr超能文献

隧道火灾后无砟轨道损伤及力学性能分析

Analysis on Damage and Mechanical Properties of Ballastless Track in a Tunnel after a Fire.

作者信息

Ma Hujun, Chen Wei, Li Xiang, Xu Qingyuan, Lou Ping, Tong Chencai

机构信息

School of Civil Engineering, Central South University, Changsha 410075, China.

National Engineering Research Center of High-Speed Railway Construction Technology, Central South University, Changsha 410075, China.

出版信息

Materials (Basel). 2022 Sep 27;15(19):6712. doi: 10.3390/ma15196712.

Abstract

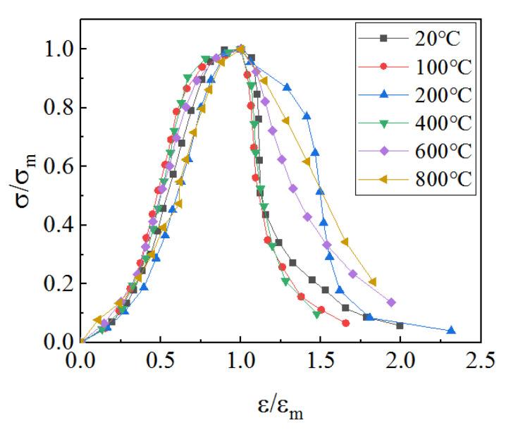
In order to explore the damage and mechanical properties of ballastless track after a fire, the uniaxial compressive strength, shear strength, peak strain, and elastic modulus changes due to temperature were obtained through uniaxial compressive and shear tests of concrete after exposure to high temperatures. The test results showed that with increases in temperature, the uniaxial compressive strength, shear strength, and elastic modulus of concrete all presented a decreasing trend, while the peak strain had an increasing trend. Then, based on the classical damage theory model and the strength probability distribution function of concrete micro-units, the high-temperature damage constitutive equation for concrete was established, and the compressive stress-strain curve of concrete after exposure to high temperature was reproduced. Finally, using the CFD numerical simulation software, the temperature field of a ballastless track structure in a tunnel during a fire was obtained, and the temperatures at different positions of ballastless track bed were acquired. Combined with the high-temperature damage constitutive equation for concrete deduced from tests and theoretical analysis, the strength and damage values of the ballastless track bed at different positions after a tunnel fire were obtained.

摘要

为探究火灾后无砟轨道的损伤及力学性能,通过高温后混凝土的单轴压缩和剪切试验,得出了温度作用下混凝土单轴抗压强度、抗剪强度、峰值应变及弹性模量的变化规律。试验结果表明,随着温度升高,混凝土的单轴抗压强度、抗剪强度和弹性模量均呈下降趋势,而峰值应变呈上升趋势。然后,基于经典损伤理论模型和混凝土微单元强度概率分布函数,建立了混凝土高温损伤本构方程,再现了高温后混凝土的压应力-应变曲线。最后,利用CFD数值模拟软件,得到了隧道内无砟轨道结构火灾时的温度场,获取了无砟轨道道床不同位置处的温度。结合试验及理论分析推导的混凝土高温损伤本构方程,得出了隧道火灾后无砟轨道道床不同位置处的强度及损伤值。

https://cdn.ncbi.nlm.nih.gov/pmc/blobs/a8dc/9571199/c99c2c598057/materials-15-06712-g001.jpg

文献AI研究员

20分钟写一篇综述,助力文献阅读效率提升50倍。

立即体验

用中文搜PubMed

大模型驱动的PubMed中文搜索引擎

马上搜索

文档翻译

学术文献翻译模型,支持多种主流文档格式。

立即体验