Department of Cardiology, The Second Hospital of Hebei Medical University, Shijiazhuang, China.
Department of Cardiology, Chengde Central Hospital, Chengde, China.
Ann Med. 2022 Dec;54(1):2898-2908. doi: 10.1080/07853890.2022.2134585.
There is scant data on the association of the Pulsed wave-Doppler tissue imaging (PW-DTI)-derived tricuspid lateral annular peak systolic velocity (S') and poor short-term prognosis of patients with acute decompensated heart failure (ADHF).
A total number of 732 participants from the Heb-ADHF registry in China were divided into three groups according to the corresponding status of tricuspid S'. Demographic characteristics, comorbidities, physical examinations, lab tests, and medications were compared among the different groups. Different logistic regression models were utilized to gauge the relationship between S' and the risk of a composite of short-term all-cause mortality or 30-day heart failure (HF)-related rehospitalization.
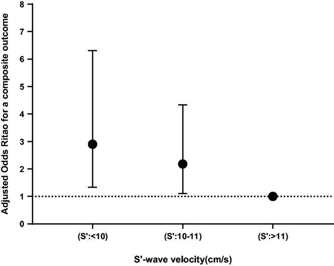
The number of composite outcome events identified in the study population was 85, with the short-term all-cause death coupled with 30-day HF readmission events reaching 23 and 62, respectively. As per the multivariable adjusted analysis, S' was inversely related to the risk of a composite outcome [<10 cm/s odds ratios (OR) 2.90, 95% confidence interval (CI):1.33-6.31; 10-11 cm/s OR 2.18, 95% CI: 1.10-4.33; for trend = 0.006] in comparison with S' at >11 cm/s. When S' was analysed as a continuous variable, per 1 cm/s increase, the OR (95% CI) for a composite outcome was [0.87 (0.77-0.99), = 0.028]. Area under curve (AUC) of S' for predicting outcome of ADHF was 0.631 (95%CI: 0.5730.690, < 0.01). Significant inverse association was also observed in left ventricular ejection fraction (LVEF) ≥40% subgroup.
Inspite of the potential confounders, a more impaired tricuspid annular peak systolic velocity is associated with a poorer short-term prognosis of patients with ADHF.
关于脉冲波多普勒组织成像(PW-DTI)衍生的三尖瓣外侧环收缩期峰值速度(S')与急性失代偿性心力衰竭(ADHF)患者短期预后不良的相关性,数据很少。
在中国 Heb-ADHF 登记处的 732 名参与者中,根据三尖瓣 S'的相应情况将其分为三组。比较不同组之间的人口统计学特征、合并症、体格检查、实验室检查和药物治疗。利用不同的逻辑回归模型来评估 S'与短期全因死亡率或 30 天心力衰竭(HF)相关再入院的复合风险之间的关系。
研究人群中复合结局事件的数量为 85 例,短期全因死亡合并 30 天 HF 再入院事件分别为 23 例和 62 例。根据多变量调整分析,S'与复合结局的风险呈负相关[<10cm/s 比值比(OR)2.90,95%置信区间(CI):1.33-6.31;10-11cm/s OR 2.18,95% CI:1.10-4.33;趋势=0.006],与 S'大于 11cm/s 相比。当 S'作为连续变量分析时,每增加 1cm/s,复合结局的 OR(95%CI)为[0.87(0.77-0.99),=0.028]。S'预测 ADHF 结局的曲线下面积(AUC)为 0.631(95%CI:0.5730.690,<0.01)。在左心室射血分数(LVEF)≥40%的亚组中也观察到显著的负相关。
尽管存在潜在的混杂因素,但三尖瓣环收缩期峰值速度越低,ADHF 患者的短期预后越差。