Suppr超能文献

铜死亡相关免疫检查点基因特征:预测肝细胞癌的预后和免疫反应

Cuproptosis-related immune checkpoint gene signature: Prediction of prognosis and immune response for hepatocellular carcinoma.

作者信息

Cong Tianhao, Luo Yingen, Liu Yu, Yang Chao, Yang Hongcai, Li Yujie, Li Jingui, Li Xiao

机构信息

Department of Interventional Therapy, National Cancer Center/National Clinical Research Center for Cancer/Cancer Hospital, Chinese Academy of Medical Sciences and Peking Union Medical College, Beijing, China.

出版信息

Front Genet. 2022 Oct 5;13:1000997. doi: 10.3389/fgene.2022.1000997. eCollection 2022.

Abstract

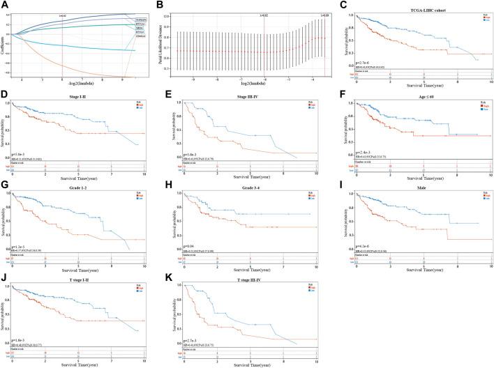
Immune checkpoint genes (ICGs), the foundation of immunotherapy, are involved in the incidence and progression of hepatocellular carcinoma (HCC). Cuproptosis is characterized by copper-induced cell death, and this novel cell death pathway has piqued the interest of researchers in recent years. It is worth noting that there is little information available in the literature to determine the relationship between cuproptosis and anti-tumor immunity. We identified 39 cuproptosis-related ICGs using ICGs co-expressed with cuproptosis-related genes. A prognostic risk signature was constructed using the Cox regression and the least absolute shrinkage and selection operator analysis methods. The signature was built using the Cancer Genome Atlas (TCGA)-Liver Hepatocellular Carcinoma database. The TCGA and International Cancer Genome Consortium cohorts were classified into two groups; the low- and high-risk groups were determined using a prognostic signature comprised of five genes. The multivariate Cox regression analysis revealed that the signature could independently predict overall survival. Furthermore, the level of immune infiltration analysis revealed the robustness of the prognostic signature-immune cell infiltration relationship observed for Tregs, macrophages, helper T cells, and naive B cells. Both groups showed significant differences in immune checkpoint expression levels. The gene enrichment analysis was used for characterization, and the results revealed that enriching various pathways such as PI3K-AKT-mTOR signaling, glycolysis, Wnt/beta-catenin signaling, and unfolded protein response could potentially influence the prognosis of patients with HCC and the level of immune infiltration. The sensitivity of the two groups of patients to various drug-targeted therapy methods and immunotherapy was analyzed. In conclusion, the findings presented here lay the foundation for developing individualized treatment methods for HCC patients. The findings also revealed that studying the cuproptosis-based pathway can aid in the prognosis of HCC patients. It is also possible that cuproptosis contributes to developing anti-tumor immunity in patients.

摘要

免疫检查点基因(ICGs)是免疫治疗的基础,参与肝细胞癌(HCC)的发生和发展。铜死亡以铜诱导的细胞死亡为特征,这种新的细胞死亡途径近年来引起了研究人员的兴趣。值得注意的是,文献中几乎没有信息可用于确定铜死亡与抗肿瘤免疫之间的关系。我们使用与铜死亡相关基因共表达的ICGs鉴定出39个与铜死亡相关的ICGs。使用Cox回归和最小绝对收缩和选择算子分析方法构建了一个预后风险特征。该特征是使用癌症基因组图谱(TCGA)-肝细胞癌数据库构建的。将TCGA和国际癌症基因组联盟队列分为两组;使用由五个基因组成的预后特征确定低风险组和高风险组。多变量Cox回归分析表明,该特征可以独立预测总生存期。此外,免疫浸润分析水平揭示了观察到的Tregs、巨噬细胞、辅助性T细胞和幼稚B细胞的预后特征与免疫细胞浸润关系的稳健性。两组在免疫检查点表达水平上均有显著差异。使用基因富集分析进行特征描述,结果表明,富集PI3K-AKT-mTOR信号传导、糖酵解、Wnt/β-连环蛋白信号传导和未折叠蛋白反应等各种途径可能会影响HCC患者的预后和免疫浸润水平。分析了两组患者对各种药物靶向治疗方法和免疫治疗的敏感性。总之,本文的研究结果为开发HCC患者的个体化治疗方法奠定了基础。研究结果还表明,研究基于铜死亡的途径有助于HCC患者的预后。铜死亡也有可能促进患者抗肿瘤免疫的发展。

https://cdn.ncbi.nlm.nih.gov/pmc/blobs/9121/9579294/bd990a3b9c44/fgene-13-1000997-g001.jpg

文献AI研究员

20分钟写一篇综述,助力文献阅读效率提升50倍。

立即体验

用中文搜PubMed

大模型驱动的PubMed中文搜索引擎

马上搜索

文档翻译

学术文献翻译模型,支持多种主流文档格式。

立即体验