Suppr超能文献

中国四川省杀菌剂抗性现状及戊唑醇抗性的生理特性

Status of Fungicide Resistance and Physiological Characterization of Tebuconazole Resistance in in Sichuan Province, China.

作者信息

Gong Changwei, Liu Min, Liu Dan, Wang Qiulin, Hasnain Ali, Zhan Xiaoxu, Pu Jian, Liang Yueyang, Liu Xuemei, Wang Xuegui

机构信息

College of Agriculture, Sichuan Agricultural University, Chengdu 611130, China.

Rice Institute, Sichuan Agricultural University, Chengdu 611130, China.

出版信息

Curr Issues Mol Biol. 2022 Oct 13;44(10):4859-4876. doi: 10.3390/cimb44100330.

Abstract

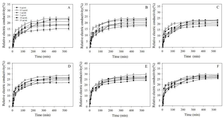
The resistance prevalence of chemical fungicides has caused increasingly serious agro-ecological environmental problems. However, there are few previous reports about resistance to succinate dehydrogenase (SDHI) or sterol demethylation inhibitor (DMI) in , one of the main agro-diseases. In this study, the fungicide resistance of 122 isolates in Sichuan Province was monitored by the mycelial growth rate method. Results showed that all isolates were susceptible to hexaconazole and most isolates were susceptible to thifluzamide, except for the field isolate MSRS-2-7 due to a moderate resistance to thifluzamide (16.43-fold resistance ratio, RR), compared to the sensitivity baseline of thifluzamide (0.042 μg/mL EC values). On the contrary, many isolates showed moderate or high resistance to tebuconazole (10.59- to 60.78-fold RR), reaching EC values of 0.54~3.10 μg/mL, especially for a highly resistant isolate LZHJ-1-8 displaying moderate resistance to epoxiconazole (35.40-fold RR due to a 3.54 μg/mL EC value). The fitness determination found that the tebuconazole-resistant isolates showed higher fitness cost with these characteristics, including a lower growth rate, higher relative electric conductivity, an increased ability to tolerate tebuconazole, and high osmotic pressure. Four new mutations of cytochrome P450 sterol 14α-demethylase (CYP51), namely, S94A, N406S, H793R, and L750P, which is the target for DMI fungicides, was found in the tebuconazole-resistant isolates. Furthermore, the lowest binding energy with tebuconazole was also found in the LZHJ-1-8 isolate possessing all the mutations through analyses with Discovery Studio software. Therefore, these new mutation sites of CYP51 may be linked to the resistance against tebuconazole, and its application for controlling should be restricted in some areas.

摘要

化学杀菌剂的抗性流行已引发日益严重的农业生态环境问题。然而,此前关于主要农业病害之一的[病害名称未给出]对琥珀酸脱氢酶抑制剂(SDHI)或甾醇脱甲基抑制剂(DMI)的抗性报道较少。本研究采用菌丝生长速率法监测了四川省122株[菌株名称未给出]的杀菌剂抗性。结果表明,所有分离株对己唑醇敏感,除田间分离株MSRS - 2 - 7对噻氟酰胺表现出中度抗性(抗性倍数RR为16.43倍)外,大多数分离株对噻氟酰胺敏感,噻氟酰胺的敏感基线为0.042μg/mL(EC值)。相反,许多分离株对戊唑醇表现出中度或高度抗性(RR为10.59至60.78倍),EC值达到0.54~3.10μg/mL,特别是高抗分离株LZHJ - 1 - 8对环氧唑表现出中度抗性(RR为35.40倍,EC值为3.54μg/mL)。适合度测定发现,抗戊唑醇的分离株表现出较高的适合度代价,具有生长速率较低、相对电导率较高、耐受戊唑醇和高渗透压能力增强等特征。在抗戊唑醇的分离株中发现了细胞色素P450甾醇14α - 脱甲基酶(CYP51)的四个新突变,即S94A、N406S、H793R和L750P,CYP51是DMI杀菌剂的作用靶标。此外,通过Discovery Studio软件分析发现,在具有所有突变的LZHJ - 1 - 8分离株中与戊唑醇的结合能最低。因此,CYP51的这些新突变位点可能与对戊唑醇的抗性有关,在某些地区应限制其用于防治[病害名称未给出]。

https://cdn.ncbi.nlm.nih.gov/pmc/blobs/5126/9600323/6965f864577a/cimb-44-00330-g001.jpg

文献检索

告别复杂PubMed语法,用中文像聊天一样搜索,搜遍4000万医学文献。AI智能推荐,让科研检索更轻松。

立即免费搜索

文件翻译

保留排版,准确专业,支持PDF/Word/PPT等文件格式,支持 12+语言互译。

免费翻译文档

深度研究

AI帮你快速写综述,25分钟生成高质量综述,智能提取关键信息,辅助科研写作。

立即免费体验