Suppr超能文献

用于治疗眼部炎症性疾病的富含生长因子血浆膜的优化

Optimization of a Plasma Rich in Growth Factors Membrane for the Treatment of Inflammatory Ocular Diseases.

作者信息

Anitua Eduardo, Fuente María de la, Merayo-Lloves Jesús, Muruzabal Francisco

机构信息

Regenerative Medicine Laboratory, Biotechnology Institute (BTI), 01007 Vitoria, Spain.

Instituto Oftalmológico Fernández-Vega, Fundación de Investigación Oftalmológica, Universidad de Oviedo, 33012 Oviedo, Spain.

出版信息

Bioengineering (Basel). 2022 Sep 27;9(10):508. doi: 10.3390/bioengineering9100508.

Abstract

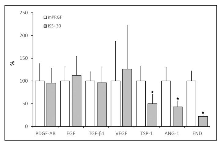
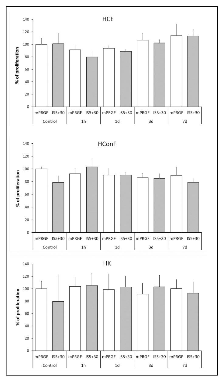
The main purpose of the present study is to develop an immunosafe fibrin membrane obtained by plasma rich in growth factors technology (is-mPRGF) with improved mechanical properties that could be applied in patients with inflammatory ocular diseases. Blood was drawn from three healthy donors and centrifuged, and the collected PRGF was activated and distributed into two groups: (i) mPRGF: a PRGF membrane maintained at 37 °C for 30 min; (ii) IS5+30: mPRGF incubated at 37 °C for 5 min and then incubated at 56 °C for 30 min. The content of both membranes was analyzed for several growth factors such as IgE and the complement activation, as well as biological activity on different ocular surface cells. Furthermore, the physical and mechanical characterizations were also evaluated. IS5+30 completely reduced the complement activity and decreased the IgE while preserving the concentration of the main growth factors. IS5+30 induced similar biological activity regarding mPRGF on the different ocular surface cells analyzed. Furthermore, no significant differences in release kinetics or fibrin degradation were observed between both membranes. Summarizing, IS5+30 totally reduces complement activity while preserving the concentration of most growth factors and their biological activity. Furthermore, the physical and mechanical properties of the fibrin membrane are preserved after heat inactivation.

摘要

本研究的主要目的是开发一种通过富含生长因子血浆技术(is-mPRGF)获得的免疫安全纤维蛋白膜,其机械性能得到改善,可应用于炎性眼病患者。从三名健康供体采集血液并进行离心,收集的富血小板血浆生长因子(PRGF)被激活并分为两组:(i)mPRGF:将PRGF膜在37°C下保持30分钟;(ii)IS5+30:mPRGF在37°C下孵育5分钟,然后在56°C下孵育30分钟。分析两种膜中几种生长因子的含量,如免疫球蛋白E(IgE)和补体激活情况,以及对不同眼表细胞的生物活性。此外,还评估了其物理和机械特性。IS5+30完全降低了补体活性,降低了IgE水平,同时保留了主要生长因子的浓度。在分析的不同眼表细胞上,IS5+30诱导的生物活性与mPRGF相似。此外,两种膜在释放动力学或纤维蛋白降解方面未观察到显著差异。总之,IS5+30在保留大多数生长因子浓度及其生物活性的同时,完全降低了补体活性。此外,热灭活后纤维蛋白膜的物理和机械性能得以保留。

https://cdn.ncbi.nlm.nih.gov/pmc/blobs/b8d8/9598884/88d8b52b1d00/bioengineering-09-00508-g001.jpg

文献AI研究员

20分钟写一篇综述,助力文献阅读效率提升50倍。

立即体验

用中文搜PubMed

大模型驱动的PubMed中文搜索引擎

马上搜索

文档翻译

学术文献翻译模型,支持多种主流文档格式。

立即体验