Suppr超能文献

高时间分辨率测量生物质燃烧厨房中超细和细木烟尘气溶胶数浓度和表面积浓度:肯尼亚西部的一个案例研究。

High time-resolution measurements of ultrafine and fine woodsmoke aerosol number and surface area concentrations in biomass burning kitchens: A case study in Western Kenya.

机构信息

Lyles School of Civil Engineering, Purdue University, West Lafayette, Indiana, USA.

Ray W. Herrick Laboratories, Center for High Performance Buildings, Purdue University, West Lafayette, Indiana, USA.

出版信息

Indoor Air. 2022 Oct;32(10):e13132. doi: 10.1111/ina.13132.

Abstract

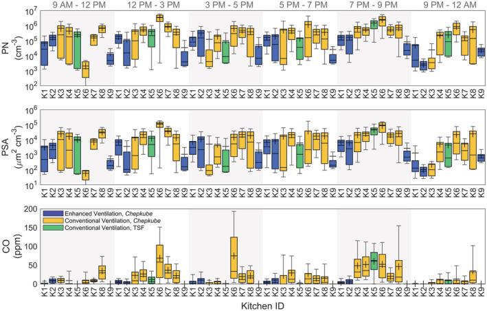
Indoor air pollution associated with biomass combustion for cooking remains a significant environmental health challenge in rural regions of sub-Saharan Africa; however, routine monitoring of woodsmoke aerosol concentrations continues to remain sparse. There is a paucity of field data on concentrations of combustion-generated ultrafine particles, which efficiently deposit in the human respiratory system, in such environments. Field measurements of ultrafine and fine woodsmoke aerosol (diameter range: 10-2500 nm) with field-portable diffusion chargers were conducted across nine wood-burning kitchens in Nandi County, Kenya. High time-resolution measurements (1 Hz) revealed that indoor particle number (PN) and particle surface area (PSA) concentrations of ultrafine and fine woodsmoke aerosol are strongly temporally variant, reach exceedingly high levels (PN > 10 /cm ; PSA > 10  μm /cm ) that are seldom observed in non-biomass burning environments, are influenced by kitchen architectural features, and are moderately to poorly correlated with carbon monoxide concentrations. In five kitchens, PN concentrations remained above 10 /cm for more than half of the day due to frequent cooking episodes. Indoor/outdoor ratios of PN and PSA concentrations were greater than 10 in most kitchens and exceeded 100 in several kitchens. Notably, the use of metal chimneys significantly reduced indoor PN and PSA concentrations.

摘要

室内空气污染物与烹饪用生物质燃烧有关,这仍然是撒哈拉以南非洲农村地区的一个重大环境健康挑战;然而,对木柴烟雾气溶胶浓度的常规监测仍然很少。在这种环境中,关于燃烧产生的超细颗粒浓度的现场数据非常少,这些颗粒有效地沉积在人类的呼吸系统中。使用便携式扩散充电器在肯尼亚的纳迪县的九个烧柴厨房进行了超细和细木柴烟雾气溶胶(直径范围:10-2500nm)的现场测量。高时间分辨率测量(1Hz)表明,室内颗粒物数(PN)和超细和细木柴烟雾气溶胶的颗粒物表面积(PSA)浓度具有很强的时间变化性,达到极高的水平(PN>10 /cm ;PSA>10μm /cm ),在非生物质燃烧环境中很少观察到,受厨房建筑特征的影响,并与一氧化碳浓度中度至低度相关。在五个厨房中,由于频繁的烹饪,PN 浓度在一天的一半以上时间内保持在 10 /cm 以上。在大多数厨房中,PN 和 PSA 浓度的室内/室外比值大于 10,在几个厨房中超过 100。值得注意的是,金属烟囱的使用显著降低了室内 PN 和 PSA 浓度。

https://cdn.ncbi.nlm.nih.gov/pmc/blobs/59be/9828051/0a2d558082f5/INA-32-0-g002.jpg

文献AI研究员

20分钟写一篇综述,助力文献阅读效率提升50倍。

立即体验

用中文搜PubMed

大模型驱动的PubMed中文搜索引擎

马上搜索

文档翻译

学术文献翻译模型,支持多种主流文档格式。

立即体验