LIVELab, McMaster University, Hamilton, Canada.
Psychology, Neuroscience and Behaviour, McMaster University, Hamilton, Canada.
Elife. 2022 Nov 1;11:e74816. doi: 10.7554/eLife.74816.
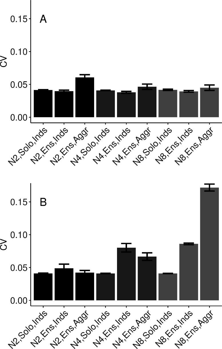
Humans are social animals who engage in a variety of collective activities requiring coordinated action. Among these, music is a defining and ancient aspect of human sociality. Human social interaction has largely been addressed in dyadic paradigms, and it is yet to be determined whether the ensuing conclusions generalize to larger groups. Studied more extensively in non-human animal behavior, the presence of multiple agents engaged in the same task space creates different constraints and possibilities than in simpler dyadic interactions. We addressed whether collective dynamics play a role in human circle drumming. The task was to synchronize in a group with an initial reference pattern and then maintain synchronization after it was muted. We varied the number of drummers from solo to dyad, quartet, and octet. The observed lower variability, lack of speeding up, smoother individual dynamics, and leader-less inter-personal coordination indicated that stability increased as group size increased, a sort of temporal wisdom of crowds. We propose a hybrid continuous-discrete Kuramoto model for emergent group synchronization with a pulse-based coupling that exhibits a mean field positive feedback loop. This research suggests that collective phenomena are among the factors that play a role in social cognition.
人类是社会性动物,从事着各种需要协调行动的集体活动。在这些活动中,音乐是人类社会性的一个重要特征。人类社会互动在很大程度上是在二元范式中进行的,尚未确定由此得出的结论是否适用于更大的群体。在非人类动物行为中,更多地研究了多个主体在同一任务空间中的参与情况,这与更简单的二元交互相比,产生了不同的约束和可能性。我们研究了人类圆圈击鼓是否存在集体动态。任务是在一个有初始参考模式的小组中同步,然后在参考模式静音后保持同步。我们从单人、双人、四人、八人等不同的鼓手数量进行了实验。观察到的较低的可变性、没有加速、更平滑的个体动态以及没有领导者的人际协调,表明随着群体规模的增加稳定性增加,这是一种群体的时间智慧。我们提出了一种基于脉冲耦合的混合连续离散 Kuramoto 模型,该模型具有均值场正反馈回路,用于展示群体的同步现象。这项研究表明,集体现象是影响社会认知的因素之一。