Suppr超能文献

多发性硬化症痉挛症状的肉毒毒素治疗持续时间。

Persistence with Botulinum Toxin Treatment for Spasticity Symptoms in Multiple Sclerosis.

机构信息

Multiple Sclerosis Clinical Care Unit, Federico II University Hospital, 80131 Naples, Italy.

Department of Neurosciences, Federico II University of Naples, 80131 Naples, Italy.

出版信息

Toxins (Basel). 2022 Nov 9;14(11):774. doi: 10.3390/toxins14110774.

Abstract

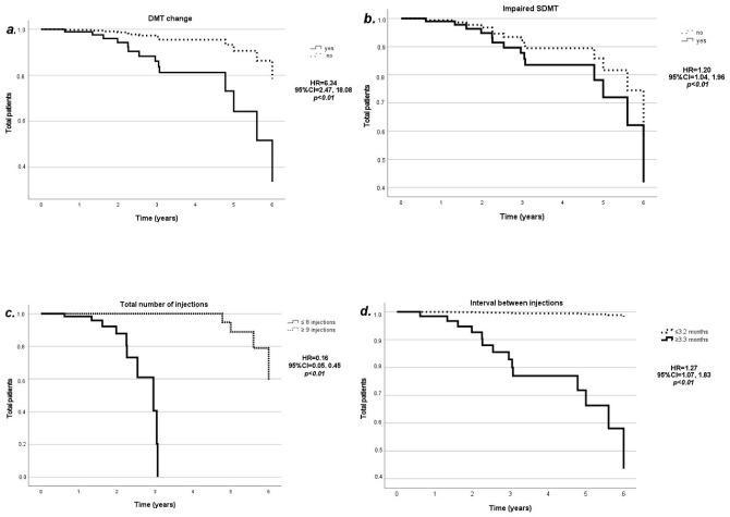
Botulinum toxin (BT) is an effective treatment for spasticity symptoms in multiple sclerosis (MS). Despite its wide use in clinical practices, only few studies have explored long-term persistence. We aim to evaluate the rate of discontinuation of BT treatment and the correlation with MS, spasticity, and injection variables. This retrospective study on 3-year prospectively collected data included 122 MS patients receiving BT injections for spasticity. We collected MS clinical variables (disease durations, Expanded Disability Status Scales [EDSSs], disease-modifying treatments [DMT], and Symbol Digit Modalities Tests [SDMTs]), modified Ashworth scales [MASs], concomitant treatments, and injection variables (formulation, dose, number of injections, and intervals between injections). A total of 14 out of the 122 patients discontinued BT after a mean time of 3.0 ± 1.5 years. In the Cox regression model including the MS clinical variables, the probability of BT discontinuations increased in patients with DMT changes during follow-ups (HR = 6.34; 95%Cl = 2.47, 18.08; < 0.01) and with impaired SDMTs (HR = 1.20; 95%Cl = 1.04, 1.96; < 0.01). In the model including the spasticity variables, there were no associations between BT discontinuation and MAS or other spasticity treatments. In the model including the injection variables, the probability of discontinuation decreased by 80% for each cumulative injection (HR = 0.16; 95%Cl = 0.05, 0.45; < 0.01), but increased by 1% for each additional day over the 3-month interval between injections (HR = 1.27; 95%Cl = 1.07, 1.83; < 0.01). BT discontinuation was associated with concomitant MS-related issues (e.g., treatment failure and DMT change) and the presence of cognitive impairment, which should be accounted for when planning injections. The interval between injections should be kept as short as possible from regulatory and clinical perspectives to maximize the response across all of the spasticity symptoms and to reduce discontinuation in the long term.

摘要

肉毒毒素(BT)是治疗多发性硬化症(MS)痉挛症状的有效方法。尽管它在临床实践中广泛应用,但只有少数研究探讨了长期的持续时间。我们旨在评估 BT 治疗的停药率,并与 MS、痉挛和注射变量的相关性。这项对 3 年前瞻性收集数据的回顾性研究包括 122 名接受 BT 注射治疗痉挛的 MS 患者。我们收集了 MS 临床变量(疾病持续时间、扩展残疾状态量表[EDSS]、疾病修正治疗[DMT]和符号数字模态测试[SDMT])、改良 Ashworth 量表[MAS]、伴随治疗和注射变量(制剂、剂量、注射次数和注射间隔)。在平均 3.0±1.5 年后,122 例患者中有 14 例停用 BT。在包括 MS 临床变量的 Cox 回归模型中,在随访期间发生 DMT 变化的患者(HR=6.34;95%Cl=2.47,18.08;<0.01)和 SDMT 受损的患者(HR=1.20;95%Cl=1.04,1.96;<0.01)中,BT 停药的可能性增加。在包括痉挛变量的模型中,BT 停药与 MAS 或其他痉挛治疗之间无关联。在包括注射变量的模型中,每次累积注射的停药概率降低 80%(HR=0.16;95%Cl=0.05,0.45;<0.01),但每次注射间隔超过 3 个月,停药概率增加 1%(HR=1.27;95%Cl=1.07,1.83;<0.01)。BT 停药与伴随的 MS 相关问题(如治疗失败和 DMT 变化)和认知障碍有关,在规划注射时应考虑到这些问题。从监管和临床的角度来看,应尽可能缩短注射间隔,以最大限度地提高所有痉挛症状的反应,并减少长期停药。

https://cdn.ncbi.nlm.nih.gov/pmc/blobs/0ed5/9693315/646cd490c6f9/toxins-14-00774-g001.jpg

文献AI研究员

20分钟写一篇综述,助力文献阅读效率提升50倍。

立即体验

用中文搜PubMed

大模型驱动的PubMed中文搜索引擎

马上搜索

文档翻译

学术文献翻译模型,支持多种主流文档格式。

立即体验